• 文献检索
  • 文档翻译
  • 深度研究
  • 学术资讯
  • Suppr Zotero 插件Zotero 插件
  • 邀请有礼
  • 套餐&价格
  • 历史记录
应用&插件
Suppr Zotero 插件Zotero 插件浏览器插件Mac 客户端Windows 客户端微信小程序
定价
高级版会员购买积分包购买API积分包
服务
文献检索文档翻译深度研究API 文档MCP 服务
关于我们
关于 Suppr公司介绍联系我们用户协议隐私条款
关注我们

Suppr 超能文献

核心技术专利:CN118964589B侵权必究
粤ICP备2023148730 号-1Suppr @ 2026

文献检索

告别复杂PubMed语法,用中文像聊天一样搜索,搜遍4000万医学文献。AI智能推荐,让科研检索更轻松。

立即免费搜索

文件翻译

保留排版,准确专业,支持PDF/Word/PPT等文件格式,支持 12+语言互译。

免费翻译文档

深度研究

AI帮你快速写综述,25分钟生成高质量综述,智能提取关键信息,辅助科研写作。

立即免费体验

在草本植物中,栖息地条件对功能性状的筛选作用比对物候的筛选作用更强。

Habitat conditions filter stronger for functional traits than for phenology in herbaceous species.

作者信息

Deilmann Till J, Ulrich Josephine, Römermann Christine

机构信息

Institute of Ecology and Evolution Friedrich-Schiller-University Jena Jena Germany.

Senckenberg Institute for Plant Form and Function Jena Jena Germany.

出版信息

Ecol Evol. 2024 Jun 4;14(6):e11505. doi: 10.1002/ece3.11505. eCollection 2024 Jun.

DOI:10.1002/ece3.11505
PMID:38835520
原文链接:https://pmc.ncbi.nlm.nih.gov/articles/PMC11148399/
Abstract

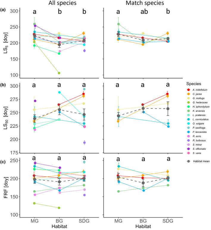
An increasing number of studies in botanical gardens are investigating species' responses to climate change. However, the influence of local environmental or habitat conditions such as soil nutrient status or microclimate on phenology and the link between morpho-physiological functional traits and phenological stages are poorly understood, making it difficult to extrapolate patterns from botanical gardens to natural environments. Therefore, we selected herbaceous species growing in two semi-natural habitats, namely, semi-dry grasslands (SDGs) and mesophilic grasslands (MGs) and the botanical garden of Jena (Germany) to investigate the influence of habitat conditions on interspecific and intraspecific patterns in phenology, functional traits and their associations. For 16 species, we monitored leaf and flowering phenology weekly for 133 populations from the three habitats, measured morpho-physiological traits (i.e., whole plant, leaf and reproductive traits), as well as habitat conditions and compared the measurements across habitats. Multivariate analyses revealed that morpho-physiological traits conspicuously showed stronger differences between habitats compared to phenological traits. Populations on MG showed temporal niche segregation, whereas populations on SDG showed flowering synchrony. Boosted Regression Trees showed that morpho-physiological traits, especially reproductive traits, strongly influenced phenological traits and that the trait-phenology relationships were highly habitat-specific. We conclude that species phenology is broadly similar between botanical gardens and local habitats. However, phenological responses to the environment may be constrained by a certain suite of correlated traits due to ecological plant strategies that vary across habitats. The effect of habitat conditions on morpho-physiological functional traits and phenology-trait relationships is important and should not be neglected at local scales, implying consequences at larger scales.

摘要

越来越多的植物园研究正在调查物种对气候变化的反应。然而,当地环境或栖息地条件,如土壤养分状况或小气候对物候的影响以及形态生理功能性状与物候阶段之间的联系却鲜为人知,这使得很难将植物园中的模式外推到自然环境中。因此,我们选择了生长在两种半自然栖息地的草本物种,即半干旱草原(SDGs)和中生草原(MGs)以及德国耶拿植物园,以研究栖息地条件对物候、功能性状及其种间和种内关联模式的影响。对于16个物种,我们对来自这三个栖息地的133个种群每周监测叶片和开花物候,测量形态生理性状(即整株植物、叶片和繁殖性状)以及栖息地条件,并比较不同栖息地的测量结果。多变量分析表明,与物候性状相比,形态生理性状在不同栖息地之间的差异更为显著。MG上的种群表现出时间生态位分离,而SDG上的种群表现出开花同步。增强回归树分析表明,形态生理性状,尤其是繁殖性状,对物候性状有强烈影响,且性状与物候的关系具有高度的栖息地特异性。我们得出结论,植物园和当地栖息地的物种物候大致相似。然而,由于不同栖息地植物生态策略的差异,物候对环境的反应可能受到一系列相关性状的限制。栖息地条件对形态生理功能性状以及物候-性状关系的影响很重要,在局部尺度上不应被忽视,这意味着在更大尺度上也会有相应后果。

