• 文献检索
  • 文档翻译
  • 深度研究
  • 学术资讯
  • Suppr Zotero 插件Zotero 插件
  • 邀请有礼
  • 套餐&价格
  • 历史记录
应用&插件
Suppr Zotero 插件Zotero 插件浏览器插件Mac 客户端Windows 客户端微信小程序
定价
高级版会员购买积分包购买API积分包
服务
文献检索文档翻译深度研究API 文档MCP 服务
关于我们
关于 Suppr公司介绍联系我们用户协议隐私条款
关注我们

Suppr 超能文献

核心技术专利:CN118964589B侵权必究
粤ICP备2023148730 号-1Suppr @ 2026

文献检索

告别复杂PubMed语法,用中文像聊天一样搜索,搜遍4000万医学文献。AI智能推荐,让科研检索更轻松。

立即免费搜索

文件翻译

保留排版,准确专业,支持PDF/Word/PPT等文件格式,支持 12+语言互译。

免费翻译文档

深度研究

AI帮你快速写综述,25分钟生成高质量综述,智能提取关键信息,辅助科研写作。

立即免费体验

癌症治疗对克隆性造血突变及其后续临床结局的影响。

Impact of cancer therapy on clonal hematopoiesis mutations and subsequent clinical outcomes.

机构信息

Department of Epidemiology, The University of Texas MD Anderson Cancer Center, Houston, TX.

Department of Breast Radiation Oncology, The University of Texas MD Anderson Cancer Center, Houston, TX.

出版信息

Blood Adv. 2024 Oct 8;8(19):5215-5224. doi: 10.1182/bloodadvances.2024012929.

DOI:10.1182/bloodadvances.2024012929
PMID:38830141
原文链接:https://pmc.ncbi.nlm.nih.gov/articles/PMC11530395/
Abstract

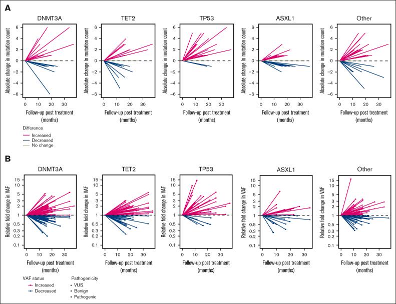
Exposure to cancer therapies is associated with an increased risk of clonal hematopoiesis (CH). The objective of our study was to investigate the genesis and evolution of CH after cancer therapy. In this prospective study, we undertook error-corrected duplex DNA sequencing in blood samples collected before and at 2 time points after chemoradiation in patients with esophageal or lung cancer recruited from 2013 to 2018. We applied a customized workflow to identify the earliest changes in CH mutation count and clone size and determine their association with clinical outcomes. Our study included 29 patients (87 samples). Their median age was 67 years, and 76% (n = 22) were male; the median follow-up period was 3.9 years. The most mutated genes were DNMT3A, TET2, TP53, and ASXL1. We observed a twofold increase in the number of mutations from before to after treatment in TP53, which differed from all other genes examined (P < .001). Among mutations detected before and after treatment, we observed an increased clone size in 38% and a decreased clone size in 5% of TP53 mutations (odds ratio, 3.7; 95% confidence interval [CI], 1.75-7.84; P < .001). Changes in mutation count and clone size were not observed in other genes. Individuals with an increase in the number of TP53 mutations after chemoradiation experienced shorter overall survival (hazard ratio, 7.07; 95% CI, 1.50-33.46; P = .014). In summary, we found an increase in the number and size of TP53 CH clones after chemoradiation that were associated with adverse clinical outcomes.

