Suppr超能文献

美国成年人残余胆固醇与高尿酸血症的相关性。

Correlation between remnant cholesterol and hyperuricemia in American adults.

机构信息

Department of Hematology, The Second Affiliated Hospital and Yuying Children's Hospital of Wenzhou Medical University, Wenzhou, Zhejiang Province, P. R. China.

Department of Endocrinology, The Second Affiliated Hospital and Yuying Children's Hospital of Wenzhou Medical University, Wenzhou, Zhejiang Province, P. R. China.

出版信息

Lipids Health Dis. 2024 Jun 8;23(1):176. doi: 10.1186/s12944-024-02167-0.

Abstract

BACKGROUND

Remnant cholesterol (RC) is an important marker for assessing the risk of metabolic syndrome. However, the correlation between RC and hyperuricemia (HUA) remains unclear. This study aimed to explore the correlation between RC and HUA in American adults.

METHODS

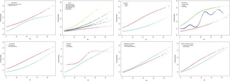
A total of 9089 participants from the 2013-2020 National Health and Nutrition Examination Survey were investigated. The correlation between RC and the odds of HUA was evaluated using multivariate logistic regression analysis. The nonlinear correlation was described using fitted smoothed curves. The correlation in subgroups was analyzed based on race, gender, alcohol consumption, age, body mass index, waist circumference, diabetes and moderate physical activities.

RESULTS

RC was correlated with uric acid (Spearman's correlation coefficient = 0.208 in males and 0.215 in females; all P < 0.001). Multiple logistic regression analysis indicated a positive correlation between RC and the risk of HUA (odds ratio = 1.022 in males and 1.031 in females; all P < 0.001). Subgroup analysis revealed that the correlation was stronger in females, participants aged < 50 years, and those without diabetes. Furthermore, the generalized smooth curve fitting demonstrated a linear correlation between RC and HUA, without threshold or saturation effects.

CONCLUSION

Elevated RC significantly and positively correlated with HUA in American adults. This correlation was stronger among females, participants aged < 50 years, and those without diabetes.

摘要

背景

残余胆固醇(RC)是评估代谢综合征风险的重要标志物。然而,RC 与高尿酸血症(HUA)之间的相关性尚不清楚。本研究旨在探讨美国成年人 RC 与 HUA 之间的相关性。

方法

共纳入 2013 年至 2020 年全国健康与营养调查的 9089 名参与者。采用多变量 logistic 回归分析评估 RC 与 HUA 发生几率之间的相关性。采用拟合平滑曲线描述非线性相关性。根据种族、性别、饮酒情况、年龄、体重指数、腰围、糖尿病和适度体力活动对亚组进行相关性分析。

结果

RC 与尿酸呈正相关(男性 Spearman 相关系数为 0.208,女性为 0.215;均 P<0.001)。多变量 logistic 回归分析表明,RC 与 HUA 风险呈正相关(男性比值比为 1.022,女性为 1.031;均 P<0.001)。亚组分析显示,这种相关性在女性、年龄<50 岁和无糖尿病的参与者中更强。此外,广义平滑曲线拟合表明 RC 与 HUA 之间存在线性相关,无阈值或饱和效应。

结论

在成年美国人中,RC 升高与 HUA 显著正相关。这种相关性在女性、年龄<50 岁和无糖尿病的参与者中更强。

https://cdn.ncbi.nlm.nih.gov/pmc/blobs/5c71/11161976/7dcfe8d1aac5/12944_2024_2167_Fig1_HTML.jpg

文献AI研究员

20分钟写一篇综述,助力文献阅读效率提升50倍。

立即体验

用中文搜PubMed

大模型驱动的PubMed中文搜索引擎

马上搜索

文档翻译

学术文献翻译模型,支持多种主流文档格式。

立即体验