• 文献检索
  • 文档翻译
  • 深度研究
  • 学术资讯
  • Suppr Zotero 插件Zotero 插件
  • 邀请有礼
  • 套餐&价格
  • 历史记录
应用&插件
Suppr Zotero 插件Zotero 插件浏览器插件Mac 客户端Windows 客户端微信小程序
定价
高级版会员购买积分包购买API积分包
服务
文献检索文档翻译深度研究API 文档MCP 服务
关于我们
关于 Suppr公司介绍联系我们用户协议隐私条款
关注我们

Suppr 超能文献

核心技术专利:CN118964589B侵权必究
粤ICP备2023148730 号-1Suppr @ 2026

文献检索

告别复杂PubMed语法,用中文像聊天一样搜索,搜遍4000万医学文献。AI智能推荐,让科研检索更轻松。

立即免费搜索

文件翻译

保留排版,准确专业,支持PDF/Word/PPT等文件格式,支持 12+语言互译。

免费翻译文档

深度研究

AI帮你快速写综述,25分钟生成高质量综述,智能提取关键信息,辅助科研写作。

立即免费体验

系统免疫炎症指数与肺功能、COPD 风险和 COPD 严重程度的相关性:一项基于人群的研究。

The association of systemic immune-inflammation index with lung function, risk of COPD and COPD severity: A population-based study.

机构信息

Department of Thoracic Surgery, Shanxi Provincial People's Hospital, Taiyuan, Shanxi Province, China.

Fifth Clinical Medical College, Shanxi Medical University, Taiyuan, Shanxi Province, People's Republic of China.

出版信息

PLoS One. 2024 Jun 14;19(6):e0303286. doi: 10.1371/journal.pone.0303286. eCollection 2024.

DOI:10.1371/journal.pone.0303286
PMID:38875233
原文链接:https://pmc.ncbi.nlm.nih.gov/articles/PMC11178193/
Abstract

PURPOSE

The relationship between the levels of Systemic Immune-inflammation Index (SII) and chronic obstructive pulmonary disease (COPD), lung function, and COPD severity were not fully understood. We conducted this cross-sectional, population-based study to investigate the complex association between SII and COPD, lung function, and COPD severity among the US adults.

METHODS

Overall, 18,349 participants were included in the National Health and Nutrition Examination Survey (NHANES) between 2005 and 2018. The exposure variable was SII, calculated from platelet counts, neutrophil counts, and lymphocyte counts. Weighted univariable and multivariable logistic regression, subgroup analysis, and restricted cubic spline (RCS) regression were performed to assess the relationship between COPD, lung function, COPD severity and SII. Last, we used a propensity score matching (PSM) analysis to reduce selective bias and validate these relationships.

RESULTS

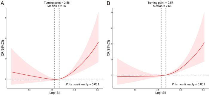
Approximately 1,094 (5.96%) of the participants were diagnosed as COPD. The multivariable-adjusted odds ratio (OR) (95% confidence interval, CI) for the Q2 group (Log-SII > 2.740) was 1.39 (1.16 to 1.68). Before and after matching, multivariable logistic regression models revealed that increased Log-SII levels (SII Logarithmic transformation) associated positively with the risk of COPD. The subgroup analysis showed no interaction between Log-SII and a variety of variables (P for interaction > 0.05). RCS showed a reversed L-shaped relationship between Log-SII with COPD (P for nonlinear = 0.001) in individuals. In addition, we observed negative significant correlations between forced expiratory volume in one second (FEV1) / forced vital capacity (FVC) %, FEV1/FVC% predicted and SII, and reversed U-shaped curve relationships between FEV1, FEV1% predicted and SII. High SII level is associated with severity of COPD, especially at Global Initiative on Obstructive Lung Disease (GOLD) 1 and GOLD 3.

CONCLUSIONS

In summary, the Log-SII level is associated with COPD risk, lung function, and COPD severity.