https://cdn.ncbi.nlm.nih.gov/pmc/blobs/6e61/11148399/5377a9670d78/ECE3-14-e11505-g009.jpg
https://cdn.ncbi.nlm.nih.gov/pmc/blobs/6e61/11148399/76e1f832a858/ECE3-14-e11505-g012.jpg
https://cdn.ncbi.nlm.nih.gov/pmc/blobs/6e61/11148399/b37bdd8addfd/ECE3-14-e11505-g003.jpg
https://cdn.ncbi.nlm.nih.gov/pmc/blobs/6e61/11148399/46ddafbf64d5/ECE3-14-e11505-g004.jpg
https://cdn.ncbi.nlm.nih.gov/pmc/blobs/6e61/11148399/10b180256fc7/ECE3-14-e11505-g010.jpg
https://cdn.ncbi.nlm.nih.gov/pmc/blobs/6e61/11148399/5f95c34921f6/ECE3-14-e11505-g007.jpg
https://cdn.ncbi.nlm.nih.gov/pmc/blobs/6e61/11148399/278c6511d3ab/ECE3-14-e11505-g002.jpg
https://cdn.ncbi.nlm.nih.gov/pmc/blobs/6e61/11148399/2c3e7654fa23/ECE3-14-e11505-g001.jpg
https://cdn.ncbi.nlm.nih.gov/pmc/blobs/6e61/11148399/c7106856e7fc/ECE3-14-e11505-g005.jpg
https://cdn.ncbi.nlm.nih.gov/pmc/blobs/6e61/11148399/056794c175ae/ECE3-14-e11505-g008.jpg
https://cdn.ncbi.nlm.nih.gov/pmc/blobs/6e61/11148399/debe37806122/ECE3-14-e11505-g011.jpg
https://cdn.ncbi.nlm.nih.gov/pmc/blobs/6e61/11148399/5377a9670d78/ECE3-14-e11505-g009.jpg
https://cdn.ncbi.nlm.nih.gov/pmc/blobs/6e61/11148399/76e1f832a858/ECE3-14-e11505-g012.jpg
https://cdn.ncbi.nlm.nih.gov/pmc/blobs/6e61/11148399/b37bdd8addfd/ECE3-14-e11505-g003.jpg
https://cdn.ncbi.nlm.nih.gov/pmc/blobs/6e61/11148399/46ddafbf64d5/ECE3-14-e11505-g004.jpg
https://cdn.ncbi.nlm.nih.gov/pmc/blobs/6e61/11148399/10b180256fc7/ECE3-14-e11505-g010.jpg
https://cdn.ncbi.nlm.nih.gov/pmc/blobs/6e61/11148399/5f95c34921f6/ECE3-14-e11505-g007.jpg
https://cdn.ncbi.nlm.nih.gov/pmc/blobs/6e61/11148399/278c6511d3ab/ECE3-14-e11505-g002.jpg
https://cdn.ncbi.nlm.nih.gov/pmc/blobs/6e61/11148399/2c3e7654fa23/ECE3-14-e11505-g001.jpg
https://cdn.ncbi.nlm.nih.gov/pmc/blobs/6e61/11148399/c7106856e7fc/ECE3-14-e11505-g005.jpg
https://cdn.ncbi.nlm.nih.gov/pmc/blobs/6e61/11148399/056794c175ae/ECE3-14-e11505-g008.jpg
https://cdn.ncbi.nlm.nih.gov/pmc/blobs/6e61/11148399/debe37806122/ECE3-14-e11505-g011.jpg
https://cdn.ncbi.nlm.nih.gov/pmc/blobs/6e61/11148399/5377a9670d78/ECE3-14-e11505-g009.jpg

