• 文献检索
  • 文档翻译
  • 深度研究
  • 学术资讯
  • Suppr Zotero 插件Zotero 插件
  • 邀请有礼
  • 套餐&价格
  • 历史记录
应用&插件
Suppr Zotero 插件Zotero 插件浏览器插件Mac 客户端Windows 客户端微信小程序
定价
高级版会员购买积分包购买API积分包
服务
文献检索文档翻译深度研究API 文档MCP 服务
关于我们
关于 Suppr公司介绍联系我们用户协议隐私条款
关注我们

Suppr 超能文献

核心技术专利:CN118964589B侵权必究
粤ICP备2023148730 号-1Suppr @ 2026

文献检索

告别复杂PubMed语法,用中文像聊天一样搜索,搜遍4000万医学文献。AI智能推荐,让科研检索更轻松。

立即免费搜索

文件翻译

保留排版,准确专业,支持PDF/Word/PPT等文件格式,支持 12+语言互译。

免费翻译文档

深度研究

AI帮你快速写综述,25分钟生成高质量综述,智能提取关键信息,辅助科研写作。

立即免费体验

验证改良产科合并症指数对包括胎儿发病率在内的产后不良事件的预测作用-来自卡塔尔的回顾性队列研究。

Validation of a modified obstetric comorbidity index for prediction of postpartum adverse events including fetal morbidity - a retrospective cohort study from Qatar.

机构信息

Department of Obstetrics and Gynecology, Women's Wellness and Research Centre, Hamad Medical Corporation, Doha, Qatar.

Women's Wellness and Research Centre, Executive Director of Quality and Safety, Hamad Medical Corporation, Doha, Qatar.

出版信息

BMC Pregnancy Childbirth. 2024 Jun 8;24(1):415. doi: 10.1186/s12884-024-06612-x.

DOI:10.1186/s12884-024-06612-x
PMID:38851669
原文链接:https://pmc.ncbi.nlm.nih.gov/articles/PMC11161943/
Abstract

BACKGROUND

The Obstetric Comorbidity Index (OBCMI) is an internationally validated scoring system for maternal risk factors intended to reliably predict the occurrence of severe maternal morbidity (SMM). This retrospective cohort study applied the OBCMI to pregnant women in Qatar to validate its performance in predicting SMM and cumulative fetal morbidity.

METHODS

Data from 1000 women who delivered in July 2021 in a large tertiary centre was extracted from medical records. The OBCMI index included maternal demographics, pre-existing comorbidities, and various current pregnancy risk factors such as hypertension, including preeclampsia, intrauterine fetal death, prolonged rupture of membranes and unbooked pregnancies. SMM was based on the ACOG consensus definition, and the cumulative fetal morbidity (CFM) included fetal distress in labour, low APGAR and umbilical artery (UA) pH, admission to neonatal intensive care (NICU), and hypoxic-ischemic encephalopathy (HIE). A c-statistic or area under curve (AUC) was calculated to determine the ability of OBCMI to predict SMM and CFM.

