Suppr超能文献

双酚 A 的积累-流动注射分析。

Accumulation of Bisphenol A by spp.-Flow Injection Analysis.

机构信息

Department of Inorganic Chemistry and Pharmaceutical Analytics, Faculty of Pharmacy, Jagiellonian University Medical College, 9 Medyczna Street, 30-688 Kraków, Poland.

Department of Analytical Chemistry and Biochemistry, Faculty of Materials Science and Ceramics, AGH University of Krakow, Al. Mickiewicza 30, 30-059 Krakow, Poland.

出版信息

Molecules. 2024 May 27;29(11):2520. doi: 10.3390/molecules29112520.

Abstract

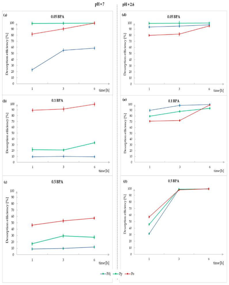
A specific feature of mushrooms (including those of the genus ) is their natural ability to absorb and accumulate many chemical substances present in their immediate environment, which makes them an excellent natural sorption material. Hence, fruiting bodies of mushrooms have been recognized for years as excellent indicators of the environment, reflecting its current state. Nevertheless, mushrooms can accumulate both health-promoting substances, such as bioelements, and toxic substances, such as heavy metals and organic compounds, including bisphenol A (BPA). This organic chemical compound in the phenol group, although it has been withdrawn in the EU since 2010, is widely present in the environment around us. In the present experiment, we aimed to determine the effect of adding BPA to liquid media for in vitro cultures of spp. The biomass increases were determined. Moreover, the degrees of adsorption and desorption of BPA from the obtained freeze-dried biomass in two different environments (neutral and acidic) were determined as a function of time. This is the first study to determine the bioavailability of adsorbed BPA in obtained biomass by extracting the mycelium into artificial digestive juices in a model digestive system. BPA was added to the liquid Oddoux medium in the following amounts: 0.01, 0.5, and 0.5 g/250 mL of medium. The amounts of adsorbed and desorbed BPA were determined by flow injection analysis (FIA) with amperometric detection. The addition of BPA to the substrate reduced the biomass growth in each of the discussed cases. BPA adsorption by the mycelium occurred at over 90% and depended on the morphology of the mushroom (structure, surface development, and pore size). BPA desorption depended on the pH of the environment and the desorption time. Mushrooms are an excellent natural remedial material, but BPA is extracted into artificial digestive juices; therefore, consuming mushrooms from industrialized areas may have health consequences for our bodies.

摘要

蘑菇(包括 属)的一个特有特征是,它们具有天然的能力,可以吸收和积累其周围环境中存在的许多化学物质,这使它们成为极好的天然吸附材料。因此,多年来,蘑菇的子实体已被公认为环境的良好指示物,反映了其当前状态。然而,蘑菇既可以积累对健康有益的物质,如生物元素,也可以积累有毒物质,如重金属和有机化合物,包括双酚 A(BPA)。这种酚类中的有机化学物质,尽管自 2010 年以来已在欧盟被禁止使用,但在我们周围的环境中仍广泛存在。在本实验中,我们旨在确定将 BPA 添加到 spp. 的液体培养基中对其进行体外培养的影响。测定了生物量的增加。此外,还测定了在两种不同环境(中性和酸性)中从获得的冻干生物量中吸附和解吸 BPA 的程度,作为时间的函数。这是首次通过在模型消化系统中将菌丝体提取到人工消化液中来确定获得的生物量中吸附的 BPA 的生物利用度的研究。在液体 Oddoux 培养基中以以下量添加 BPA:0.01、0.5 和 0.5 g/250 mL 培养基。通过安培检测的流动注射分析(FIA)来确定吸附和解吸的 BPA 量。在每种讨论的情况下,向基质中添加 BPA 都会降低生物量的生长。菌丝体对 BPA 的吸附率超过 90%,并且取决于蘑菇的形态(结构、表面发育和孔径)。BPA 的解吸取决于环境的 pH 值和解吸时间。蘑菇是一种极好的天然修复材料,但 BPA 会被提取到人工消化液中;因此,食用来自工业化地区的蘑菇可能会对我们的身体造成健康影响。

https://cdn.ncbi.nlm.nih.gov/pmc/blobs/33dd/11173710/327121de9f9f/molecules-29-02520-g001.jpg

文献检索

告别复杂PubMed语法,用中文像聊天一样搜索,搜遍4000万医学文献。AI智能推荐,让科研检索更轻松。

立即免费搜索

文件翻译

保留排版,准确专业,支持PDF/Word/PPT等文件格式,支持 12+语言互译。

免费翻译文档

深度研究

AI帮你快速写综述,25分钟生成高质量综述,智能提取关键信息,辅助科研写作。

立即免费体验