San Francisco Veterans Affairs Health Care System, San Francisco, California.
Department of Psychiatry, University of California San Francisco, San Francisco.
JAMA Netw Open. 2024 May 1;7(5):e2414223. doi: 10.1001/jamanetworkopen.2024.14223.
Traumatic brain injury (TBI) occurs at the highest rate in older adulthood and increases risk for cognitive impairment and dementia.
To update existing TBI surveillance data to capture nonhospital settings and to explore how social determinants of health (SDOH) are associated with TBI incidence among older adults.
DESIGN, SETTING, AND PARTICIPANTS: This nationally representative longitudinal cohort study assessed participants for 18 years, from August 2000 through December 2018, using data from the Health and Retirement Study (HRS) and linked Medicare claims dates. Analyses were completed August 9 through December 12, 2022. Participants were 65 years of age or older in the HRS with survey data linked to Medicare without a TBI prior to HRS enrollment. They were community dwelling at enrollment but were retained in HRS if they were later institutionalized.
Baseline demographic, cognitive, medical, and SDOH information from HRS.
Incident TBI was defined using inpatient and outpatient International Classification of Diseases, Ninth or Tenth Revision, diagnosis codes received the same day or within 1 day as the emergency department (ED) visit code and the computed tomography (CT) or magnetic resonance imaging (MRI) code, after baseline HRS interview. A cohort with TBI codes but no ED visit or CT or MRI scan was derived to capture diagnoses in nonhospital settings. Descriptive statistics and bivariate associations of TBI with demographic and SDOH characteristics used sample weights. Fine-Gray regression models estimated associations between covariates and TBI, with death as a competing risk. Imputation considering outcome and complex survey design was performed by race and ethnicity, sex, education level, and Area Deprivation Index percentiles 1, 50, and 100. Other exposure variables were fixed at their weighted means.
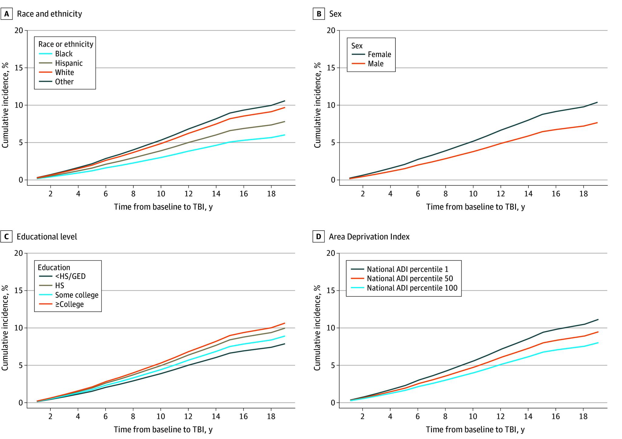
Among 9239 eligible respondents, 5258 (57.7%) were female and 1210 (9.1%) were Black, 574 (4.7%) were Hispanic, and 7297 (84.4%) were White. Mean (SD) baseline age was 75.2 (8.0) years. During follow-up (18 years), 797 (8.9%) of respondents received an incident TBI diagnosis with an ED visit and a CT code within 1 day, 964 (10.2%) received an incident TBI diagnosis and an ED code, and 1148 (12.9%) received a TBI code with or without an ED visit and CT scan code. Compared with respondents without incident TBI, respondents with TBI were more likely to be female (absolute difference, 7.0 [95% CI, 3.3-10.8]; P < .001) and White (absolute difference, 5.1 [95% CI, 2.8-7.4]; P < .001), have normal cognition (vs cognitive impairment or dementia; absolute difference, 6.1 [95% CI, 2.8-9.3]; P = .001), higher education (absolute difference, 3.8 [95% CI, 0.9-6.7]; P < .001), and wealth (absolute difference, 6.5 [95% CI, 2.3-10.7]; P = .01), and be without baseline lung disease (absolute difference, 5.1 [95% CI, 3.0-7.2]; P < .001) or functional impairment (absolute difference, 3.3 [95% CI, 0.4-6.1]; P = .03). In adjusted multivariate models, lower education (subdistribution hazard ratio [SHR], 0.73 [95% CI, 0.57-0.94]; P = .01), Black race (SHR, 0.61 [95% CI, 0.46-0.80]; P < .001), area deprivation index national rank (SHR 1.00 [95% CI 0.99-1.00]; P = .009), and male sex (SHR, 0.73 [95% CI, 0.56-0.94]; P = .02) were associated with membership in the group without TBI. Sensitivity analyses using a broader definition of TBI yielded similar results.
