• 文献检索
  • 文档翻译
  • 深度研究
  • 学术资讯
  • Suppr Zotero 插件Zotero 插件
  • 邀请有礼
  • 套餐&价格
  • 历史记录
应用&插件
Suppr Zotero 插件Zotero 插件浏览器插件Mac 客户端Windows 客户端微信小程序
定价
高级版会员购买积分包购买API积分包
服务
文献检索文档翻译深度研究API 文档MCP 服务
关于我们
关于 Suppr公司介绍联系我们用户协议隐私条款
关注我们

Suppr 超能文献

核心技术专利:CN118964589B侵权必究
粤ICP备2023148730 号-1Suppr @ 2026

文献检索

告别复杂PubMed语法,用中文像聊天一样搜索,搜遍4000万医学文献。AI智能推荐,让科研检索更轻松。

立即免费搜索

文件翻译

保留排版,准确专业,支持PDF/Word/PPT等文件格式,支持 12+语言互译。

免费翻译文档

深度研究

AI帮你快速写综述,25分钟生成高质量综述,智能提取关键信息,辅助科研写作。

立即免费体验

急性至慢性血糖比值作为伴有和不伴有糖尿病的缺血性脑卒中患者的结局预测指标。

Acute-to-chronic glycemic ratio as an outcome predictor in ischemic stroke in patients with and without diabetes mellitus.

机构信息

Endocrinology and Nutrition Department, Hospital del Mar, Barcelona, Spain.

IMIM (Hospital del Mar Medical Research Institute), Barcelona, Spain.

出版信息

Cardiovasc Diabetol. 2024 Jun 18;23(1):206. doi: 10.1186/s12933-024-02260-9.

DOI:10.1186/s12933-024-02260-9
PMID:38890732
原文链接:https://pmc.ncbi.nlm.nih.gov/articles/PMC11186093/
Abstract

OBJECTIVE

Elevated plasma glucose levels are common in patients suffering acute ischemic stroke (AIS), and acute hyperglycemia has been defined as an independent determinant of adverse outcomes. The impact of acute-to-chronic glycemic ratio (ACR) has been analyzed in other diseases, but its impact on AIS prognosis remains unclear. The main aim of this study was to assess whether the ACR was associated with a 3-month poor prognosis in patients with AIS.

RESEARCH, DESIGN AND METHODS: Retrospective analysis of patients admitted for AIS in Hospital del Mar, Barcelona. To estimate the chronic glucose levels (CGL) we used the formula eCGL= [28.7xHbA1c (%)]-46.7. The ACR (glycemic at admission / eCGL) was calculated for all subjects. Tertile 1 was defined as: 0.28-0.92, tertile 2: 0.92-1.13 and tertile 3: > 1.13. Poor prognosis at 3 months after stroke was defined as mRS score 3-6.

RESULTS

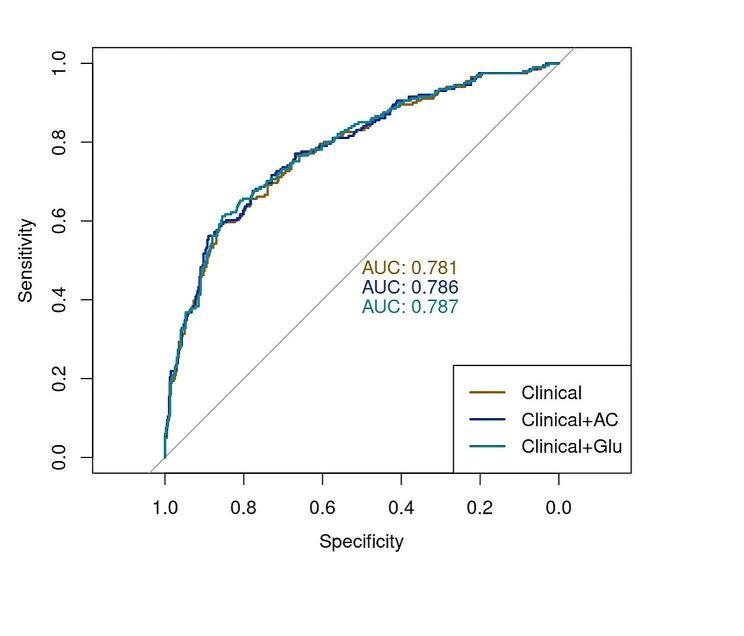
2.774 subjects with AIS diagnosis were included. Age, presence of diabetes, previous disability (mRS), initial severity (NIHSS) and revascularization therapy were associated with poor prognosis (p values < 0.05). For each 0.1 increase in ACR, there was a 7% increase in the risk of presenting a poor outcome. The 3rd ACR tertile was independently associated with a poor prognosis and mortality. In the ROC curves, adding the ACR variable to the classical clinical model did not increase the prediction of AIS prognosis (0.786 vs. 0.781).

