• 文献检索
  • 文档翻译
  • 深度研究
  • 学术资讯
  • Suppr Zotero 插件Zotero 插件
  • 邀请有礼
  • 套餐&价格
  • 历史记录
应用&插件
Suppr Zotero 插件Zotero 插件浏览器插件Mac 客户端Windows 客户端微信小程序
定价
高级版会员购买积分包购买API积分包
服务
文献检索文档翻译深度研究API 文档MCP 服务
关于我们
关于 Suppr公司介绍联系我们用户协议隐私条款
关注我们

Suppr 超能文献

核心技术专利:CN118964589B侵权必究
粤ICP备2023148730 号-1Suppr @ 2026

文献检索

告别复杂PubMed语法,用中文像聊天一样搜索,搜遍4000万医学文献。AI智能推荐,让科研检索更轻松。

立即免费搜索

文件翻译

保留排版,准确专业,支持PDF/Word/PPT等文件格式,支持 12+语言互译。

免费翻译文档

深度研究

AI帮你快速写综述,25分钟生成高质量综述,智能提取关键信息,辅助科研写作。

立即免费体验

用 PLCζ mRNA 进行卵母细胞激活会引起重复的细胞内 Ca 升高,并改善胞质内精子注射后猪胚胎的质量。

Oocyte activation with phospholipase Cζ mRNA induces repetitive intracellular Ca rises and improves the quality of pig embryos after intracytoplasmic sperm injection.

机构信息

Institute of Agrobiological Sciences, National Agriculture and Food Research Organization, Tsukuba, Ibaraki 305-0901, Japan.

出版信息

J Reprod Dev. 2024 Aug 7;70(4):229-237. doi: 10.1262/jrd.2023-105. Epub 2024 Jun 9.

DOI:10.1262/jrd.2023-105
PMID:38853022
原文链接:https://pmc.ncbi.nlm.nih.gov/articles/PMC11310388/
Abstract

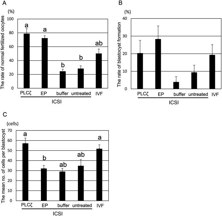
For the intracytoplasmic sperm injection (ICSI) procedure in pigs, an electrical pulse (EP) has been used as an effective method for oocyte stimulation, but unlike sperm, EP is unable to induce Ca oscillations. In this study, we investigated the effects of generating artificial Ca oscillations with phospholipase Cζ (PLCζ) mRNA, a candidate sperm factor, on fertilization, embryonic development, and gene expression after ICSI. Firstly, the concentration of PLCζ mRNA of a fixed volume (1.0 pl) that would induce a pattern of Ca rise similar to that of in vitro fertilized (IVF) sperm was examined and determined to be 300 ng/μl. Secondly, the effects of oocyte stimulation methods on fertilization and embryonic development were investigated. ICSI-oocytes were activated by EP (EP group) or by PLCζ mRNA (PLCζ group). Furthermore, IVF-oocytes (IVF group) and ICSI-oocytes with and without an injection of buffer (buffer and untreated groups, respectively) were used as controls. It was found that the rates of normal fertilization in the PLCζ and EP groups were significantly higher than those in the buffer and untreated groups. The blastocyst formation rates did not differ among the groups. The embryo quality in the EP group was inferior to those in the PLCζ and IVF groups. Additionally, the expression level of a proapoptosis-related gene (Caspase-3) in the EP group was significantly higher than those in the PLCζ and IVF groups. Our data suggest that oocyte activation by PLCζ mRNA has the effect of improving embryo quality.

摘要

对于猪的胞质内精子注射(ICSI)程序,电脉冲(EP)已被用作卵母细胞刺激的有效方法,但与精子不同,EP 无法诱导 Ca 振荡。在这项研究中,我们研究了用 PLCζ(PLCζ)mRNA 产生人工 Ca 振荡对 ICSI 后受精、胚胎发育和基因表达的影响,PLCζ mRNA 是候选精子因子。首先,检查并确定了诱导 Ca 上升模式类似于体外受精(IVF)精子的固定体积(1.0 pl)PLCζ mRNA 的浓度为 300 ng/μl。其次,研究了卵母细胞刺激方法对受精和胚胎发育的影响。用 EP(EP 组)或 PLCζ mRNA(PLCζ 组)激活 ICSI 卵母细胞。此外,还使用 IVF 卵母细胞(IVF 组)和未注射缓冲液的 ICSI 卵母细胞(分别为缓冲组和未处理组)作为对照。结果发现,PLCζ 和 EP 组的正常受精率明显高于缓冲组和未处理组。各组的囊胚形成率没有差异。EP 组的胚胎质量不如 PLCζ 和 IVF 组。此外,EP 组中与细胞凋亡相关的基因(Caspase-3)的表达水平明显高于 PLCζ 和 IVF 组。我们的数据表明,PLCζ mRNA 对卵母细胞的激活具有改善胚胎质量的作用。