摘要

癌症治疗会增加克隆性造血(CH)的风险。我们的研究目的是探究癌症治疗后 CH 的发生和演变。在这项前瞻性研究中,我们对 2013 年至 2018 年间招募的食管癌或肺癌患者在放化疗前后采集的血液样本进行了纠错双 DNA 测序。我们应用了一种定制的工作流程来识别 CH 突变数量和克隆大小的最早变化,并确定它们与临床结局的关系。我们的研究包括 29 名患者(87 个样本)。他们的中位年龄为 67 岁,76%(n=22)为男性;中位随访时间为 3.9 年。最常突变的基因是 DNMT3A、TET2、TP53 和 ASXL1。我们观察到 TP53 的突变数量在治疗前后增加了一倍,与其他检查的所有基因都不同(P<0.001)。在治疗前后检测到的突变中,我们观察到 38%的 TP53 突变克隆大小增加,5%的克隆大小减少(优势比,3.7;95%置信区间 [CI],1.75-7.84;P<0.001)。在其他基因中没有观察到突变数量和克隆大小的变化。放化疗后 TP53 突变数量增加的个体总生存时间更短(危险比,7.07;95%CI,1.50-33.46;P=0.014)。总之,我们发现放化疗后 TP53 CH 克隆的数量和大小增加,与不良临床结局相关。

https://cdn.ncbi.nlm.nih.gov/pmc/blobs/cf1e/11530395/212b397ecb08/BLOODA_ADV-2024-012929-gr5.jpg
https://cdn.ncbi.nlm.nih.gov/pmc/blobs/cf1e/11530395/18ee202cef18/BLOODA_ADV-2024-012929-ga1.jpg
https://cdn.ncbi.nlm.nih.gov/pmc/blobs/cf1e/11530395/923a4a9c8062/BLOODA_ADV-2024-012929-gr1.jpg
https://cdn.ncbi.nlm.nih.gov/pmc/blobs/cf1e/11530395/fa9b421e8f65/BLOODA_ADV-2024-012929-gr2.jpg
https://cdn.ncbi.nlm.nih.gov/pmc/blobs/cf1e/11530395/bdfd7049d8c5/BLOODA_ADV-2024-012929-gr3.jpg
https://cdn.ncbi.nlm.nih.gov/pmc/blobs/cf1e/11530395/68c99612dafd/BLOODA_ADV-2024-012929-gr4.jpg
https://cdn.ncbi.nlm.nih.gov/pmc/blobs/cf1e/11530395/212b397ecb08/BLOODA_ADV-2024-012929-gr5.jpg
https://cdn.ncbi.nlm.nih.gov/pmc/blobs/cf1e/11530395/18ee202cef18/BLOODA_ADV-2024-012929-ga1.jpg
https://cdn.ncbi.nlm.nih.gov/pmc/blobs/cf1e/11530395/923a4a9c8062/BLOODA_ADV-2024-012929-gr1.jpg
https://cdn.ncbi.nlm.nih.gov/pmc/blobs/cf1e/11530395/fa9b421e8f65/BLOODA_ADV-2024-012929-gr2.jpg
https://cdn.ncbi.nlm.nih.gov/pmc/blobs/cf1e/11530395/bdfd7049d8c5/BLOODA_ADV-2024-012929-gr3.jpg
https://cdn.ncbi.nlm.nih.gov/pmc/blobs/cf1e/11530395/68c99612dafd/BLOODA_ADV-2024-012929-gr4.jpg
https://cdn.ncbi.nlm.nih.gov/pmc/blobs/cf1e/11530395/212b397ecb08/BLOODA_ADV-2024-012929-gr5.jpg