CONCLUSIONS

ACR was positively associated with a poor prognosis and mortality at 3-months follow-up after AIS. Subjects included in the 3rd ACR tertile presented a higher risk of poor prognosis and mortality. Baseline glucose or ACR did not add predictive value in comparison to only using classical clinical variables.

摘要

目的

急性缺血性脑卒中(AIS)患者常伴有血浆葡萄糖水平升高,急性高血糖已被定义为不良预后的独立决定因素。急性与慢性血糖比值(ACR)在其他疾病中的影响已被分析,但它对 AIS 预后的影响尚不清楚。本研究的主要目的是评估 ACR 是否与 AIS 患者 3 个月预后不良相关。

研究设计和方法

回顾性分析巴塞罗那 Hospital del Mar 医院收治的 AIS 患者。为了估计慢性血糖水平(CGL),我们使用公式 eCGL= [28.7xHbA1c(%)]-46.7。对所有患者计算 ACR(入院时血糖值/ eCGL)。第 1 三分位数定义为:0.28-0.92,第 2 三分位数为:0.92-1.13,第 3 三分位数为:>1.13。3 个月后卒中预后不良定义为 mRS 评分 3-6。

结果

共纳入 2774 例 AIS 患者。年龄、糖尿病、既往残疾(mRS)、初始严重程度(NIHSS)和血管再通治疗与不良预后相关(p 值均<0.05)。ACR 每增加 0.1,不良结局的风险增加 7%。第 3 个 ACR 三分位数与不良预后和死亡率独立相关。在 ROC 曲线中,将 ACR 变量加入经典临床模型后并不能提高对 AIS 预后的预测(0.786 与 0.781)。

结论

ACR 与 AIS 后 3 个月的不良预后和死亡率呈正相关。ACR 第 3 三分位数的患者预后不良和死亡率的风险更高。与仅使用经典临床变量相比,基线血糖或 ACR 并未增加预测价值。

https://cdn.ncbi.nlm.nih.gov/pmc/blobs/eb6b/11186093/4854f520f285/12933_2024_2260_Fig1_HTML.jpg
https://cdn.ncbi.nlm.nih.gov/pmc/blobs/eb6b/11186093/4854f520f285/12933_2024_2260_Fig1_HTML.jpg
https://cdn.ncbi.nlm.nih.gov/pmc/blobs/eb6b/11186093/4854f520f285/12933_2024_2260_Fig1_HTML.jpg