In this longitudinal cohort study of older adults, almost 13% experienced incident TBI during the 18-year study period. For older adults who seek care for TBI, race and ethnicity, sex, and SDOH factors may be associated with incidence of TBI, seeking medical attention for TBI in older adulthood, or both.
创伤性脑损伤(TBI)在成年后期的发生率最高,增加了认知障碍和痴呆的风险。
更新现有的 TBI 监测数据,以捕捉非医院环境,并探讨社会决定因素(SDOH)如何与老年人的 TBI 发病率相关。
设计、地点和参与者:这项全国代表性的纵向队列研究对参与者进行了 18 年的评估,从 2000 年 8 月至 2018 年 12 月,使用健康与退休研究(HRS)的数据和医疗保险索赔日期进行链接。分析于 2022 年 8 月 9 日至 12 月 12 日完成。HRS 中年龄在 65 岁或以上的参与者具有调查数据,与 Medicare 链接,但在 HRS 登记时没有 TBI。他们在登记时居住在社区,但如果后来被收容在 HRS 中,仍将保留在 HRS 中。
HRS 基线的人口统计学、认知、医学和 SDOH 信息。
使用住院和门诊国际疾病分类,第九或第十修订版诊断代码,定义 TBI 的发生率,这些代码是在基线 HRS 访谈后同一天或在急诊室(ED)就诊代码和计算机断层扫描(CT)或磁共振成像(MRI)代码的 1 天内收到的。衍生出一个包含 TBI 代码但没有 ED 就诊或 CT 或 MRI 扫描的队列,以捕捉非医院环境中的诊断。使用样本权重描述性统计和 TBI 与人口统计学和 SDOH 特征的双变量关联。精细格雷回归模型估计协变量与 TBI 之间的关联,以死亡为竞争风险。考虑到结局和复杂调查设计,对种族和族裔、性别、教育水平以及区域贫困指数的第 1、50 和 100 百分位数进行了插补。其他暴露变量固定在其加权平均值。
在 9239 名合格受访者中,5258 名(57.7%)为女性,1210 名(9.1%)为黑人,574 名(4.7%)为西班牙裔,7297 名(84.4%)为白人。平均(SD)基线年龄为 75.2(8.0)岁。在随访期间(18 年),797 名(8.9%)受访者收到了 TBI 诊断的急诊就诊和 CT 代码,964 名(10.2%)收到了 TBI 诊断和 ED 代码,1148 名(12.9%)收到了 TBI 代码,无论是否有 ED 就诊和 CT 扫描代码。与没有 TBI 事件的受访者相比,有 TBI 事件的受访者更有可能是女性(绝对差异,3.3[95%CI,3.3-10.8];P<0.001)和白人(绝对差异,5.1[95%CI,2.8-7.4];P<0.001),认知正常(与认知障碍或痴呆相比;绝对差异,6.1[95%CI,2.8-9.3];P=0.001),教育程度较高(绝对差异,3.8[95%CI,0.9-6.7];P<0.001),财富较高(绝对差异,6.5[95%CI,2.3-10.7];P=0.01),并且没有基线肺病(绝对差异,5.1[95%CI,3.0-7.2];P<0.001)或功能障碍(绝对差异,3.3[95%CI,0.4-6.1];P=0.03)。在调整后的多变量模型中,较低的教育程度(亚分布风险比[SHR],0.73[95%CI,0.57-0.94];P=0.01)、黑人种族(SHR,0.61[95%CI,0.46-0.80];P<0.001)、区域贫困指数国家排名(SHR 1.00[95%CI 0.99-1.00];P=0.009)和男性性别(SHR,0.73[95%CI,0.56-0.94];P=0.02)与没有 TBI 的群体成员有关。使用更广泛的 TBI 定义进行的敏感性分析得出了类似的结果。
在这项对老年成年人的纵向队列研究中,近 13%的人在 18 年的研究期间经历了 TBI 事件。对于寻求 TBI 治疗的老年成年人,种族和族裔、性别和 SDOH 因素可能与 TBI 的发病率、成年后寻求 TBI 治疗或两者都有关。