摘要

目的

系统免疫炎症指数(SII)水平与慢性阻塞性肺疾病(COPD)、肺功能和 COPD 严重程度之间的关系尚未完全阐明。我们进行了这项横断面、基于人群的研究,旨在调查美国成年人中 SII 与 COPD、肺功能和 COPD 严重程度之间复杂的关联。

方法

共有 18349 名参与者纳入了 2005 年至 2018 年期间的国家健康和营养调查(NHANES)。暴露变量是 SII,由血小板计数、中性粒细胞计数和淋巴细胞计数计算得出。采用加权单变量和多变量逻辑回归、亚组分析和限制性立方样条(RCS)回归来评估 COPD、肺功能、COPD 严重程度与 SII 之间的关系。最后,我们使用倾向评分匹配(PSM)分析来减少选择性偏差并验证这些关系。

结果

大约 1094 名(5.96%)参与者被诊断为 COPD。Q2 组(Log-SII > 2.740)的多变量调整比值比(OR)(95%置信区间,CI)为 1.39(1.16 至 1.68)。在匹配前后,多变量逻辑回归模型显示,Log-SII 水平升高(SII 对数转换)与 COPD 风险呈正相关。亚组分析显示,Log-SII 与多种变量之间无交互作用(P 交互>0.05)。RCS 显示 Log-SII 与 COPD 之间呈反向 L 形关系(P 非线性=0.001)。此外,我们观察到用力呼气量一秒(FEV1)/用力肺活量(FVC)%、FEV1/FVC%预计值与 SII 之间呈负相关,FEV1、FEV1%预计值与 SII 之间呈反向 U 形曲线关系。高 SII 水平与 COPD 严重程度相关,尤其是在全球倡议慢性阻塞性肺疾病(GOLD)1 级和 GOLD 3 级。

结论

综上所述,Log-SII 水平与 COPD 风险、肺功能和 COPD 严重程度相关。

https://cdn.ncbi.nlm.nih.gov/pmc/blobs/cc78/11178193/d2a037f81bcf/pone.0303286.g004.jpg
https://cdn.ncbi.nlm.nih.gov/pmc/blobs/cc78/11178193/baac8ce850a8/pone.0303286.g001.jpg
https://cdn.ncbi.nlm.nih.gov/pmc/blobs/cc78/11178193/6648d62871b6/pone.0303286.g002.jpg
https://cdn.ncbi.nlm.nih.gov/pmc/blobs/cc78/11178193/8c13644a8a42/pone.0303286.g003.jpg
https://cdn.ncbi.nlm.nih.gov/pmc/blobs/cc78/11178193/d2a037f81bcf/pone.0303286.g004.jpg
https://cdn.ncbi.nlm.nih.gov/pmc/blobs/cc78/11178193/baac8ce850a8/pone.0303286.g001.jpg
https://cdn.ncbi.nlm.nih.gov/pmc/blobs/cc78/11178193/6648d62871b6/pone.0303286.g002.jpg
https://cdn.ncbi.nlm.nih.gov/pmc/blobs/cc78/11178193/8c13644a8a42/pone.0303286.g003.jpg
https://cdn.ncbi.nlm.nih.gov/pmc/blobs/cc78/11178193/d2a037f81bcf/pone.0303286.g004.jpg