相似文献

1
Acute-to-chronic glycemic ratio as an outcome predictor in ischemic stroke in patients with and without diabetes mellitus.急性至慢性血糖比值作为伴有和不伴有糖尿病的缺血性脑卒中患者的结局预测指标。
Cardiovasc Diabetol. 2024 Jun 18;23(1):206. doi: 10.1186/s12933-024-02260-9.
2
The prognostic value of the stress hyperglycemia ratio for all-cause mortality in stroke patients with diabetes or prediabetes.应激性高血糖比值对糖尿病或糖尿病前期卒中患者全因死亡率的预后价值。
J Diabetes Complications. 2025 Apr;39(4):108979. doi: 10.1016/j.jdiacomp.2025.108979. Epub 2025 Mar 5.
3
Usefulness of glycated hemoglobin A1c-based adjusted glycemic variables in diabetic patients presenting with acute ischemic stroke.基于糖化血红蛋白A1c的调整血糖变量在急性缺血性脑卒中糖尿病患者中的应用价值
Am J Emerg Med. 2017 Sep;35(9):1240-1246. doi: 10.1016/j.ajem.2017.03.049. Epub 2017 Mar 22.
4
Fasting Hyperglycemia and Long-term Outcome in Patients with Acute Ischemic Stroke Treated with Mechanical Thrombectomy.急性缺血性卒中机械取栓治疗患者的空腹血糖升高与长期预后
J Stroke Cerebrovasc Dis. 2020 May;29(5):104774. doi: 10.1016/j.jstrokecerebrovasdis.2020.104774. Epub 2020 Mar 19.
5
Association of Acute and Chronic Hyperglycemia With Acute Ischemic Stroke Outcomes Post-Thrombolysis: Findings From Get With The Guidelines-Stroke.急性和慢性高血糖与溶栓后急性缺血性卒中结局的关联:来自“遵循指南-卒中”项目的研究结果
J Am Heart Assoc. 2015 Sep 25;4(10):e002193. doi: 10.1161/JAHA.115.002193.
6
Pre-Stroke Glycemic Variability Estimated by Glycated Albumin Is Associated with Early Neurological Deterioration and Poor Functional Outcome in Prediabetic Patients with Acute Ischemic Stroke.糖化白蛋白估算的卒中前血糖变异性与糖尿病前期急性缺血性脑卒中患者的早期神经功能恶化和不良功能结局相关。
Cerebrovasc Dis. 2021;50(1):26-33. doi: 10.1159/000511938. Epub 2020 Dec 1.
7
Prognostic Significance of Relative Hyperglycemia after Percutaneous Coronary Intervention in Patients with and without Recognized Diabetes.经皮冠状动脉介入治疗后有或无明确糖尿病患者的相对高血糖的预后意义。
Curr Vasc Pharmacol. 2021;19(1):91-101. doi: 10.2174/1570161118666200317145540.
8
Association between stress hyperglycemia ratio and functional outcomes in patients with acute ischemic stroke.应激性高血糖比值与急性缺血性脑卒中患者功能结局的关系。
BMC Neurol. 2024 Aug 16;24(1):288. doi: 10.1186/s12883-024-03795-w.
9
Glycated hemoglobin A1c-based adjusted glycemic variables in patients with diabetes presenting with acute exacerbation of chronic obstructive pulmonary disease.糖尿病合并慢性阻塞性肺疾病急性加重患者基于糖化血红蛋白A1c的调整后血糖变量
Int J Chron Obstruct Pulmon Dis. 2017 Jul 3;12:1923-1932. doi: 10.2147/COPD.S131232. eCollection 2017.
10
Predictive value of stress hyperglycemia ratio for the occurrence of acute kidney injury in acute myocardial infarction patients with diabetes.应激性高血糖比值对伴糖尿病急性心肌梗死患者发生急性肾损伤的预测价值。
BMC Cardiovasc Disord. 2021 Mar 30;21(1):157. doi: 10.1186/s12872-021-01962-2.

引用本文的文献

1
Correlation Between Serum D-Dimer, NLR, and CRP/ALB in Patients with Acute Ischemic Stroke.急性缺血性脑卒中患者血清D-二聚体、中性粒细胞与淋巴细胞比值及C反应蛋白/白蛋白之间的相关性
Int J Gen Med. 2025 May 27;18:2749-2756. doi: 10.2147/IJGM.S516037. eCollection 2025.
2
The stress hyperglycemia ratio as a predictor of short- and long-term mortality in patients with acute brain injury: a retrospective cohort study.应激性高血糖比率作为急性脑损伤患者短期和长期死亡率的预测指标:一项回顾性队列研究。
Front Neurol. 2025 Apr 28;16:1552462. doi: 10.3389/fneur.2025.1552462. eCollection 2025.
3
Impact of glycemic treatment and blood glucose monitoring on outcomes in patients with acute ischemic stroke without prior diabetes: a longitudinal cohort study.

