Suppr超能文献

透明细胞肾细胞癌中一种新型二硫化物诱导细胞焦亡相关免疫检查点基因特征的建立与验证

Establishment and validation of a novel disulfidptosis-related immune checkpoint gene signature in clear cell renal cell carcinoma.

作者信息

Du Lihuan, Zhang Nan, Wang Bohan, Cheng Wei, Wen Jiaming

机构信息

Department of Urology, The Second Affiliated Hospital of Zhejiang University, NO. 88 Jiefang Road, Hangzhou, 310009, China.

Department of Urology, Traditional Chinese Medicine Hospital of Longyou, Longyou, 324400, Quzhou, China.

出版信息

Discov Oncol. 2024 Jun 21;15(1):236. doi: 10.1007/s12672-024-01105-x.

Abstract

BACKGROUND

Clear cell renal cell carcinoma (ccRCC) is the most prevalent subtype of renal tumors and is associated with a unfavorable prognosis. Disulfidptosis is a recently identified form of cell death mediated by disulfide bonds. Numerous studies have highlighted the significance of immune checkpoint genes (ICGs) in ccRCC. Nevertheless, the involvement of disulfidptosis-related immune checkpoint genes (DRICGs) in ccRCC remains poorly understood.

METHODS

The mRNA expression profiles and clinicopathological data of ccRCC patients were obtained from The Cancer Genome Atlas and Gene Expression Omnibus (GEO) databases. The associations between disulfidptosis-related genes (DRGs) and immune checkpoint genes (ICGs) were assessed to identify DRICGs. Cox regression analysis and least absolute shrinkage and selection operator (LASSO) analysis were conducted to construct a risk signature.

RESULTS

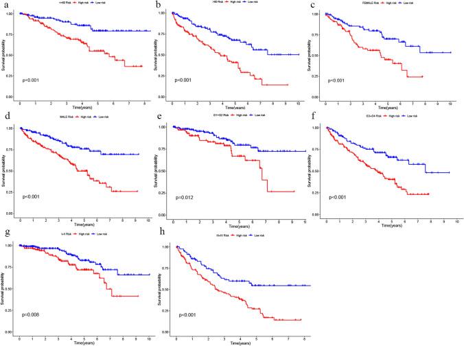
A total of 39 differentially expressed immune-related candidate genes were identified. A prognostic signature was constructed utilizing nine DRICGs (CD276, CD80, CD86, HLA-E, LAG3, PDCD1LG2, PVR, TIGIT, and TNFRSF4) and validated using GEO data. The risk model functioned as an independent prognostic indicator for ccRCC, while the associated nomogram provided a reliable scoring system for ccRCC. Gene set enrichment analysis indicated enrichment of phospholipase D, antigen processing and presentation, and ascorbate and aldarate metabolism-related signaling pathways in the high-risk group. Furthermore, the DRICGs exhibited correlations with the infiltration of various immune cells. It is noteworthy that patients with ccRCC categorized into distinct risk groups based on this model displayed varying sensitivities to potential therapeutic agents.

CONCLUSIONS

The novel DRICG-based risk signature is a reliable indicator for the prognosis of ccRCC patients. Moreover, it also aids in drug selection and correlates with the tumour immune microenvironment in ccRCC.

摘要

背景

透明细胞肾细胞癌(ccRCC)是最常见的肾肿瘤亚型,且预后不良。二硫键介导的细胞死亡(Disulfidptosis)是最近发现的一种细胞死亡形式。众多研究强调了免疫检查点基因(ICGs)在ccRCC中的重要性。然而,二硫键介导的细胞死亡相关免疫检查点基因(DRICGs)在ccRCC中的作用仍知之甚少。

方法

从癌症基因组图谱(The Cancer Genome Atlas)和基因表达综合数据库(Gene Expression Omnibus,GEO)获取ccRCC患者的mRNA表达谱和临床病理数据。评估二硫键介导的细胞死亡相关基因(DRGs)与免疫检查点基因(ICGs)之间的关联以鉴定DRICGs。进行Cox回归分析和最小绝对收缩和选择算子(LASSO)分析以构建风险特征。

结果

共鉴定出39个差异表达的免疫相关候选基因。利用9个DRICGs(CD276、CD80、CD86、HLA-E、LAG3、PDCD1LG2、PVR、TIGIT和TNFRSF4)构建了一个预后特征,并使用GEO数据进行了验证。该风险模型可作为ccRCC的独立预后指标,而相关的列线图为ccRCC提供了一个可靠的评分系统。基因集富集分析表明,高危组中磷脂酶D、抗原加工和呈递以及抗坏血酸和醛糖代谢相关信号通路富集。此外,DRICGs与各种免疫细胞的浸润相关。值得注意的是,根据该模型分为不同风险组的ccRCC患者对潜在治疗药物表现出不同的敏感性。

结论

基于新型DRICG的风险特征是ccRCC患者预后的可靠指标。此外,它还有助于药物选择,并与ccRCC中的肿瘤免疫微环境相关。

https://cdn.ncbi.nlm.nih.gov/pmc/blobs/b81d/11192710/bf07f8160507/12672_2024_1105_Fig1_HTML.jpg

文献AI研究员

20分钟写一篇综述,助力文献阅读效率提升50倍。

立即体验

用中文搜PubMed

大模型驱动的PubMed中文搜索引擎

马上搜索

文档翻译

学术文献翻译模型,支持多种主流文档格式。

立即体验