RESULTS

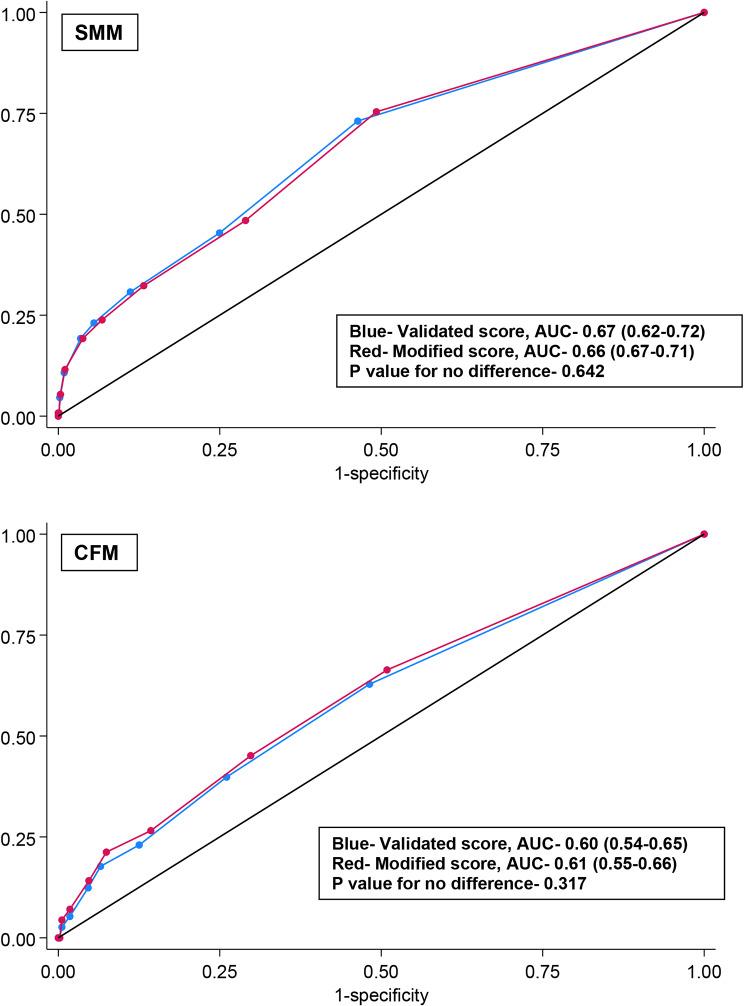
The median OBCMI score for the cohort was 1 (interquartile range- 0 to 2); 50% of women scored 0, while 85% (n = 842) had a score ranging from 0 to 2. Ten women (1%) scored ≥ 7; the highest score was 10. The incidence of SMM was 13%. According to the modified scoring system, the mean OBCMI score in those who developed SMM was 2.18 (± 2.20) compared to a mean of 1.04 (± 1.40) in those who did not (median 1, IQR:1-3 versus median 0, IQR: 0-2; p < 0.001). The incidence of CFM was 11.3%. The incidence of low APGAR score, HIE and NICU admission was nearly 1 in 1000. Around 5% of the babies had fetal distress in labour and low UA pH. For every 1 unit increase in OBCMI score, the odds of SMM increased by 44% (OR 1.44 95% CI 1.30-1.59; p < 0.001; AUC 0.66), and CFM increased by 28% (OR 1.28 95% CI 1.15-1.42; p < 0.001; AUC 0.61). A cut-off score of 4 had a high specificity (> 90%); 1 in 4 and 1 in 6 women with OBCMI score ≥ 4 developed SMM and CFM, respectively.

CONCLUSION

The OBCMI performed moderately well in predicting SMM in pregnant women of Qatar and can be effectively used as a risk assessment tool to red-flag high-risk cases so that appropriate and timely multidisciplinary care can be initiated to reduce SMM and maternal mortality. The index is also helpful in predicting fetal morbidity; however, further prospective studies are required to validate OBCMI for CFM.

摘要

背景

产科合并症指数(OBCMI)是一种国际上经过验证的用于预测严重产妇发病率(SMM)的产妇风险因素评分系统。本回顾性队列研究将 OBCMI 应用于卡塔尔的孕妇,以验证其在预测 SMM 和累积胎儿发病率方面的性能。

方法

从一家大型三级中心 2021 年 7 月分娩的 1000 名妇女的病历中提取数据。OBCMI 指数包括产妇人口统计学、既往合并症和各种当前妊娠风险因素,如高血压,包括子痫前期、胎儿宫内死亡、胎膜延长破裂和未预约妊娠。SMM 基于 ACOG 共识定义,累积胎儿发病率(CFM)包括分娩时胎儿窘迫、低 Apgar 评分和脐动脉(UA)pH 值、新生儿重症监护病房(NICU)入院和缺氧缺血性脑病(HIE)。计算 c 统计量或曲线下面积(AUC)以确定 OBCMI 预测 SMM 和 CFM 的能力。

结果

队列的中位数 OBCMI 评分为 1(四分位距-0 至 2);50%的女性评分为 0,而 85%(n=842)的评分为 0 至 2。有 10 名女性(1%)的评分≥7;最高评分为 10。SMM 的发病率为 13%。根据改良评分系统,发生 SMM 的患者的平均 OBCMI 评分为 2.18(±2.20),而未发生 SMM 的患者的平均评分为 1.04(±1.40)(中位数 1,IQR:1-3 与中位数 0,IQR:0-2;p<0.001)。CFM 的发病率为 11.3%。低 Apgar 评分、HIE 和 NICU 入院的发病率接近每 1000 例 1 例。约有 5%的婴儿在分娩时出现胎儿窘迫和低 UA pH 值。OBCMI 评分每增加 1 个单位,SMM 的发生几率增加 44%(OR 1.44,95%CI 1.30-1.59;p<0.001;AUC 0.66),CFM 增加 28%(OR 1.28,95%CI 1.15-1.42;p<0.001;AUC 0.61)。4 分的截断值具有高特异性(>90%);1 名 OBCMI 评分≥4 的妇女中有 4 分之 1 和 6 分之 1 发生 SMM 和 CFM。