本文引用的文献

1
Fasting blood glucose-to-glycated hemoglobin ratio for evaluating clinical outcomes in patients with ischemic stroke.空腹血糖与糖化血红蛋白比值用于评估缺血性脑卒中患者的临床结局
Front Neurol. 2023 Mar 20;14:1142084. doi: 10.3389/fneur.2023.1142084. eCollection 2023.
2
The acute-to-chronic glycemic ratio correlates with the severity of illness at admission in patients with diabetes experiencing acute ischemic stroke.急性至慢性血糖比值与急性缺血性卒中糖尿病患者入院时的疾病严重程度相关。
Front Neurol. 2022 Nov 7;13:938612. doi: 10.3389/fneur.2022.938612. eCollection 2022.
3
Admission Random Blood Glucose, Fasting Blood Glucose, Stress Hyperglycemia Ratio, and Functional Outcomes in Patients With Acute Ischemic Stroke Treated With Intravenous Thrombolysis.
血糖治疗和血糖监测对无糖尿病史的急性缺血性脑卒中患者预后的影响:一项纵向队列研究。
Diabetol Metab Syndr. 2024 Dec 19;16(1):302. doi: 10.1186/s13098-024-01542-2.
静脉溶栓治疗急性缺血性卒中患者的入院随机血糖、空腹血糖、应激性高血糖发生率及功能转归
Front Aging Neurosci. 2022 Feb 8;14:782282. doi: 10.3389/fnagi.2022.782282. eCollection 2022.
4
Prognostic Value of the Acute-to-Chronic Glycemic Ratio at Admission in Heart Failure: A Prospective Study.入院时急性与慢性血糖比值对心力衰竭的预后价值:一项前瞻性研究。
J Clin Med. 2021 Dec 21;11(1):6. doi: 10.3390/jcm11010006.
5
Acute-to-Chronic Glycemic Ratio as a Predictor of COVID-19 Severity and Mortality.急性-慢性血糖比值预测 COVID-19 严重程度和死亡率。
Diabetes Care. 2022 Jan 1;45(1):255-258. doi: 10.2337/dc21-1321.
6
Stress Hyperglycemia and Outcome of Non-diabetic Patients After Acute Ischemic Stroke.应激性高血糖与急性缺血性卒中后非糖尿病患者的预后
Front Neurol. 2019 Sep 18;10:1003. doi: 10.3389/fneur.2019.01003. eCollection 2019.
7
Intensive vs Standard Treatment of Hyperglycemia and Functional Outcome in Patients With Acute Ischemic Stroke: The SHINE Randomized Clinical Trial.强化与标准血糖控制对急性缺血性脑卒中患者功能结局的影响:SHINE 随机临床试验。
JAMA. 2019 Jul 23;322(4):326-335. doi: 10.1001/jama.2019.9346.
8
High Stress Hyperglycemia Ratio Predicts Poor Outcome after Mechanical Thrombectomy for Ischemic Stroke.高应激性高血糖比率预示缺血性中风机械取栓术后预后不良。
J Stroke Cerebrovasc Dis. 2019 Jun;28(6):1668-1673. doi: 10.1016/j.jstrokecerebrovasdis.2019.02.022. Epub 2019 Mar 16.
9
Acute Kidney Injury in Diabetic Patients With Acute Myocardial Infarction: Role of Acute and Chronic Glycemia.急性心肌梗死合并糖尿病患者的急性肾损伤:急性和慢性血糖的作用。
J Am Heart Assoc. 2018 Apr 13;7(8):e008122. doi: 10.1161/JAHA.117.008122.
10
Prognostic Value of the Acute-to-Chronic Glycemic Ratio at Admission in Acute Myocardial Infarction: A Prospective Study.入院时急性血糖与慢性血糖比值对急性心肌梗死的预后价值:一项前瞻性研究。
Diabetes Care. 2018 Apr;41(4):847-853. doi: 10.2337/dc17-1732. Epub 2018 Jan 30.