相似文献

1
The association of systemic immune-inflammation index with lung function, risk of COPD and COPD severity: A population-based study.系统免疫炎症指数与肺功能、COPD 风险和 COPD 严重程度的相关性:一项基于人群的研究。
PLoS One. 2024 Jun 14;19(6):e0303286. doi: 10.1371/journal.pone.0303286. eCollection 2024.
2
Inverted U-Shaped relationship Between Systemic Immune-Inflammation Index and Pulmonary Function: A Large Population-Based Study in US Adults.全身免疫炎症指数与肺功能之间的倒 U 型关系:美国成年人的一项大型基于人群的研究。
Int J Chron Obstruct Pulmon Dis. 2024 Sep 2;19:1971-1987. doi: 10.2147/COPD.S471068. eCollection 2024.
3
The association between systemic immune-inflammation index and chronic obstructive pulmonary disease in adults aged 40 years and above in the United States: a cross-sectional study based on the NHANES 2013-2020.美国40岁及以上成年人全身免疫炎症指数与慢性阻塞性肺疾病的关联:基于2013 - 2020年美国国家健康与营养检查调查的横断面研究
Front Med (Lausanne). 2023 Nov 24;10:1270368. doi: 10.3389/fmed.2023.1270368. eCollection 2023.
4
Association between systemic immune-inflammation index and chronic obstructive pulmonary disease: a population-based study.系统免疫炎症指数与慢性阻塞性肺疾病的相关性:一项基于人群的研究。
BMC Pulm Med. 2023 Aug 10;23(1):295. doi: 10.1186/s12890-023-02583-5.
5
Association of Neutrophil to Lymphocyte Ratio With Pulmonary Function in a 30-Year Longitudinal Study of US Veterans.中性粒细胞与淋巴细胞比值与美国退伍军人 30 年纵向研究中肺功能的关系。
JAMA Netw Open. 2020 Jul 1;3(7):e2010350. doi: 10.1001/jamanetworkopen.2020.10350.
6
[Association Between the Aggregate Index of Systemic Inflammation and Albuminuria: A Cross-Sectional Study of National Health and Nutrition Examination Survey 2007-2018].[全身炎症综合指数与蛋白尿之间的关联:2007 - 2018年美国国家健康与营养检查调查的横断面研究]
Sichuan Da Xue Xue Bao Yi Xue Ban. 2024 May 20;55(3):671-679. doi: 10.12182/20240560108.
7
Systemic inflammation mediates environmental polycyclic aromatic hydrocarbons to increase chronic obstructive pulmonary disease risk in United States adults: a cross-sectional NHANES study.系统性炎症介导环境多环芳烃增加美国成年人慢性阻塞性肺疾病风险:横断面 NHANES 研究。
Front Public Health. 2023 Nov 21;11:1248812. doi: 10.3389/fpubh.2023.1248812. eCollection 2023.
8
Association between systemic immune-inflammation index and metabolic syndrome and its components: results from the National Health and Nutrition Examination Survey 2011-2016.系统免疫炎症指数与代谢综合征及其组分的关系:来自 2011-2016 年全国健康与营养调查的结果。
J Transl Med. 2023 Oct 4;21(1):691. doi: 10.1186/s12967-023-04491-y.
9
Comparison of clinical features between non-smokers with COPD and smokers with COPD: a retrospective observational study.非吸烟慢性阻塞性肺疾病患者与吸烟慢性阻塞性肺疾病患者的临床特征比较:一项回顾性观察研究。
Int J Chron Obstruct Pulmon Dis. 2014;9:57-63. doi: 10.2147/COPD.S52416. Epub 2014 Jan 8.
10
Inflammatory markers are associated with infertility prevalence: a cross-sectional analysis of the NHANES 2013-2020.炎症标志物与不孕流行率相关:NHANES 2013-2020 的横断面分析。
BMC Public Health. 2024 Jan 18;24(1):221. doi: 10.1186/s12889-024-17699-4.

引用本文的文献

1
Inflammatory Markers Mediate the Association Between Cardiovascular Health and Chronic Inflammatory Airway Diseases: A Cross-Sectional Study on the Population Aged 50 Years and Above From NHANES 2013-2018.炎症标志物介导心血管健康与慢性炎症性气道疾病之间的关联:一项针对2013 - 2018年美国国家健康与营养检查调查(NHANES)中50岁及以上人群的横断面研究。
Mediators Inflamm. 2025 Jun 16;2025:2128440. doi: 10.1155/mi/2128440. eCollection 2025.
2
Association between systemic immune-inflammation index and mortality in critically ill patients with chronic obstructive pulmonary disease: insights from the MIMIC-IV database.慢性阻塞性肺疾病重症患者全身免疫炎症指数与死亡率的关联:来自MIMIC-IV数据库的见解
Front Med (Lausanne). 2025 May 16;12:1536652. doi: 10.3389/fmed.2025.1536652. eCollection 2025.
3