相似文献

1
Impact of cancer therapy on clonal hematopoiesis mutations and subsequent clinical outcomes.癌症治疗对克隆性造血突变及其后续临床结局的影响。
Blood Adv. 2024 Oct 8;8(19):5215-5224. doi: 10.1182/bloodadvances.2024012929.
2
Pilot Study of Donor-Engrafted Clonal Hematopoiesis Evolution and Clinical Outcomes in Allogeneic Hematopoietic Cell Transplantation Recipients Using a National Registry.供者嵌合性造血的演变及其在异基因造血细胞移植受者中的临床结局的初步研究:基于国家注册库的研究
Transplant Cell Ther. 2023 Oct;29(10):640.e1-640.e8. doi: 10.1016/j.jtct.2023.07.021. Epub 2023 Jul 28.
3
Tumor-Infiltrating Clonal Hematopoiesis.肿瘤浸润性克隆造血
N Engl J Med. 2025 Apr 24;392(16):1594-1608. doi: 10.1056/NEJMoa2413361.
4
Clonal hematopoiesis and inflammation in the vasculature: CHIVE, a prospective, longitudinal clonal hematopoiesis cohort and biorepository.克隆性造血与血管内炎症:CHIVE,一项前瞻性、纵向的克隆性造血队列研究和生物库。
Blood Adv. 2024 Jul 9;8(13):3453-3463. doi: 10.1182/bloodadvances.2023011510.
5
Systemic pharmacological treatments for chronic plaque psoriasis: a network meta-analysis.系统性药理学治疗慢性斑块状银屑病:网络荟萃分析。
Cochrane Database Syst Rev. 2021 Apr 19;4(4):CD011535. doi: 10.1002/14651858.CD011535.pub4.
6
Clonal Hematopoiesis and Therapy-Related Myeloid Neoplasms After Autologous Transplant for Hodgkin Lymphoma.自体造血干细胞移植后克隆性造血与治疗相关髓系肿瘤:霍奇金淋巴瘤
J Clin Oncol. 2024 Jul 10;42(20):2415-2424. doi: 10.1200/JCO.23.02547. Epub 2024 Apr 18.
7
Clonal Hematopoiesis is Associated With Severe Cytokine Release Syndrome in Patients Treated With Chimeric Antigen Receptor T-Cell (CART) Therapy.克隆性造血与嵌合抗原受体 T 细胞(CART)治疗患者的严重细胞因子释放综合征相关。
Transplant Cell Ther. 2024 Sep;30(9):927.e1-927.e9. doi: 10.1016/j.jtct.2024.06.008. Epub 2024 Jun 11.
8
Impact of residual disease as a prognostic factor for survival in women with advanced epithelial ovarian cancer after primary surgery.原发性手术后晚期上皮性卵巢癌患者残留病灶对生存预后的影响。
Cochrane Database Syst Rev. 2022 Sep 26;9(9):CD015048. doi: 10.1002/14651858.CD015048.pub2.
9
Comparison of Two Modern Survival Prediction Tools, SORG-MLA and METSSS, in Patients With Symptomatic Long-bone Metastases Who Underwent Local Treatment With Surgery Followed by Radiotherapy and With Radiotherapy Alone.两种现代生存预测工具 SORG-MLA 和 METSSS 在接受手术联合放疗和单纯放疗治疗有症状长骨转移患者中的比较。
Clin Orthop Relat Res. 2024 Dec 1;482(12):2193-2208. doi: 10.1097/CORR.0000000000003185. Epub 2024 Jul 23.
10
Are Current Survival Prediction Tools Useful When Treating Subsequent Skeletal-related Events From Bone Metastases?当前的生存预测工具在治疗骨转移后的骨骼相关事件时有用吗?
Clin Orthop Relat Res. 2024 Sep 1;482(9):1710-1721. doi: 10.1097/CORR.0000000000003030. Epub 2024 Mar 22.

引用本文的文献

1
Clonal Hematopoiesis Dynamics and Evolutionary Fitness During Cancer Treatment Impact Clinical Outcomes.癌症治疗期间的克隆性造血动力学与进化适应性影响临床结局。
medRxiv. 2025 Sep 2:2025.08.27.25334581. doi: 10.1101/2025.08.27.25334581.
2
Clonal hematopoiesis in metastatic urothelial and renal cell carcinoma.转移性尿路上皮癌和肾细胞癌中的克隆性造血
NPJ Precis Oncol. 2025 Jun 13;9(1):177. doi: 10.1038/s41698-025-00965-y.
3
Impact of primary cancer history and molecular landscape in therapy-related myeloid neoplasms.原发性癌症病史和分子格局在治疗相关髓系肿瘤中的影响

