Suppr超能文献

深静脉血栓形成与甲状腺疾病的关联:两样本双向孟德尔随机化研究。

Associations between deep venous thrombosis and thyroid diseases: a two-sample bidirectional Mendelian randomization study.

机构信息

Department of Vascular Surgery, Hospital of Chengdu University of Traditional Chinese Medicine, No. 39, Shierqiao Road, Jinniu District, Chengdu, 610072, Sichuan, People's Republic of China.

Disinfection Supply Center, Hospital of Chengdu University of Traditional Chinese Medicine, No. 39, Shierqiao Road, Jin Niu District, Chengdu, 610072, Sichuan, People's Republic of China.

出版信息

Eur J Med Res. 2024 Jun 14;29(1):327. doi: 10.1186/s40001-024-01933-1.

Abstract

BACKGROUND

Some previous observational studies have linked deep venous thrombosis (DVT) to thyroid diseases; however, the findings were contradictory. This study aimed to investigate whether some common thyroid diseases can cause DVT using a two-sample Mendelian randomization (MR) approach.

METHODS

This two-sample MR study used single nucleotide polymorphisms (SNPs) identified by the FinnGen genome-wide association studies (GWAS) to be highly associated with some common thyroid diseases, including autoimmune hyperthyroidism (962 cases and 172,976 controls), subacute thyroiditis (418 cases and 187,684 controls), hypothyroidism (26,342 cases and 59,827 controls), and malignant neoplasm of the thyroid gland (989 cases and 217,803 controls. These SNPs were used as instruments. Outcome datasets for the GWAS on DVT (6,767 cases and 330,392 controls) were selected from the UK Biobank data, which was obtained from the Integrative Epidemiology Unit (IEU) open GWAS project. The inverse variance weighted (IVW), MR-Egger and weighted median methods were used to estimate the causal association between DVT and thyroid diseases. The Cochran's Q test was used to quantify the heterogeneity of the instrumental variables (IVs). MR Pleiotropy RESidual Sum and Outlier test (MR-PRESSO) was used to detect horizontal pleiotropy. When the causal relationship was significant, bidirectional MR analysis was performed to determine any reverse causal relationships between exposures and outcomes.

RESULTS

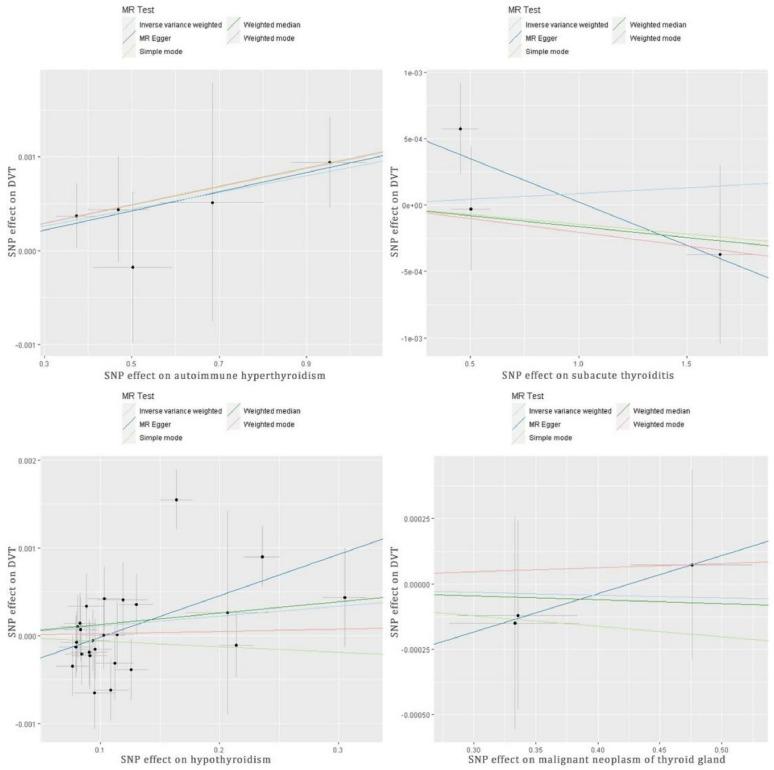
This MR study illustrated that autoimmune hyperthyroidism slightly increased the risk of DVT according to the IVW [odds ratio (OR) = 1.0009; p = 0.024] and weighted median methods [OR = 1.001; p = 0.028]. According to Cochran's Q test, there was no evidence of heterogeneity in IVs. Additionally, MR-PRESSO did not detect horizontal pleiotropy (p = 0.972). However, no association was observed between other thyroid diseases and DVT using the IVW, weighted median, and MR-Egger regression methods.

CONCLUSIONS

This study revealed that autoimmune hyperthyroidism may cause DVT; however, more evidence and larger sample sizes are required to draw more precise conclusions.

摘要

背景

一些先前的观察性研究将深静脉血栓形成(DVT)与甲状腺疾病联系起来,但研究结果存在矛盾。本研究旨在使用两样本孟德尔随机化(MR)方法来探讨一些常见的甲状腺疾病是否会导致 DVT。

方法

本两样本 MR 研究使用芬兰基因组关联研究(GWAS)中确定的单核苷酸多态性(SNP)来识别与某些常见的甲状腺疾病高度相关的 SNP,包括自身免疫性甲状腺功能亢进症(962 例和 172976 例对照)、亚急性甲状腺炎(418 例和 187684 例对照)、甲状腺功能减退症(26342 例和 59827 例对照)和甲状腺恶性肿瘤(989 例和 217803 例对照)。这些 SNP 被用作工具。DVT 的 GWAS 结果数据集(6767 例和 330392 例对照)从英国生物库数据中选择,这些数据来自于整合流行病学单位(IEU)的开放 GWAS 项目。使用逆方差加权(IVW)、MR-Egger 和加权中位数方法来估计 DVT 和甲状腺疾病之间的因果关系。使用 Cochran's Q 检验来量化工具变量(IVs)的异质性。MR 偏倚 RESidual Sum and Outlier test(MR-PRESSO)用于检测水平偏倚。当因果关系显著时,进行双向 MR 分析以确定暴露和结果之间是否存在反向因果关系。

结果

本 MR 研究表明,根据 IVW,自身免疫性甲状腺功能亢进症略微增加了 DVT 的风险[比值比(OR)=1.0009;p=0.024]和加权中位数方法[OR=1.001;p=0.028]。根据 Cochran's Q 检验,IVs 中没有证据表明存在异质性。此外,MR-PRESSO 没有检测到水平偏倚(p=0.972)。然而,使用 IVW、加权中位数和 MR-Egger 回归方法,其他甲状腺疾病与 DVT 之间没有关联。

结论

本研究表明,自身免疫性甲状腺功能亢进症可能导致 DVT;然而,需要更多的证据和更大的样本量来得出更精确的结论。

https://cdn.ncbi.nlm.nih.gov/pmc/blobs/3ea3/11177513/f7f1639d4147/40001_2024_1933_Fig1_HTML.jpg

文献AI研究员

20分钟写一篇综述,助力文献阅读效率提升50倍。

立即体验

用中文搜PubMed

大模型驱动的PubMed中文搜索引擎

马上搜索

文档翻译

学术文献翻译模型,支持多种主流文档格式。

立即体验