Berry Paul, Dammhahn Melanie, Hauptfleisch Morgan, Hering Robert, Jansen Jakob, Kraus Anna, Blaum Niels
Plant Ecology and Nature Conservation, Institute of Biochemistry and Biology University of Potsdam Potsdam Germany.
Behavioural Biology, Institute for Neuro- and Behavioural Biology (INVB) University of Münster Münster Germany.
Ecol Evol. 2024 Jun 6;14(6):e11455. doi: 10.1002/ece3.11455. eCollection 2024 Jun.
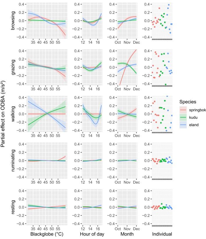
Climate change is predicted to narrow the prescriptive zone of dryland species, potentially leading to behavioural modifications with fitness consequences. This study explores the behavioural responses of three widespread African antelope species-springbok, kudu and eland-to extreme heat in a dryland savanna. We classified the behaviour of 29 individuals during the hot, dry season on the basis of accelerometer data using supervised machine learning and analysed the impact of afternoon heat on behaviour-specific time allocation and overall dynamic body acceleration (ODBA), a proxy for energy expenditure, along with compensatory changes over the 24-hour cycle. Extreme afternoon heat reduced feeding time in all three antelope species, increased ruminating and resting time, while only minimally affecting walking time. With rising heat, all three species reduced ODBA on feeding, while eland reduced and kudu increased ODBA on walking. Diel responses in behaviour differed between species, but were generally characterised by daytime reductions in feeding and increases in ruminating or resting on hot days compared to cool days. While antelope compensated for heat-driven behavioural change over the 24-hour cycle in some cases, significant differences persisted in others, including reduced feeding and increased rumination and resting. The impact of heat on antelope behaviour reveals trade-offs between feeding and thermoregulation, as well as between feeding and rumination, the latter suggesting a strategy to enhance nutrient uptake through increased digestive efficiency, while the walking response suggests narrow constraints between cost and necessity. Our findings suggest that heat influences both behaviour-specific time allocation and energy expenditure. Altered diel behaviour patterns and incomplete compensation over the 24-hour cycle point to fitness consequences. The need to prioritise thermoregulation over feeding is likely to narrow the prescriptive zone of these dryland antelope.
据预测,气候变化将缩小旱地物种的适宜生存区域,这可能会导致其行为发生改变,并对适应性产生影响。本研究探讨了三种分布广泛的非洲羚羊物种——跳羚、捻角羚和大羚羊——在旱地稀树草原对极端高温的行为反应。我们利用监督式机器学习,根据加速度计数据对29只个体在炎热干燥季节的行为进行了分类,并分析了午后高温对特定行为的时间分配以及总体动态身体加速度(ODBA,能量消耗的一个指标)的影响,以及24小时周期内的补偿变化。极端的午后高温减少了所有三种羚羊的进食时间,增加了反刍和休息时间,而对行走时间的影响最小。随着温度升高,所有三种物种在进食时的ODBA都降低了,而大羚羊在行走时的ODBA降低,捻角羚则增加。不同物种在行为上的昼夜反应有所不同,但总体特征是与凉爽日子相比,炎热日子里白天进食减少,反刍或休息增加。虽然羚羊在某些情况下会在24小时周期内补偿由高温驱动的行为变化,但在其他情况下仍存在显著差异,包括进食减少以及反刍和休息增加。高温对羚羊行为的影响揭示了进食与体温调节之间以及进食与反刍之间的权衡,后者表明了一种通过提高消化效率来增强营养吸收的策略,而行走反应则表明成本与必要性之间的限制很窄。我们的研究结果表明,高温会影响特定行为的时间分配和能量消耗。昼夜行为模式的改变以及24小时周期内不完全的补偿表明对适应性有影响。将体温调节置于进食之上的必要性可能会缩小这些旱地羚羊的适宜生存区域。