https://cdn.ncbi.nlm.nih.gov/pmc/blobs/bdc6/11310388/0656dd5b7e17/jrd-70-229-g005.jpg
https://cdn.ncbi.nlm.nih.gov/pmc/blobs/bdc6/11310388/86715f18991f/jrd-70-229-g001.jpg
https://cdn.ncbi.nlm.nih.gov/pmc/blobs/bdc6/11310388/8374551f3b98/jrd-70-229-g002.jpg
https://cdn.ncbi.nlm.nih.gov/pmc/blobs/bdc6/11310388/7e938f92884b/jrd-70-229-g003.jpg
https://cdn.ncbi.nlm.nih.gov/pmc/blobs/bdc6/11310388/ce6c2e63d6d1/jrd-70-229-g004.jpg
https://cdn.ncbi.nlm.nih.gov/pmc/blobs/bdc6/11310388/0656dd5b7e17/jrd-70-229-g005.jpg
https://cdn.ncbi.nlm.nih.gov/pmc/blobs/bdc6/11310388/86715f18991f/jrd-70-229-g001.jpg
https://cdn.ncbi.nlm.nih.gov/pmc/blobs/bdc6/11310388/8374551f3b98/jrd-70-229-g002.jpg
https://cdn.ncbi.nlm.nih.gov/pmc/blobs/bdc6/11310388/7e938f92884b/jrd-70-229-g003.jpg
https://cdn.ncbi.nlm.nih.gov/pmc/blobs/bdc6/11310388/ce6c2e63d6d1/jrd-70-229-g004.jpg
https://cdn.ncbi.nlm.nih.gov/pmc/blobs/bdc6/11310388/0656dd5b7e17/jrd-70-229-g005.jpg

相似文献

1
Oocyte activation with phospholipase Cζ mRNA induces repetitive intracellular Ca rises and improves the quality of pig embryos after intracytoplasmic sperm injection.用 PLCζ mRNA 进行卵母细胞激活会引起重复的细胞内 Ca 升高,并改善胞质内精子注射后猪胚胎的质量。
J Reprod Dev. 2024 Aug 7;70(4):229-237. doi: 10.1262/jrd.2023-105. Epub 2024 Jun 9.
2
Rescue of failed oocyte activation after ICSI in a mouse model of male factor infertility by recombinant phospholipase Cζ.在男性因素不孕症小鼠模型中,通过重组磷脂酶Cζ挽救卵胞浆内单精子注射后失败的卵母细胞激活。
Mol Hum Reprod. 2015 Oct;21(10):783-91. doi: 10.1093/molehr/gav042. Epub 2015 Jul 17.
3
Defects in phospholipase C zeta cause polyspermy and low fertilization after conventional IVF: not just ICSI failure.磷脂酶 C zeta 缺陷导致常规体外受精后多精受精和低受精率:不仅仅是 ICSI 失败。
Asian J Androl. 2024 Mar 1;26(2):175-182. doi: 10.4103/aja202355. Epub 2023 Nov 17.
4
Novel phospholipase C zeta 1 mutations associated with fertilization failures after ICSI.新型 PLCZ1 基因突变与 ICSI 后受精失败相关。
Hum Reprod. 2019 Aug 1;34(8):1494-1504. doi: 10.1093/humrep/dez094.
5
The role of Ca in oocyte activation during In Vitro fertilization: Insights into potential therapies for rescuing failed fertilization.钙离子在体外受精过程中卵母细胞激活中的作用:潜在治疗方法以拯救失败受精的见解。
Biochim Biophys Acta Mol Cell Res. 2018 Nov;1865(11 Pt B):1830-1837. doi: 10.1016/j.bbamcr.2018.05.003. Epub 2018 May 8.
6
Functional disparity between human PAWP and PLCζ in the generation of Ca2+ oscillations for oocyte activation.人类肺毛细血管楔压(PAWP)与磷脂酶Cζ(PLCζ)在产生用于卵母细胞激活的Ca2+振荡方面的功能差异。
Mol Hum Reprod. 2015 Sep;21(9):702-10. doi: 10.1093/molehr/gav034. Epub 2015 Jun 26.
7
Increasing associations between defects in phospholipase C zeta and conditions of male infertility: not just ICSI failure?越来越多的证据表明,PLCζ 缺陷与男性不育症之间存在关联:这不仅仅是 ICSI 失败的原因?
J Assist Reprod Genet. 2020 Jun;37(6):1273-1293. doi: 10.1007/s10815-020-01748-z. Epub 2020 Apr 14.
8
Lack of calcium oscillation causes failure of oocyte activation after intracytoplasmic sperm injection in pigs.钙振荡缺失导致猪卵母细胞胞浆内单精子注射后卵母细胞激活失败。
J Reprod Dev. 2016 Dec 20;62(6):615-621. doi: 10.1262/jrd.2016-113. Epub 2016 Sep 30.
9
Human PLCζ exhibits superior fertilization potency over mouse PLCζ in triggering the Ca(2+) oscillations required for mammalian oocyte activation.人 PLCζ 比小鼠 PLCζ 在触发哺乳动物卵母细胞激活所需的 Ca(2+) 振荡方面表现出更高的受精能力。
Mol Hum Reprod. 2014 Jun;20(6):489-98. doi: 10.1093/molehr/gau011. Epub 2014 Jan 29.
10
Successful Production of Offspring Derived from Phospholipase C Zeta-Deficient Sperm by Additional Artificial Activation.通过额外的人工激活成功产生源自磷脂酶Cζ缺陷精子的后代。
Life (Basel). 2023 Apr 10;13(4):980. doi: 10.3390/life13040980.

