Suppr超能文献

特普替尼治疗既往治疗转移性葡萄膜黑色素瘤的长期生存随访。

Long-term survival follow-up for tebentafusp in previously treated metastatic uveal melanoma.

机构信息

Clatterbridge Cancer Centre NHS Foundation Trust, Wirral, UK

University of Liverpool, Liverpool, Merseyside, UK.

出版信息

J Immunother Cancer. 2024 Jun 6;12(6):e009028. doi: 10.1136/jitc-2024-009028.

Abstract

BACKGROUND

Tebentafusp, a bispecific (gp100×CD3) ImmTAC, significantly improved overall survival (OS) outcomes for HLA-A*02:01+ adult patients with untreated metastatic uveal melanoma (mUM) and showed promising survival in previously treated mUM with 1-year OS of 62% in the primary analysis of study IMCgp100-102. Here we report long-term outcomes from this phase 1/2 study in pretreated mUM.

PATIENTS AND METHODS

Patients with previously treated mUM received tebentafusp weekly intravenous at 20 µg dose 1, 30 µg dose 2 and either 54, 64, 68, or 73 µg (phase 1) or 68 µg (phase 2) dose 3+. The primary objective was overall response rate. Secondary objectives included OS and safety. OS was estimated by Kaplan-Meier methods. Association between OS and baseline covariates, on-treatment Response Evaluation Criteria in Solid Tumors (RECIST) response, baseline tumor biopsy and circulating-tumor DNA (ctDNA) changes were assessed.

RESULTS

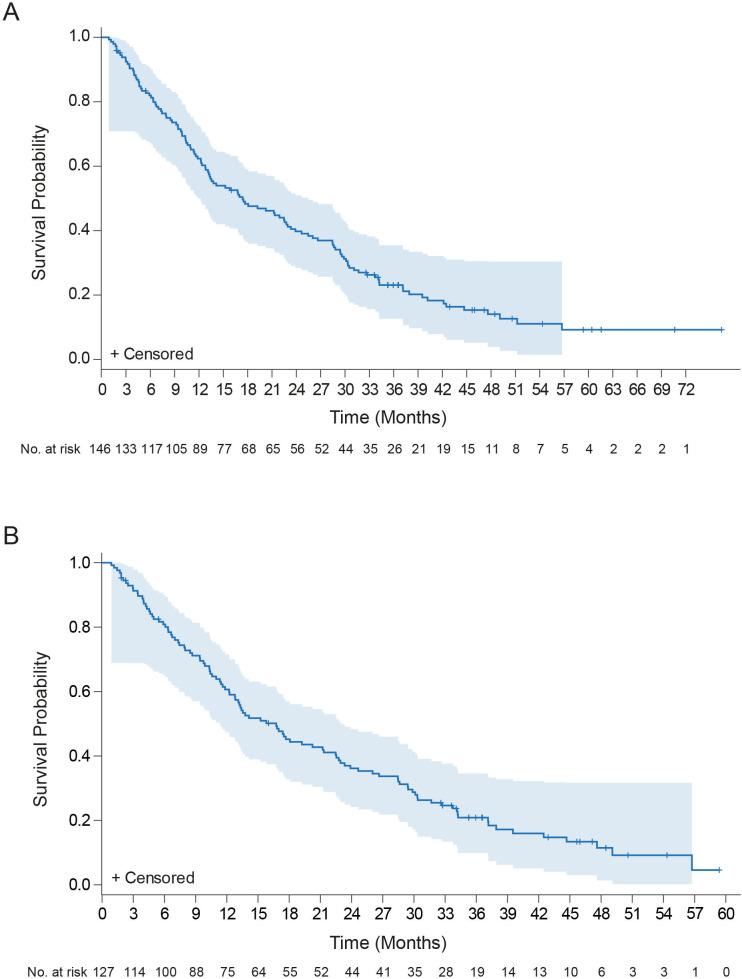
146 patients were treated with tebentafusp: 19 in phase 1 and 127 in phase 2. With a median follow-up duration of 48.5 months, the median OS was 17.4 months (95% CI, 13.1 to 22.8), and the 1-year, 2-year, 3-year and 4-year OS rates were 62%, 40%, 23% and 14%, respectively. Improved survival was associated with lower ctDNA baseline levels and greater ctDNA reductions by week 9 on-treatment, with 100% 1-year, 73% 2-year and 45% 3-year OS rates for patients with ctDNA clearance. Baseline gp100 expression was not associated with survival, despite more RECIST responses among patients with higher expression. No new safety signals were reported with long-term dosing.

CONCLUSIONS

This study represents the longest follow-up of a Tcell receptor bispecific to date and confirms the durable survival benefits achieved with tebentafusp in previously treated mUM with good tolerability long-term. A role for ctDNA reduction as an early indicator of clinical benefit was again suggested for patients treated with tebentafusp.

摘要

背景

特贝妥珠单抗(一种双特异性[gp100×CD3]ImmTAC)显著改善了未经治疗的转移性葡萄膜黑色素瘤(mUM)的 HLA-A*02:01+成年患者的总生存期(OS)结局,并在先前治疗的 mUM 中显示出有希望的生存结果,在 IMCgp100-102 的主要分析中,1 年 OS 率为 62%。在这里,我们报告了这项针对先前治疗的 mUM 的 1/2 期研究的长期结果。

方法

先前治疗过的 mUM 患者每周静脉输注 20μg 剂量 1、30μg 剂量 2,然后分别接受 54、64、68 或 73μg(第 1 阶段)或 68μg(第 2 阶段)剂量 3+。主要目标是总反应率。次要目标包括 OS 和安全性。OS 通过 Kaplan-Meier 方法估计。评估 OS 与基线协变量、治疗后实体瘤反应评估标准(RECIST)反应、基线肿瘤活检和循环肿瘤 DNA(ctDNA)变化之间的关系。

结果

146 名患者接受了特贝妥珠单抗治疗:19 名患者在第 1 阶段,127 名患者在第 2 阶段。中位随访时间为 48.5 个月,中位 OS 为 17.4 个月(95%CI,13.1 至 22.8),1 年、2 年、3 年和 4 年 OS 率分别为 62%、40%、23%和 14%。存活时间的改善与基线 ctDNA 水平较低以及治疗后第 9 周时 ctDNA 水平的更大下降有关,ctDNA 清除的患者 1 年 OS 率为 100%,2 年 OS 率为 73%,3 年 OS 率为 45%。尽管高表达患者的 RECIST 反应更多,但基线 gp100 表达与生存无关。长期给药未报告新的安全性信号。

结论

这项研究代表了迄今为止最长时间的 T 细胞受体双特异性研究,证实了特贝妥珠单抗在先前治疗的 mUM 中的持久生存获益,且具有良好的耐受性。对于接受特贝妥珠单抗治疗的患者,ctDNA 减少作为临床获益早期指标的作用再次得到证实。

https://cdn.ncbi.nlm.nih.gov/pmc/blobs/ec87/11163599/3fe451acd511/jitc-2024-009028f01.jpg

文献AI研究员

20分钟写一篇综述,助力文献阅读效率提升50倍。

立即体验

用中文搜PubMed

大模型驱动的PubMed中文搜索引擎

马上搜索

文档翻译

学术文献翻译模型,支持多种主流文档格式。

立即体验