Suppr超能文献

Caprini风险评估模型、D-二聚体和纤维蛋白原水平对自发性脑出血患者下肢深静脉血栓形成的预测价值

Predictive value of Caprini risk assessment model, D-dimer, and fibrinogen levels on lower extremity deep vein thrombosis in patients with spontaneous intracerebral hemorrhage.

作者信息

Fang Xia, Shen Yi, Wang Mei, Dai Lihong, Shi Linlin, Zhang Feng, Chen Congcong, Yuan Yuan

机构信息

Department of Nursing, Shanghai General Hospital, Shanghai Jiao Tong University School of Medicine, Shanghai, China.

Department of Nursing, Xinqiao Town Community Health Service Center, Songjiang District, Shanghai, China.

出版信息

Front Neurol. 2024 May 30;15:1370029. doi: 10.3389/fneur.2024.1370029. eCollection 2024.

Abstract

INTRODUCTION

Research indicates that individuals experiencing hemorrhagic stroke face a greater likelihood of developing lower extremity deep vein thrombosis (DVT) compared to those with ischemic stroke. This study aimed to assess the predictive capacity of the Caprini risk assessment model (RAM), D-dimer (D-D) levels, and fibrinogen (FIB) levels for lower extremity DVT in patients with spontaneous intracerebral hemorrhage (sICH).

METHODOLOGY

This study involved a retrospective analysis of medical records from all sICH patients admitted to Shanghai General Hospital between June 2020 and June 2023. Within 48 h of admission, patients underwent routine screening via color Doppler ultrasonography (CDUS). Patients were categorized into the DVT and control groups based on the occurrence of lower extremity DVT during hospitalization. Differences in Caprini RAM, D-dimer, and FIB levels between the two groups were compared. The sensitivity and specificity of combined Caprini RAM, peripheral blood D-dimer, and FIB levels in predicting lower extremity DVT in sICH patients were analyzed. Receiver operating characteristic (ROC) curves assessed the overall predictive accuracy of Caprini RAM, D-D, and FIB levels.

RESULTS

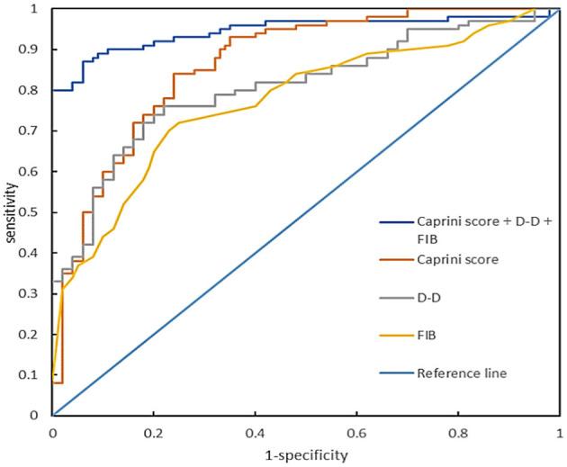
The study involving 842 sICH patients revealed 225 patients with DVT and 617 patients without DVT. Caprini RAM, D-D, and FIB levels were significantly higher in the DVT group compared to the control group ( < 0.05). Sensitivity values for Caprini RAM, D-D, and FIB levels in predicting lower extremity DVT in sICH patients were 0.920, 0.893, and 0.680, respectively, while specificities were 0.840, 0.680, and 0.747, respectively. The ROC curve analysis demonstrated an area under the curve (AUC) of 0.947 for combined DVT prediction, with 97.33% sensitivity and 92.00% specificity, indicating superior predictive value compared to individual applications of Caprini RAM, D-D, and FIB levels.

CONCLUSION

The combined utilization of Caprini RAM, D-D, and FIB levels holds significant clinical relevance in predicting lower extremity DVT in sICH patients.

摘要

引言

研究表明,与缺血性中风患者相比,出血性中风患者发生下肢深静脉血栓形成(DVT)的可能性更大。本研究旨在评估Caprini风险评估模型(RAM)、D-二聚体(D-D)水平和纤维蛋白原(FIB)水平对自发性脑出血(sICH)患者下肢DVT的预测能力。

方法

本研究对2020年6月至2023年6月期间入住上海交通大学医学院附属瑞金医院的所有sICH患者的病历进行回顾性分析。入院后48小时内,患者接受彩色多普勒超声(CDUS)常规筛查。根据住院期间下肢DVT的发生情况,将患者分为DVT组和对照组。比较两组患者Caprini RAM、D-二聚体和FIB水平的差异。分析Caprini RAM、外周血D-二聚体和FIB水平联合预测sICH患者下肢DVT的敏感性和特异性。采用受试者工作特征(ROC)曲线评估Caprini RAM、D-D和FIB水平的总体预测准确性。

结果

该研究纳入842例sICH患者,其中225例发生DVT,617例未发生DVT。与对照组相比,DVT组的Caprini RAM、D-D和FIB水平显著更高(<0.05)。Caprini RAM、D-D和FIB水平预测sICH患者下肢DVT的敏感性分别为0.920、0.893和0.680,特异性分别为0.840、0.680和0.747。ROC曲线分析显示,联合预测DVT的曲线下面积(AUC)为0.947,敏感性为97.33%,特异性为92.00%,表明与单独应用Caprini RAM、D-D和FIB水平相比,具有更高的预测价值。

结论

Caprini RAM、D-D和FIB水平联合应用在预测sICH患者下肢DVT方面具有重要的临床意义。

https://cdn.ncbi.nlm.nih.gov/pmc/blobs/a5d3/11169938/316a7420677c/fneur-15-1370029-g0001.jpg

文献AI研究员

20分钟写一篇综述,助力文献阅读效率提升50倍。

立即体验

用中文搜PubMed

大模型驱动的PubMed中文搜索引擎

马上搜索

文档翻译

学术文献翻译模型,支持多种主流文档格式。

立即体验