引用本文的文献

1
Chloroquine inhibits artificial oocyte activation induced by ethanol or Sr but not by sperm in mice.氯喹可抑制乙醇或锶诱导的小鼠人工卵母细胞激活,但不抑制精子诱导的激活。
J Reprod Dev. 2025 Feb 5;71(1):49-54. doi: 10.1262/jrd.2024-089. Epub 2024 Dec 22.

本文引用的文献

1
Embryo aggregation regulates stress conditions to promote developmental competence in pigs.胚胎聚集调节应激条件以提高猪的发育能力。
PeerJ. 2019 Dec 13;7:e8143. doi: 10.7717/peerj.8143. eCollection 2019.
2
Imperatorin improves in vitro porcine embryo development by reducing oxidative stress and autophagy.小白菊内酯通过减少氧化应激和自噬来提高猪胚胎体外发育。
Theriogenology. 2020 Apr 1;146:145-151. doi: 10.1016/j.theriogenology.2019.11.029. Epub 2019 Nov 26.
3
Single Ca transients vs oscillatory Ca signaling for assisted oocyte activation: limitations and benefits.
单个钙离子瞬变与振荡钙离子信号在辅助卵母细胞激活中的作用:局限性与益处。
Reproduction. 2018 Feb;155(2):R105-R119. doi: 10.1530/REP-17-0098. Epub 2017 Nov 9.
4
Calcium Signaling During Meiotic Cell Cycle Regulation and Apoptosis in Mammalian Oocytes.哺乳动物卵母细胞减数分裂细胞周期调控与凋亡过程中的钙信号传导
J Cell Physiol. 2017 May;232(5):976-981. doi: 10.1002/jcp.25670. Epub 2016 Nov 20.
5
Lack of calcium oscillation causes failure of oocyte activation after intracytoplasmic sperm injection in pigs.钙振荡缺失导致猪卵母细胞胞浆内单精子注射后卵母细胞激活失败。
J Reprod Dev. 2016 Dec 20;62(6):615-621. doi: 10.1262/jrd.2016-113. Epub 2016 Sep 30.
6
Effects of cytochalasin B on DNA methylation and histone modification in parthenogenetically activated porcine embryos.细胞松弛素B对孤雌激活猪胚胎DNA甲基化和组蛋白修饰的影响。
Reproduction. 2016 Nov;152(5):519-27. doi: 10.1530/REP-16-0280. Epub 2016 Aug 31.
7
Novel Flow Cytometry Analyses of Boar Sperm Viability: Can the Addition of Whole Sperm-Rich Fraction Seminal Plasma to Frozen-Thawed Boar Sperm Affect It?公猪精子活力的新型流式细胞术分析:向冻融后的公猪精子中添加富含精子的精浆成分会对其产生影响吗?
PLoS One. 2016 Aug 16;11(8):e0160988. doi: 10.1371/journal.pone.0160988. eCollection 2016.
8
ADAM10 Is Involved in Cell Junction Assembly in Early Porcine Embryo Development.ADAM10参与猪早期胚胎发育中的细胞连接组装。
PLoS One. 2016 Apr 4;11(4):e0152921. doi: 10.1371/journal.pone.0152921. eCollection 2016.
9
Egg Activation at Fertilization by a Soluble Sperm Protein.受精时可溶性精子蛋白对卵的激活。
Physiol Rev. 2016 Jan;96(1):127-49. doi: 10.1152/physrev.00012.2015.
10
Influence of Delipation on the Energy Metabolism in Pig Parthenogenetically Activated Embryos.去脂对猪孤雌激活胚胎能量代谢的影响。
Reprod Domest Anim. 2015 Oct;50(5):826-33. doi: 10.1111/rda.12596. Epub 2015 Aug 25.