Suppr超能文献

及其主要成分木瓣树酸与抗抑郁药之间的草药-药物相互作用研究。

Investigation of Herb-Drug Interactions between , Its Principal Constituent Xylopic Acid, and Antidepressants.

作者信息

Ndu Christian C, Abotsi Wonder K M, Mante Priscilla K

机构信息

Department of Pharmacology, Kwame Nkrumah University of Science and Technology, Kumasi, Ghana.

出版信息

Adv Pharmacol Pharm Sci. 2024 May 25;2024:9923801. doi: 10.1155/2024/9923801. eCollection 2024.

Abstract

INTRODUCTION

Depression affects an estimated 350 million people worldwide and is implicated in up to 60% of suicides. Only about 60-70% of patients respond to antidepressant therapy. One of the factors causing patients to not attain therapeutic goals is herb-drug interactions.

OBJECTIVE

To investigate any potential herb-drug interaction that might exist between extract (XAE) or xylopic acid (XA) and selected conventional antidepressants (imipramine, fluoxetine, and venlafaxine) in mice.

METHODS

Dried, powdered fruits of were cold macerated in 70% ethanol to obtain XAE. XA was isolated by cold macerating dried fruits of in petroleum ether, crystallising impure XA with ethyl acetate, and purifying XA crystals with 96% ethanol. Pharmacodynamic interaction was assessed via isobolographic analysis of tail suspension tests of the agents individually and in their respective combinations. Pharmacokinetic interaction was assessed by monitoring the effect of coadministrations on the plasma concentration of antidepressants and xylopic acid via HPLC analysis.

RESULTS

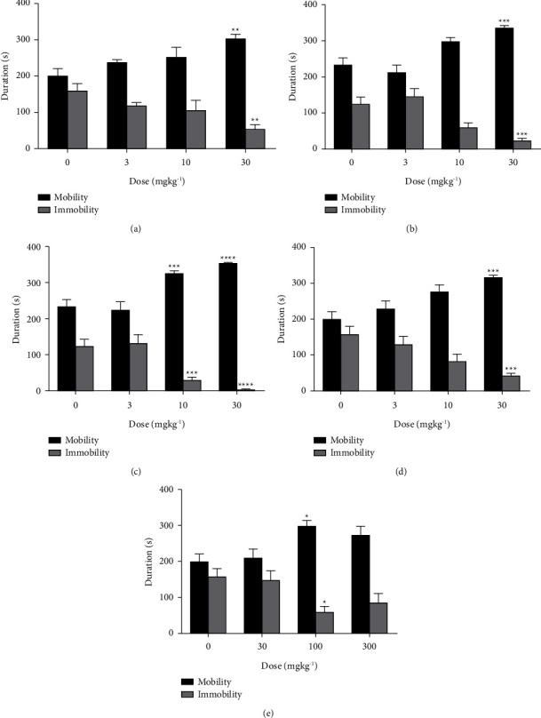
XAE and XA in mice showed significant antidepressant-like activity in the tail suspension test. With interaction indices less than one, synergism of antidepressant effect was observed in the extract/fluoxetine ( = 0.502), extract/imipramine ( = 0.322), extract/venlafaxine ( = 0.601), xylopic acid/imipramine ( = 0.556), xylopic acid/venlafaxine ( = 0.451), and xylopic acid/fluoxetine ( = 0.298) combinations, which may be potentially due to elevation of serotonergic neurotransmission via varying mechanisms. The AUC of imipramine (AUC = 1966 ± 58.98 g/ml.h) was significantly ( < 0.0001) reduced by extract (AUC = 1228 ± 67.40 g/ml.h) and xylopic acid (AUC = 1250 ± 55.95 g/ml.h), while the AUC of xylopic acid (AUC = 968.10 ± 61.22 g/ml.h) was significantly ( < 0.0001) reduced by venlafaxine (AUC = 285.90 ± 51.92 g/ml.h) and fluoxetine (AUC = 510.60 ± 44.74 g/ml.h), possibly due to the effect of interfering agents on gastric emptying hence reducing oral absorption.

CONCLUSION

extract and xylopic acid interacted synergistically with imipramine, fluoxetine, and venlafaxine and reduced the systemic circulation of imipramine.

摘要

引言

据估计,全球有3.5亿人受抑郁症影响,且高达60%的自杀事件与之相关。只有约60 - 70%的患者对抗抑郁治疗有反应。导致患者无法达到治疗目标的因素之一是草药 - 药物相互作用。

目的

研究[植物名称]提取物(XAE)或木瓣树酸(XA)与选定的传统抗抑郁药(丙咪嗪、氟西汀和文拉法辛)在小鼠中可能存在的任何潜在草药 - 药物相互作用。

方法

将[植物名称]干燥、磨粉的果实用70%乙醇冷浸以获得XAE。通过将[植物名称]干燥果实用石油醚冷浸、用乙酸乙酯结晶不纯的XA并用96%乙醇纯化XA晶体来分离XA。通过对各药物单独及联合使用时的悬尾试验进行等效应线分析来评估药效学相互作用。通过高效液相色谱分析监测联合给药对抗抑郁药和木瓣树酸血浆浓度的影响来评估药代动力学相互作用。

结果

在悬尾试验中,小鼠体内的XAE和XA表现出显著的抗抑郁样活性。在[植物名称]提取物/氟西汀(= 0.502)、[植物名称]提取物/丙咪嗪(= 0.322)、[植物名称]提取物/文拉法辛(= 0.601)、木瓣树酸/丙咪嗪(= 0.556)、木瓣树酸/文拉法辛(= 0.451)和木瓣树酸/氟西汀(= 0.298)组合中,相互作用指数小于1,观察到抗抑郁作用的协同效应,这可能是由于通过不同机制提高了血清素能神经传递。丙咪嗪的曲线下面积(AUC = 1966 ± 58.98 μg/ml·h)被[植物名称]提取物(AUC = 1228 ± 67.40 μg/ml·h)和木瓣树酸(AUC = 1250 ± 55.95 μg/ml·h)显著降低(< 0.0001),而木瓣树酸的曲线下面积(AUC = 968.10 ± 61.22 μg/ml·h)被文拉法辛(AUC = 285.90 ± 51.92 μg/ml·h)和氟西汀(AUC = 510.60 ± 44.74 μg/ml·h)显著降低(< 0.0001),这可能是由于干扰剂对胃排空的影响从而减少口服吸收。

结论

[植物名称]提取物和木瓣树酸与丙咪嗪、氟西汀和文拉法辛协同相互作用,并降低了丙咪嗪的全身循环。

https://cdn.ncbi.nlm.nih.gov/pmc/blobs/516e/11144068/56acc12eb96a/APS2024-9923801.001.jpg

文献AI研究员

20分钟写一篇综述,助力文献阅读效率提升50倍。

立即体验

用中文搜PubMed

大模型驱动的PubMed中文搜索引擎

马上搜索

文档翻译

学术文献翻译模型,支持多种主流文档格式。

立即体验