Suppr超能文献

表面修饰的槲皮素脂囊泡与阳离子脂质体:一种针对铜绿假单胞菌感染的合适药物传递系统。

Surface modified niosomal quercetin with cationic lipid: an appropriate drug delivery system against Pseudomonas aeruginosa Infections.

机构信息

Department of Microbiology, School of Medicine, Hamadan University of Medical Sciences, Hamadan, Iran.

Student Research Committee, Hamadan University of Medical Sciences, Hamadan, Iran.

出版信息

Sci Rep. 2024 Jun 11;14(1):13362. doi: 10.1038/s41598-024-64416-7.

Abstract

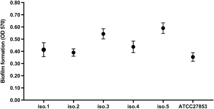
The Increase in infections caused by resistant strains of Pseudomonas aeruginosa poses a formidable challenge to global healthcare systems. P. aeruginosa is capable of causing severe human infections across diverse anatomical sites, presenting considerable therapeutic obstacles due to its heightened drug resistance. Niosomal drug delivery systems offer enhanced pharmaceutical potential for loaded contents due to their desirable properties, mainly providing a controlled-release profile. This study aimed to formulate an optimized niosomal drug delivery system incorporating stearylamine (SA) to augment the anti-bacterial and anti-biofilm activities of quercetin (QCT) against both standard and clinical strains of P. aeruginosa. QCT-loaded niosome (QCT-niosome) and QCT-loaded SA- niosome (QCT-SA- niosome) were synthesized by the thin-film hydration technique, and their physicochemical characteristics were evaluated by field emission scanning electron microscopy (FE-SEM), zeta potential measurement, entrapment efficacy (EE%), and in vitro release profile. The anti-P. aeruginosa activity of synthesized niosomes was assessed using minimum inhibitory and bactericidal concentrations (MICs/MBCs) and compared with free QCT. Additionally, the minimum biofilm inhibitory and eradication concentrations (MBICs/MBECs) were carried out to analyze the ability of QCT-niosome and QCT-SA-niosome against P. aeruginosa biofilms. Furthermore, the cytotoxicity assay was conducted on the L929 mouse fibroblasts cell line to evaluate the biocompatibility of the formulated niosomes. FE-SEM analysis revealed that both synthesized niosomal formulations exhibited spherical morphology with different sizes (57.4 nm for QCT-niosome and 178.9 nm for QCT-SA-niosome). The EE% for cationic and standard niosomal formulations was reported at 75.9% and 59.6%, respectively. Both formulations showed an in vitro sustained-release profile, and QCT-SA-niosome exhibited greater stability during a 4-month storage time compared to QCT-niosome. Microbial experiments indicated that both prepared formulations had higher anti-bacterial and anti-biofilm activities than free QCT. Also, the QCT-SA-niosome exhibited greater reductions in MIC, MBC, MBIC, and MBEC values compared to the QCT-niosome at equivalent concentrations. This study supports the potential of QCT-niosome and QCT-SA-niosome as effective agents against P. aeruginosa infections, manifesting significant anti-bacterial and anti-biofilm efficacy alongside biocompatibility with L929 cell lines. Furthermore, our results suggest that optimized QCT-niosome with cationic lipids could efficiently target P. aeruginosa cells with negligible cytotoxic effect.

摘要

铜绿假单胞菌耐药株引起的感染增加,对全球医疗保健系统构成了严峻挑战。铜绿假单胞菌能够在不同的解剖部位引起严重的人类感染,由于其高度耐药性,治疗存在很大的障碍。由于具有理想的性质,脂质体药物递送系统为负载内容物提供了增强的药物潜力,主要提供了控释特性。本研究旨在构建一种包含硬脂胺(SA)的优化脂质体药物递送系统,以增强槲皮素(QCT)对标准和临床铜绿假单胞菌菌株的抗菌和抗生物膜活性。通过薄膜水化技术合成载有 QCT 的脂质体(QCT-脂质体)和载有 QCT 的 SA-脂质体(QCT-SA-脂质体),并通过场发射扫描电子显微镜(FE-SEM)、Zeta 电位测量、包封效率(EE%)和体外释放曲线评估其理化特性。使用最小抑菌浓度(MIC)和杀菌浓度(MBC)评估合成脂质体对铜绿假单胞菌的抗菌活性,并与游离 QCT 进行比较。此外,进行最低生物膜抑制浓度(MBIC)和最低生物膜杀灭浓度(MBEC)实验,以分析 QCT-脂质体和 QCT-SA-脂质体对铜绿假单胞菌生物膜的作用。此外,通过 L929 小鼠成纤维细胞系进行细胞毒性测定,评估所制备的脂质体的生物相容性。FE-SEM 分析表明,两种合成的脂质体制剂均呈现不同大小的球形形态(QCT-脂质体为 57.4nm,QCT-SA-脂质体为 178.9nm)。阳离子和标准脂质体制剂的 EE%分别为 75.9%和 59.6%。两种制剂均表现出体外持续释放特性,并且 QCT-SA-脂质体在 4 个月的储存时间内比 QCT-脂质体更稳定。微生物实验表明,与游离 QCT 相比,两种制备的制剂均具有更高的抗菌和抗生物膜活性。此外,在等效浓度下,与 QCT-脂质体相比,QCT-SA-脂质体的 MIC、MBC、MBIC 和 MBEC 值降低幅度更大。本研究支持 QCT-脂质体和 QCT-SA-脂质体作为治疗铜绿假单胞菌感染的有效药物的潜力,表现出显著的抗菌和抗生物膜功效,同时与 L929 细胞系具有生物相容性。此外,我们的结果表明,用阳离子脂质体优化的 QCT-脂质体可以有效地靶向铜绿假单胞菌细胞,几乎没有细胞毒性。

https://cdn.ncbi.nlm.nih.gov/pmc/blobs/1233/11167023/2ba54a895d13/41598_2024_64416_Fig1_HTML.jpg

文献AI研究员

20分钟写一篇综述,助力文献阅读效率提升50倍。

立即体验

用中文搜PubMed

大模型驱动的PubMed中文搜索引擎

马上搜索

文档翻译

学术文献翻译模型,支持多种主流文档格式。

立即体验