Gupta Amit, Dahima Rashmi, Panda Sunil K, Gupta Annie, Singh Gaurav Deep, Wani Tanveer A, Hussain Afzal, Rathore Devashish
School of Pharmacy, Devi Ahilya Vishwavidyalaya, Takshashila Campus, Ring Road, Indore 452001, India.
Research & Development, GM Pharmaceutical Inc., 0114 Tbilisi, Georgia.
Pharmaceutics. 2024 Jun 4;16(6):764. doi: 10.3390/pharmaceutics16060764.
Pazopanib hydrochloride (PZB) is a protein kinase inhibitor approved by the United States Food and Drug Administration and European agencies for the treatment of renal cell carcinoma and other renal malignancies. However, it exhibits poor aqueous solubility and inconsistent oral drug absorption. In this regard, the current research work entails the development and evaluation of the extrudates of pazopanib hydrochloride by the hot-melt extrusion (HME) technique for solubility enhancement and augmenting oral bioavailability.
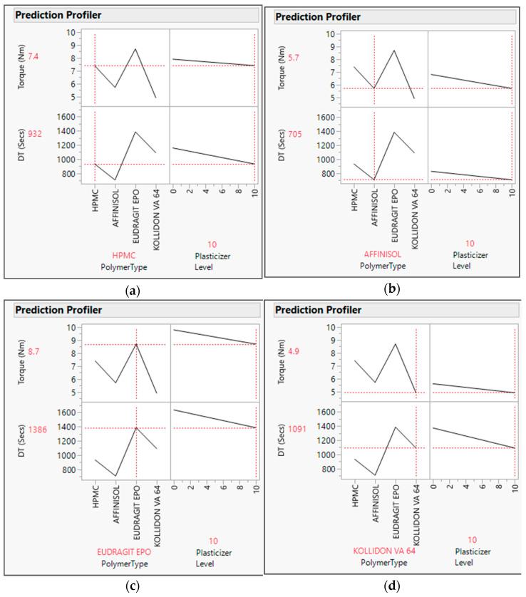
Solid dispersion of the drug was prepared using polymers such as Kollidon VA64, hydroxypropylmethylcellulose (HPMC), Eudragit EPO, and Affinisol 15LV in a 1:2 ratio by the HME process through a lab-scale 18 mm extruder. Systematic optimization of the formulation variables was carried out with the help of custom screening design (JMP Software by SAS, Version 14.0) to study the impact of polymer type and plasticizer level on the quality of extrudate processability by measuring the torque value, appearance, and disintegration time as the responses. The polymer blends containing Kollidon VA64 and Affinisol 15LV resulted in respective clear transparent extrudates, while Eudragit EPO and HPMC extrudates were found to be opaque white and brownish, respectively. Furthermore, evaluation of the impact of process parameters such as screw rpm and barrel temperature was measured using a definitive screening design on the extrude appearance, torque, disintegration time, and dissolution profile. Based on the statistical outcomes, it can be concluded that barrel temperature has a significant impact on torque, disintegration time, and dissolution at 30 min, while screw speed has an insignificant impact on the response variables. Affinisol extrudates showed less moisture uptake and faster dissolution in comparison to Kollidon VA64 extrudates. Affinisol extrudates were evaluated for polymorphic stability up to a 3-month accelerated condition and found no recrystallization. PZB-Extrudates using the Affinisol polymer (Test formulation A) revealed significantly higher bioavailability (AUC) in comparison to the free Pazopanib drug and marketed formulation.
盐酸帕唑帕尼(PZB)是一种蛋白激酶抑制剂,已获美国食品药品监督管理局和欧洲相关机构批准,用于治疗肾细胞癌和其他肾脏恶性肿瘤。然而,它的水溶性较差,口服药物吸收也不稳定。在这方面,当前的研究工作旨在通过热熔挤出(HME)技术开发和评估盐酸帕唑帕尼挤出物,以提高其溶解度并增强口服生物利用度。
通过实验室规模的18毫米挤出机,采用HME工艺,以1:2的比例使用聚乙烯吡咯烷酮VA64、羟丙基甲基纤维素(HPMC)、丙烯酸树脂EPO和亲和素15LV等聚合物制备了药物的固体分散体。借助定制筛选设计(SAS公司的JMP软件,版本14.0)对配方变量进行系统优化,通过测量扭矩值、外观和崩解时间作为响应指标,研究聚合物类型和增塑剂水平对挤出物加工性能质量的影响。含有聚乙烯吡咯烷酮VA64和亲和素15LV的聚合物共混物分别得到了透明的挤出物,而丙烯酸树脂EPO和HPMC挤出物分别为不透明的白色和褐色。此外,使用确定性筛选设计测量了螺杆转速和料筒温度等工艺参数对挤出物外观、扭矩、崩解时间和溶出曲线的影响。基于统计结果,可以得出结论,料筒温度对扭矩、崩解时间和30分钟时的溶出度有显著影响,而螺杆转速对响应变量的影响不显著。与聚乙烯吡咯烷酮VA64挤出物相比,亲和素挤出物的吸湿性较低,溶解速度更快。对亲和素挤出物在3个月加速条件下的多晶型稳定性进行了评估,未发现重结晶现象。与游离盐酸帕唑帕尼药物和市售制剂相比,使用亲和素聚合物的PZB挤出物(测试配方A)显示出显著更高的生物利用度(AUC)。