本文引用的文献

1
Expression of Siglec-9 in peripheral blood neutrophils was increased and associated with disease severity in patients with AECOPD.外周血中性粒细胞中 Siglec-9 的表达增加,并与 AECOPD 患者的疾病严重程度相关。
Cytokine. 2024 May;177:156558. doi: 10.1016/j.cyto.2024.156558. Epub 2024 Feb 27.
2
GOLD COPD report: 2024 update.慢性阻塞性肺疾病全球倡议(GOLD)报告:2024年更新版
Lancet Respir Med. 2024 Jan;12(1):15-16. doi: 10.1016/S2213-2600(23)00461-7. Epub 2023 Dec 4.
3
Optimizing inhaled corticosteroid use in patients with chronic obstructive pulmonary disease: assessing blood eosinophils, neutrophil-to-lymphocyte ratio, and mortality outcomes in US adults.
Association between systemic immune-inflammation index and chronic bronchitis: NHANES 2001-2018.全身免疫炎症指数与慢性支气管炎之间的关联:美国国家健康与营养检查调查(NHANES)2001 - 2018年数据
Sci Rep. 2025 Apr 23;15(1):14113. doi: 10.1038/s41598-025-97895-3.
4
Correlation of neutrophil percentage-to-albumin ratio with lung function in American adults: a population study.美国成年人中性粒细胞百分比与白蛋白比值与肺功能的相关性:一项人群研究。
BMC Pulm Med. 2025 Feb 21;25(1):86. doi: 10.1186/s12890-025-03537-9.
5
Inflammatory markers as predictors of in-hospital mortality in acute exacerbation of chronic obstructive pulmonary disease (AECOPD) patients with acute respiratory failure: insights from the MIMIC-IV database.炎症标志物作为慢性阻塞性肺疾病急性加重(AECOPD)合并急性呼吸衰竭患者院内死亡的预测指标:来自MIMIC-IV数据库的见解
J Thorac Dis. 2024 Dec 31;16(12):8250-8261. doi: 10.21037/jtd-24-1287. Epub 2024 Dec 16.
优化慢性阻塞性肺疾病患者吸入性皮质类固醇的使用:评估美国成年人血液嗜酸性粒细胞、中性粒细胞与淋巴细胞比值和死亡率结局。
Front Immunol. 2023 Nov 15;14:1230766. doi: 10.3389/fimmu.2023.1230766. eCollection 2023.
4
Value of the neutrophil-to-lymphocyte ratio in chronic obstructive pulmonary disease complicated with pulmonary hypertension.中性粒细胞与淋巴细胞比值在慢性阻塞性肺疾病合并肺动脉高压中的价值。
J Int Med Res. 2023 Sep;51(9):3000605231200266. doi: 10.1177/03000605231200266.
5
NLR in CBC: A holy grail for biomarker research in COPD?全血细胞计数中的中性粒细胞与淋巴细胞比值:慢性阻塞性肺疾病生物标志物研究的圣杯?
Respirology. 2023 Dec;28(12):1095-1097. doi: 10.1111/resp.14597. Epub 2023 Sep 11.
6
Analysis of Correlation Between Serum Hypoxia-Inducible Factor-1α, Uric Acid, and Inflammatory Factor Levels and Lung Function in Patients with AECOPD.分析 AECOPD 患者血清低氧诱导因子-1α、尿酸和炎症因子水平与肺功能的相关性。
Altern Ther Health Med. 2023 Nov;29(8):214-220.
7
Association between systemic immune-inflammation index and chronic obstructive pulmonary disease: a population-based study.系统免疫炎症指数与慢性阻塞性肺疾病的相关性:一项基于人群的研究。
BMC Pulm Med. 2023 Aug 10;23(1):295. doi: 10.1186/s12890-023-02583-5.
8
Protocol for a systematic review of the associations between inflammatory markers and lung function, muscle force and exercise capacity in people with COPD.中文译文:COPD 患者炎症标志物与肺功能、肌肉力量和运动能力相关性的系统评价方案。
BMJ Open. 2023 Jul 18;13(7):e068776. doi: 10.1136/bmjopen-2022-068776.
9
Prognostic value of the pretreatment systemic immune-inflammation index in patients with prostate cancer: a systematic review and meta-analysis.术前全身免疫炎症指数对前列腺癌患者预后的价值:系统评价和荟萃分析。
J Transl Med. 2023 Feb 4;21(1):79. doi: 10.1186/s12967-023-03924-y.
10
Systemic immune-inflammation index predicts prognosis of cancer immunotherapy: systemic review and meta-analysis.全身免疫炎症指数预测癌症免疫治疗的预后:系统评价与荟萃分析
Immunotherapy. 2022 Dec;14(18):1481-1496. doi: 10.2217/imt-2022-0133. Epub 2022 Dec 20.