College of Eco-Environmental Engineering, Qinghai University, Xining 810016, China.
College of Agriculture and Animal Husbandry, Qinghai University, Xining 810016, China.
Int J Mol Sci. 2024 Jun 1;25(11):6101. doi: 10.3390/ijms25116101.
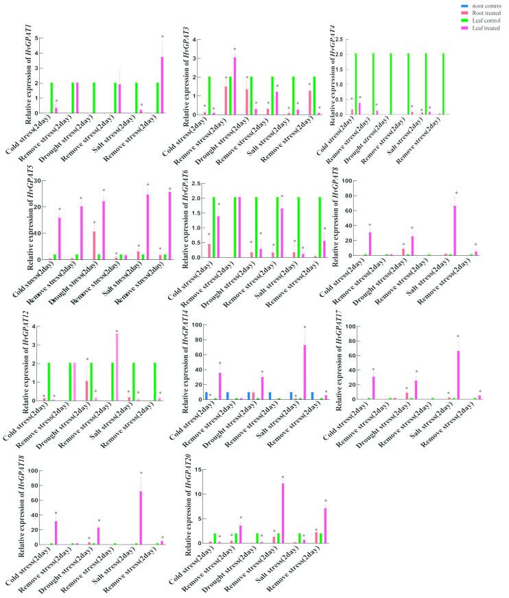
Glycerol-3-phosphoacyltransferase (GPAT) is an important rate-limiting enzyme in the biosynthesis of triacylglycerol (TAG), which is of great significance for plant growth, development, and response to abiotic stress. Although the characteristics of GPAT have been studied in many model plants, little is known about its expression profile and function in barley, especially under abiotic stress. In this study, 22 genes were identified in the barley genome and divided into three groups (I, II, III), with the latter Group III subdivided further into three subgroups based on the phylogenetic analysis. The analyses of conserved motifs, gene structures, and the three-dimensional structure of HvGPAT proteins also support this classification. Through evolutionary analysis, we determined that HvGPATs in Group I were the earliest to diverge during 268.65 MYA, and the differentiation of other HvGPATs emerged during 86.83-169.84 MYA. The tissue expression profile showed that 22 genes were almost not expressed in INF1 (inflorescence 1). Many functional elements related to stress responses and hormones in cis-element analysis, as well as qRT-PCR results, confirm that these genes were involved in abiotic stress responses. The expression level of was significantly increased under abiotic stress and its subcellular localization indicated its function in the endoplasmic reticulum. Various physiological traits under abiotic stress were evaluated using transgenic Arabidopsis to gain further insight into the role of , and it was found that transgenic seedlings have stronger resistance under abiotic stress than to the wild-type (WT) plants. Overall, our results provide new insights into the evolution and function of the barley GPAT gene family and enable us to explore the molecular mechanism of functional diversity behind the evolutionary history of these genes.
甘油-3-磷酸酰基转移酶(GPAT)是三酰基甘油(TAG)生物合成中的一个重要限速酶,对植物的生长、发育和对非生物胁迫的响应具有重要意义。尽管在许多模式植物中已经研究了 GPAT 的特性,但对大麦中 GPAT 的表达谱和功能知之甚少,特别是在非生物胁迫下。在本研究中,从大麦基因组中鉴定出 22 个基因,并将其分为三组(I、II、III),后者 Group III 进一步根据系统发育分析分为三个亚组。保守基序、基因结构和 HvGPAT 蛋白的三维结构分析也支持这种分类。通过进化分析,我们确定 Group I 的 HvGPAT 是在 268.65 MYA 最早分化的,而其他 HvGPAT 的分化则发生在 86.83-169.84 MYA。组织表达谱显示,22 个基因在 INF1(花序 1)中几乎不表达。顺式作用元件分析中的许多与应激反应和激素相关的功能元件以及 qRT-PCR 结果证实,这些基因参与了非生物胁迫反应。在非生物胁迫下, 基因的表达水平显著增加,其亚细胞定位表明其在内质网中的功能。通过转基因拟南芥评估各种非生物胁迫下的生理特性,以进一步了解 的作用,发现转基因幼苗在非生物胁迫下比野生型(WT)植物具有更强的抗性。总的来说,我们的研究结果为大麦 GPAT 基因家族的进化和功能提供了新的见解,并使我们能够探索这些基因进化历史背后的功能多样性的分子机制。