本文引用的文献

1
Clonal hematopoiesis of indeterminate potential is associated with acute kidney injury.不定潜能的克隆性造血与急性肾损伤相关。
Nat Med. 2024 Mar;30(3):810-817. doi: 10.1038/s41591-024-02854-6. Epub 2024 Mar 7.
2
Prevalence, Dynamics, and Prognostic Role of Clonal Hematopoiesis of Indeterminate Potential in Patients With Breast Cancer.乳腺癌患者中未定类别的造血细胞克隆的流行率、动态变化及其预后作用。
J Clin Oncol. 2024 Nov;42(31):3666-3679. doi: 10.1200/JCO.23.01071. Epub 2024 Jan 8.
3
Clonal hematopoiesis in survivors of childhood cancer.
Front Oncol. 2025 Apr 24;15:1563990. doi: 10.3389/fonc.2025.1563990. eCollection 2025.
4
UNISOM: Unified Somatic Calling and Machine Learning-based Classification Enhance the Discovery of CHIP.UNISOM:统一体细胞变异检测与基于机器学习的分类提升了克隆性造血的发现
Genomics Proteomics Bioinformatics. 2025 May 30;23(2). doi: 10.1093/gpbjnl/qzaf040.
5
How fast does leukemia progress?白血病的发展速度有多快?
Leukemia. 2025 Apr;39(4):805-809. doi: 10.1038/s41375-025-02536-3. Epub 2025 Feb 24.
6
From regulation to deregulation of p53 in hematologic malignancies: implications for diagnosis, prognosis and therapy.从血液系统恶性肿瘤中p53的调控到去调控:对诊断、预后和治疗的影响
Biomark Res. 2024 Nov 14;12(1):137. doi: 10.1186/s40364-024-00676-9.
7
CHIP shot: aiming at therapy-induced clonal hematopoiesis.CHIP疗法:针对治疗诱导的克隆性造血。
Blood Adv. 2024 Oct 8;8(19):5213-5214. doi: 10.1182/bloodadvances.2024013724.
儿童癌症幸存者中的克隆性造血
Blood Adv. 2023 Aug 8;7(15):4102-4106. doi: 10.1182/bloodadvances.2023009817.
4
Evolutionary landscape of clonal hematopoiesis in 3,359 individuals from the general population.一般人群中 3359 人的克隆性造血的进化景观。
Cancer Cell. 2023 Jun 12;41(6):1017-1031.e4. doi: 10.1016/j.ccell.2023.04.006. Epub 2023 May 4.
5
Clonal Hematopoiesis in Young Women Treated for Breast Cancer.年轻乳腺癌女性治疗后的克隆性造血。
Clin Cancer Res. 2023 Jul 5;29(13):2551-2558. doi: 10.1158/1078-0432.CCR-23-0050.
6
Clonal haematopoiesis and risk of chronic liver disease.克隆性造血与慢性肝病风险。
Nature. 2023 Apr;616(7958):747-754. doi: 10.1038/s41586-023-05857-4. Epub 2023 Apr 12.
7
Clonal hematopoiesis in older patients with breast cancer receiving chemotherapy.老年乳腺癌患者接受化疗时的克隆性造血。
J Natl Cancer Inst. 2023 Aug 8;115(8):981-988. doi: 10.1093/jnci/djad065.
8
mediated clonal hematopoiesis confers increased risk for incident atherosclerotic disease.介导的克隆性造血会增加发生动脉粥样硬化疾病的风险。
Nat Cardiovasc Res. 2023 Jan 16;2:144-158. doi: 10.1038/s44161-022-00206-6.
9
Causes of Clonal Hematopoiesis: a Review.克隆性造血的病因:综述。
Curr Oncol Rep. 2023 Mar;25(3):211-220. doi: 10.1007/s11912-023-01362-z. Epub 2023 Jan 31.
10
A practical approach to curate clonal hematopoiesis of indeterminate potential in human genetic data sets.一种在人类遗传数据集中心 curated 不定潜能克隆性造血的实用方法。
Blood. 2023 May 4;141(18):2214-2223. doi: 10.1182/blood.2022018825.