Department of Physical and Environmental Sciences, University of Toronto Scarborough, 1265 Military Trail, Toronto, Ontario, Canada M1C 1A4.
Department of Chemistry, University of Toronto Scarborough, 1265 Military Trail, Toronto, Ontario, Canada M1C 1A4.
Environ Sci Technol. 2024 Jun 18;58(24):10504-10514. doi: 10.1021/acs.est.4c03302. Epub 2024 Jun 5.
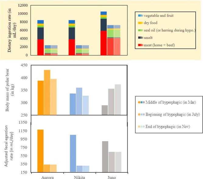
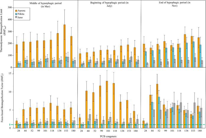
Some persistent hydrophobic pollutants biomagnify, i.e., achieve higher contaminant levels in a predator than in its prey (/ > 1). This ratio is called the biomagnification factor (BMF) and is traditionally determined using tissues from carcasses or biopsies. Using a noninvasive method that relies on equilibrium sampling in silicone-film-coated vessels and chemical analysis of paired diet and feces, we determined on three occasions the thermodynamic biomagnification limit (BMF) and feces-based biomagnification factor (BMF) for three zoo-housed polar bears who experience seasonal periods of hyperphagia and hypophagia. All bears had high biomagnification capabilities (BMF was up to 200) owing to very efficient lipid assimilation (up to 99.5%). The bears differed up to a factor of 3 in their BMF. BMF and BMF of a bear increased by up to a factor of 4 during the hypophagic period, when the ingestion rate was greatly reduced. Much of that variability can be explained by differences in the lipid assimilation efficiency, even though this efficiency ranged only from 98.1 to 99.5%. A high BMF was associated with a high abundance of and in the gut microbiome. Biomagnification varies to a surprisingly large extent between individuals and within the same individual over time. Future work should investigate whether this can be attributed to the influence of the gut microbiome on lipid assimilation by studying more individual bears at different key physiological stages.
一些持久性疏水性污染物会生物放大,即在捕食者体内的污染物水平高于其猎物(/ > 1)。这个比例称为生物放大因子(BMF),传统上是通过尸体组织或活组织检查来确定的。本研究采用依赖于硅酮膜涂层容器中平衡采样和对配对饮食和粪便进行化学分析的非侵入性方法,在三个时间点确定了三只圈养北极熊的热力学生物放大极限(BMF)和基于粪便的生物放大因子(BMF),这些北极熊经历季节性的暴饮暴食和饥饿期。由于非常高效的脂质同化(高达 99.5%),所有的熊都具有很高的生物放大能力(BMF 高达 200)。由于脂质同化效率的差异,熊的 BMF 差异高达 3 倍,在饥饿期,当摄入率大大降低时,BMF 和 BMF 增加了 4 倍。尽管这种效率范围仅为 98.1%至 99.5%,但这种变异性的大部分可以用脂质同化效率的差异来解释。高 BMF 与肠道微生物组中 和 的高丰度相关。生物放大在个体之间和同一个体随时间变化的幅度大得惊人。未来的工作应该通过研究不同关键生理阶段的更多个体熊,研究肠道微生物组对脂质同化的影响,来探讨这种情况是否可以归因于此。