结论

OBCMI 在预测卡塔尔孕妇的 SMM 方面表现良好,可以有效地用作风险评估工具,以标记高危病例,以便及时提供适当的多学科护理,从而降低 SMM 和产妇死亡率。该指数还有助于预测胎儿发病率;然而,需要进一步的前瞻性研究来验证 OBCMI 对 CFM 的预测能力。

https://cdn.ncbi.nlm.nih.gov/pmc/blobs/85be/11161943/2594357c6767/12884_2024_6612_Fig3_HTML.jpg
https://cdn.ncbi.nlm.nih.gov/pmc/blobs/85be/11161943/31c28b2f9932/12884_2024_6612_Fig1_HTML.jpg
https://cdn.ncbi.nlm.nih.gov/pmc/blobs/85be/11161943/53290877439b/12884_2024_6612_Fig2_HTML.jpg
https://cdn.ncbi.nlm.nih.gov/pmc/blobs/85be/11161943/2594357c6767/12884_2024_6612_Fig3_HTML.jpg
https://cdn.ncbi.nlm.nih.gov/pmc/blobs/85be/11161943/31c28b2f9932/12884_2024_6612_Fig1_HTML.jpg
https://cdn.ncbi.nlm.nih.gov/pmc/blobs/85be/11161943/53290877439b/12884_2024_6612_Fig2_HTML.jpg
https://cdn.ncbi.nlm.nih.gov/pmc/blobs/85be/11161943/2594357c6767/12884_2024_6612_Fig3_HTML.jpg

相似文献

1
Validation of a modified obstetric comorbidity index for prediction of postpartum adverse events including fetal morbidity - a retrospective cohort study from Qatar.验证改良产科合并症指数对包括胎儿发病率在内的产后不良事件的预测作用-来自卡塔尔的回顾性队列研究。
BMC Pregnancy Childbirth. 2024 Jun 8;24(1):415. doi: 10.1186/s12884-024-06612-x.
2
A comorbidity-based screening tool to predict severe maternal morbidity at the time of delivery.基于合并症的筛查工具,用于预测分娩时的严重产妇发病率。
Am J Obstet Gynecol. 2019 Sep;221(3):271.e1-271.e10. doi: 10.1016/j.ajog.2019.06.025. Epub 2019 Jun 20.
3
External validation and comparison of four prediction scores for severe maternal morbidity.四种严重孕产妇发病率预测评分的外部验证和比较。
Am J Obstet Gynecol MFM. 2024 Oct;6(10):101471. doi: 10.1016/j.ajogmf.2024.101471. Epub 2024 Aug 22.
4
Performance of the Obstetric Early Warning Score in critically ill patients for the prediction of maternal death.产科早期预警评分在危重症患者中预测孕产妇死亡的效能
Am J Obstet Gynecol. 2017 Jan;216(1):58.e1-58.e8. doi: 10.1016/j.ajog.2016.09.103. Epub 2016 Oct 15.
5
Maternal comorbidity index and severe maternal morbidity among medicaid covered pregnant women in a US Southern rural state.美国南部农村州医疗补助覆盖孕妇的孕产妇合并症指数和严重孕产妇发病率。
J Matern Fetal Neonatal Med. 2023 Dec;36(1):2167073. doi: 10.1080/14767058.2023.2167073.
6
Examining adverse fetal/neonatal outcomes associated with severe maternal morbidity.探讨与严重孕产妇发病率相关的不良胎儿/新生儿结局。
Aust N Z J Obstet Gynaecol. 2020 Dec;60(6):865-870. doi: 10.1111/ajo.13163. Epub 2020 Apr 21.
7
Adverse Delivery and Neonatal Outcomes Among Women with Severe Maternal Morbidity in Illinois, 2018-2019.2018 - 2019年伊利诺伊州严重孕产妇发病妇女的不良分娩及新生儿结局
J Womens Health (Larchmt). 2024 Feb;33(2):163-170. doi: 10.1089/jwh.2023.0248. Epub 2023 Nov 16.
8
Development and validation of a risk prediction index for severe maternal morbidity based on preconception comorbidities among infertile patients.基于不孕患者孕前合并症开发和验证严重孕产妇发病率风险预测指标。
Fertil Steril. 2021 Nov;116(5):1372-1380. doi: 10.1016/j.fertnstert.2021.06.024. Epub 2021 Jul 12.
9
Comparison of global indicators for severe maternal morbidity among South Korean women who delivered from 2003 to 2018: a population-based retrospective cohort study.2003 年至 2018 年韩国分娩产妇严重产妇发病率全球指标比较:基于人群的回顾性队列研究。
Reprod Health. 2022 Aug 13;19(1):177. doi: 10.1186/s12978-022-01482-y.
10
Acute tocolysis for uterine tachysystole or suspected fetal distress.针对子宫收缩过速或疑似胎儿窘迫的急性宫缩抑制。
Cochrane Database Syst Rev. 2018 Jul 4;7(7):CD009770. doi: 10.1002/14651858.CD009770.pub2.