相似文献

1
Habitat conditions filter stronger for functional traits than for phenology in herbaceous species.在草本植物中,栖息地条件对功能性状的筛选作用比对物候的筛选作用更强。
Ecol Evol. 2024 Jun 4;14(6):e11505. doi: 10.1002/ece3.11505. eCollection 2024 Jun.
2
Spatial variability in herbaceous plant phenology is mostly explained by variability in temperature but also by photoperiod and functional traits.草本植物物候的空间变异性主要由温度变化解释,但也受光周期和功能特征的影响。
Int J Biometeorol. 2024 Apr;68(4):761-775. doi: 10.1007/s00484-024-02621-9. Epub 2024 Jan 29.
3
Functional traits influence patterns in vegetative and reproductive plant phenology - a multi-botanical garden study.功能特征影响植物营养和生殖物候模式——一项多植物园研究。
New Phytol. 2022 Sep;235(6):2199-2210. doi: 10.1111/nph.18345. Epub 2022 Jul 26.
4
Plant species phenology differs between climate and land-use scenarios and relates to plant functional traits.植物物种的物候在不同气候和土地利用情景下存在差异,且与植物功能性状相关。
Ecol Evol. 2024 May 23;14(5):e11441. doi: 10.1002/ece3.11441. eCollection 2024 May.
5
Phylogenetic conservatism and climate factors shape flowering phenology in alpine meadows.系统发育保守性和气候因素塑造了高山草甸的开花物候。
Oecologia. 2016 Oct;182(2):419-28. doi: 10.1007/s00442-016-3666-6. Epub 2016 Jun 28.
6
Local environment, not local adaptation, drives leaf-out phenology in common gardens along an elevational gradient in Acadia National Park, Maine.在缅因州阿卡迪亚国家公园的一个海拔梯度的公共花园中,是当地环境而非当地适应驱动了叶片出芽物候。
Am J Bot. 2018 Jun;105(6):986-995. doi: 10.1002/ajb2.1108. Epub 2018 Jun 29.
7
Intraspecific Variation in Functional Traits of Determine the Effect of Plant Diversity and Nitrogen Addition on Flowering Phenology in a One-Year Common Garden Experiment.确定植物多样性和施氮对一年生普通花园实验中开花物候的影响时功能性状的种内变异。 你提供的原文可能不太完整或存在一些表述不太准确的地方,按照字面准确翻译如上。
Plants (Basel). 2023 May 16;12(10):1994. doi: 10.3390/plants12101994.
8
Plant size and leaf area influence phenological and reproductive responses to warming in semiarid Mediterranean species.植株大小和叶面积影响半干旱地中海物种对变暖的物候和繁殖响应。
Perspect Plant Ecol Evol Syst. 2016 Aug;21:31-40. doi: 10.1016/j.ppees.2016.05.003.
9
The linkage between functional traits and drone-derived phenology of 74 Northern Hemisphere tree species.74 种北半球树种的功能性状与雄蜂衍生物候之间的联系。
Sci Total Environ. 2024 Nov 20;952:175753. doi: 10.1016/j.scitotenv.2024.175753. Epub 2024 Aug 30.
10
Reproductive phenology of 233 species from four herbaceous-shrubby communities in the Gran Sabana Plateau of Venezuela.委内瑞拉大萨巴纳高原四个草本-灌丛群落 233 种植物的繁殖物候。
AoB Plants. 2011;2011:plr014. doi: 10.1093/aobpla/plr014. Epub 2011 May 25.

引用本文的文献

1
Temperate Forest Floor Bryophytes Functionally Respond to Small-Scale Variability in Water, Light and Nutrient Availability.温带森林地面苔藓植物对水分、光照和养分可利用性的小尺度变化做出功能响应。
Ecol Evol. 2025 Jul 31;15(8):e71839. doi: 10.1002/ece3.71839. eCollection 2025 Aug.

本文引用的文献

1
Plant species phenology differs between climate and land-use scenarios and relates to plant functional traits.植物物种的物候在不同气候和土地利用情景下存在差异,且与植物功能性状相关。
Ecol Evol. 2024 May 23;14(5):e11441. doi: 10.1002/ece3.11441. eCollection 2024 May.
2
Functional traits influence patterns in vegetative and reproductive plant phenology - a multi-botanical garden study.功能特征影响植物营养和生殖物候模式——一项多植物园研究。
New Phytol. 2022 Sep;235(6):2199-2210. doi: 10.1111/nph.18345. Epub 2022 Jul 26.
3
The growing and vital role of botanical gardens in climate change research.
植物园在气候变化研究中的不断发展和重要作用。
New Phytol. 2021 Aug;231(3):917-932. doi: 10.1111/nph.17410. Epub 2021 May 30.
4
Complex spatiotemporal phenological shifts as a response to rainfall changes.作为对降雨变化响应的复杂时空物候变化。
New Phytol. 2004 Mar;161(3):837-846. doi: 10.1111/j.1469-8137.2004.01003.x. Epub 2004 Jan 14.
5
Linkage between species traits and plant phenology in an alpine meadow.物种特征与高山草甸植物物候之间的联系。
Oecologia. 2021 Feb;195(2):409-419. doi: 10.1007/s00442-020-04846-y. Epub 2021 Jan 10.
6
Plant intraspecific functional trait variation is related to within-habitat heterogeneity and genetic diversity in L.植物种内功能性状变异与L. 栖息地内的异质性和遗传多样性有关。
Ecol Evol. 2020 Apr 16;10(11):5015-5033. doi: 10.1002/ece3.6255. eCollection 2020 Jun.
7
Grazing effects on intraspecific trait variability vary with changing precipitation patterns in Mongolian rangelands.放牧对种内性状变异性的影响随蒙古草原降水模式的变化而不同。
Ecol Evol. 2019 Dec 26;10(2):678-691. doi: 10.1002/ece3.5895. eCollection 2020 Jan.
8
Plant phenology and global climate change: Current progresses and challenges.植物物候学与全球气候变化:当前进展与挑战。
Glob Chang Biol. 2019 Jun;25(6):1922-1940. doi: 10.1111/gcb.14619. Epub 2019 Apr 1.
9
Traits and climate are associated with first flowering day in herbaceous species along elevational gradients.在沿海拔梯度分布的草本植物中,性状与气候和首次开花时间相关。
Ecol Evol. 2017 Dec 20;8(2):1147-1158. doi: 10.1002/ece3.3720. eCollection 2018 Jan.
10
Patch Size, Pollinator Behavior, and Pollinator Limitation in Catnip.荆芥的斑块大小、传粉者行为与传粉者限制
Ecology. 1987 Dec;68(6):1679-1690. doi: 10.2307/1939860.