Suppr超能文献

经椎间孔腰椎椎体间融合术(TLIF)融合器材料对融合率的比较:一项系统评价和网状Meta分析

A comparison of transforaminal lumbar interbody fusion (TLIF) cage material on fusion rates: A systematic review and network meta-analysis.

作者信息

Pairojboriboon Sutipat, Niruthisard Supranee, Chandhanayingyong Chandhanarat, Monsereenusorn Chalinee, Poopan Siwaporn, Lo Sheng-Fu Larry

机构信息

Department of Orthopaedic Surgery, Phramongkutklao Hospital and Phramongkutklao College of Medicine, Bangkok, Thailand.

Department of Anesthesiology, King Chulalongkorn Memorial Hospital, Bangkok, Thailand.

出版信息

World Neurosurg X. 2024 May 25;23:100392. doi: 10.1016/j.wnsx.2024.100392. eCollection 2024 Jul.

Abstract

BACKGROUND

A wide variety of materials are used for lumbar interbody fusion, but there is no unified consensus on the superiority of one material over another. The aim of this systematic review and network meta-analysis (NMA) is to compare and rank the various TLIF interbody materials based on fusion rates.

METHODS

We queried PubMed, EMBASE and Scopus from inception until August 2023, in which 2135 studies were identified. Inclusion criteria were applied based on the PRISMA guidelines. The fusion assessment employed the Bridwell's criteria with a length of follow-up of at least 12 months. The NMA was conducted to compare multiple approaches from multiple studies using the frequentist framework with STATA16.

RESULTS

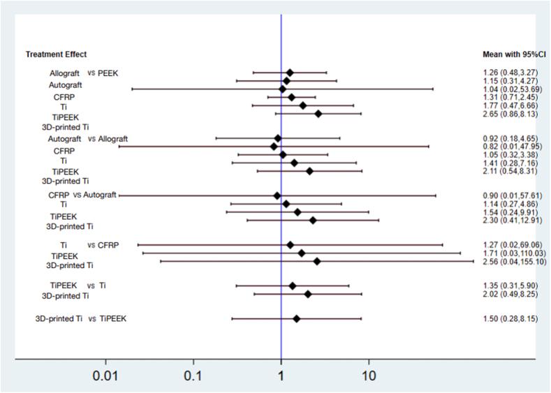
In total, 13 TLIF studies involving 1919 patients with 1981 lumbar interbody levels fulfilled our eligibility criteria. Seven different cage materials were utilized: polyetheretherketone (PEEK, as the reference), allograft, autograft, PEEK with titanium coating (TiPEEK), titanium, carbon/carbon fiber reinforced polymer (CFRP) and 3D-printed titanium. The average patient age was 60.9 ( = 7.5) years old. When compared to PEEK, the other six materials did not have a significantly different rate of lumbar fusion. However, the SUCRA number of the 3D-printed titanium, TiPEEK, Ti, allograft, autograft, CFRP, and PEEK were 0.8, 0.6, 0.5, 0.5, 0.4, 0.4, and 0.3 consecutively.

CONCLUSIONS

Based on a network meta-analysis within the confines of our clinical study, 3D-printed titanium interbody cage may promote the highest success rate of fusion while PEEK may be the material with the least success rate of fusion in TLIF.

摘要

背景

多种材料用于腰椎椎间融合术,但对于一种材料优于另一种材料尚无统一共识。本系统评价和网状Meta分析(NMA)的目的是基于融合率对各种经椎间孔腰椎椎间融合术(TLIF)椎间材料进行比较和排序。

方法

我们检索了从创刊至2023年8月的PubMed、EMBASE和Scopus数据库,共识别出2135项研究。根据PRISMA指南应用纳入标准。融合评估采用Bridwell标准,随访时间至少为12个月。使用频率学派框架和STATA16进行NMA,以比较多项研究中的多种方法。

结果

共有13项TLIF研究,涉及1919例患者、1981个腰椎椎间节段,符合我们的纳入标准。使用了七种不同的椎间融合器材料:聚醚醚酮(PEEK,作为对照)、同种异体骨、自体骨、钛涂层PEEK(TiPEEK)、钛、碳/碳纤维增强聚合物(CFRP)和3D打印钛。患者平均年龄为60.9(标准差=7.5)岁。与PEEK相比,其他六种材料的腰椎融合率无显著差异。然而,3D打印钛、TiPEEK、钛、同种异体骨、自体骨、CFRP和PEEK的累积排序曲线下面积(SUCRA)值依次为0.8、0.6、0.5、0.5、0.4、0.4和0.3。

结论

基于我们临床研究范围内的网状Meta分析,3D打印钛椎间融合器可能促进最高的融合成功率,而PEEK可能是TLIF中融合成功率最低的材料。

https://cdn.ncbi.nlm.nih.gov/pmc/blobs/2c42/11176927/53048aef583f/gr1.jpg

文献AI研究员

20分钟写一篇综述,助力文献阅读效率提升50倍。

立即体验

用中文搜PubMed

大模型驱动的PubMed中文搜索引擎

马上搜索

文档翻译

学术文献翻译模型,支持多种主流文档格式。

立即体验