本文引用的文献

1
Trends in Maternal Mortality and Severe Maternal Morbidity During Delivery-Related Hospitalizations in the United States, 2008 to 2021.2008 年至 2021 年期间美国分娩相关住院治疗中的孕产妇死亡率和严重产妇发病率趋势。
JAMA Netw Open. 2023 Jun 1;6(6):e2317641. doi: 10.1001/jamanetworkopen.2023.17641.
2
Maternal comorbidity index and severe maternal morbidity among medicaid covered pregnant women in a US Southern rural state.美国南部农村州医疗补助覆盖孕妇的孕产妇合并症指数和严重孕产妇发病率。
J Matern Fetal Neonatal Med. 2023 Dec;36(1):2167073. doi: 10.1080/14767058.2023.2167073.
3
Obstetric comorbidity scores and disparities in severe maternal morbidity across marginalized groups.
产科合并症评分和边缘化群体重度孕产妇发病率的差异。
Am J Obstet Gynecol MFM. 2022 Mar;4(2):100530. doi: 10.1016/j.ajogmf.2021.100530. Epub 2021 Nov 16.
4
Association of Maternal Comorbidity With Severe Maternal Morbidity: A Cohort Study of California Mothers Delivering Between 1997 and 2014.母亲合并症与严重产妇发病的关联:1997 年至 2014 年间加利福尼亚分娩母亲的队列研究。
Ann Intern Med. 2020 Dec 1;173(11 Suppl):S11-S18. doi: 10.7326/M19-3253.
5
Maternal comorbidity index and severe maternal morbidity during delivery hospitalizations in Texas, 2011-2014.德克萨斯州 2011-2014 年分娩住院期间产妇合并症指数和严重产妇发病率。
Birth. 2020 Mar;47(1):89-97. doi: 10.1111/birt.12465. Epub 2019 Oct 28.
6
A comorbidity-based screening tool to predict severe maternal morbidity at the time of delivery.基于合并症的筛查工具,用于预测分娩时的严重产妇发病率。
Am J Obstet Gynecol. 2019 Sep;221(3):271.e1-271.e10. doi: 10.1016/j.ajog.2019.06.025. Epub 2019 Jun 20.
7
Vital Signs: Pregnancy-Related Deaths, United States, 2011-2015, and Strategies for Prevention, 13 States, 2013-2017.生命体征:2011-2015 年美国与妊娠相关的死亡情况,以及 2013-2017 年 13 个州的预防策略。
MMWR Morb Mortal Wkly Rep. 2019 May 10;68(18):423-429. doi: 10.15585/mmwr.mm6818e1.
8
Severe maternal morbidity: screening and review.严重孕产妇发病情况:筛查与评估
Am J Obstet Gynecol. 2016 Sep;215(3):B17-22. doi: 10.1016/j.ajog.2016.07.050. Epub 2016 Aug 22.
9
Validation of an obstetric comorbidity index in an external population.产科合并症指数在外部人群中的验证
BJOG. 2015 Dec;122(13):1748-55. doi: 10.1111/1471-0528.13254. Epub 2015 Jan 5.
10
Development of a comorbidity index for use in obstetric patients.产科患者合并症指数的制定。
Obstet Gynecol. 2013 Nov;122(5):957-965. doi: 10.1097/AOG.0b013e3182a603bb.