Suppr超能文献

阴谋论的社会人口统计学关联因素。

The sociodemographic correlates of conspiracism.

作者信息

Enders Adam, Klofstad Casey, Diekman Amanda, Drochon Hugo, Rogers de Waal Joel, Littrell Shane, Premaratne Kamal, Verdear Daniel, Wuchty Stefan, Uscinski Joseph

机构信息

Department of Political Science, University of Louisville, Louisville, KY, 40292, USA.

Department of Political Science, University of Miami, 1300 Campo Sano Blvd., Coral Gables, FL, 33146, USA.

出版信息

Sci Rep. 2024 Jun 20;14(1):14184. doi: 10.1038/s41598-024-64098-1.

Abstract

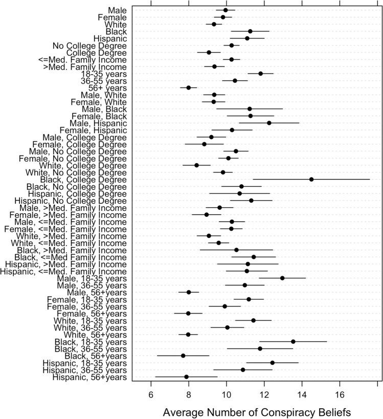
Despite hundreds of studies examining belief in conspiracy theories, it is still unclear who-demographically-is most likely to believe such theories. To remedy this knowledge gap, we examine survey data containing various operationalizations of conspiracism across diverse sociopolitical contexts. Study 1 employs a 2021 U.S. survey (n = 2021) to examine associations between sociodemographic characteristics and beliefs in 39 conspiracy theories. Study 2 similarly employs a survey of 20 countries (n = 26,416) and 11 conspiracy theory beliefs. Study 3 reports results from a 2020 U.S. survey (n = 2015) measuring perceptions about which groups are engaging in conspiracies. Study 4 interrogates data from nine U.S. surveys (2012-2022; n = 14,334) to examine the relationships between sociodemographic characteristics and generalized conspiracy thinking. Study 5 synchronizes studies 1-4 to provide an intersectional analysis of conspiracy theory belief. Across studies, we observe remarkably consistent patterns: education, income, age (older), and White identification are negatively related to conspiracism, while Black identification is positively related. We conclude by discussing why conspiracy theories may appeal most to historically marginalized groups and how our findings can inform efforts to mitigate the negative effects of conspiracy theories.

摘要

尽管有数百项研究探讨了对阴谋论的信念,但在人口统计学上,究竟哪些人最有可能相信这类理论仍不明确。为了弥补这一知识空白,我们研究了涵盖不同社会政治背景下各种阴谋论相关数据的调查资料。研究1采用2021年美国的一项调查(n = 2021),来考察社会人口特征与对39种阴谋论的信念之间的关联。研究2同样采用了对20个国家(n = 26,416)的调查以及11种阴谋论信念。研究3报告了2020年美国一项调查(n = 2015)的结果,该调查衡量了人们对哪些群体正在参与阴谋的看法。研究4分析了来自美国九项调查(2012 - 2022年;n = 14,334)的数据,以考察社会人口特征与普遍阴谋思维之间的关系。研究5整合了研究1至4,对阴谋论信念进行了交叉分析。在各项研究中,我们观察到了非常一致的模式:教育程度、收入、年龄(较大)和白人身份认同与阴谋论倾向呈负相关,而黑人身份认同则呈正相关。我们通过讨论阴谋论为何可能最吸引历史上被边缘化的群体,以及我们的研究结果如何为减轻阴谋论负面影响的努力提供信息来得出结论。

https://cdn.ncbi.nlm.nih.gov/pmc/blobs/85d0/11190281/a882bc5b0d15/41598_2024_64098_Fig1_HTML.jpg

文献AI研究员

20分钟写一篇综述,助力文献阅读效率提升50倍。

立即体验

用中文搜PubMed

大模型驱动的PubMed中文搜索引擎

马上搜索

文档翻译

学术文献翻译模型,支持多种主流文档格式。

立即体验