Suppr超能文献

蝴蝶豆花提取物(L.)在糖尿病和血脂异常大鼠模型中的抗糖尿病、抗血脂异常和肾保护作用。

Antidiabetic, antidyslipidemia, and renoprotector potency of butterfly pea flower extract ( L.) in diabetes mellitus and dyslipidemia rats model.

机构信息

Faculty of Medicine, Maranatha Christian University, Bandung, West Java 40164, Indonesia.

Aretha Medika Utama Biomolecular and Biomedical Research Center, Bandung, West Java 40163, Indonesia.

出版信息

Open Vet J. 2024 May;14(5):1135-1145. doi: 10.5455/OVJ.2024.v14.i5.7. Epub 2024 May 31.

Abstract

BACKGROUND

Diabetes mellitus (DM) is a long-term condition marked by high blood glucose levels caused by insulin resistance which will lead to complications of other diseases such as dyslipidemia, which also affects the health of the liver and kidneys. Butterfly pea flower ( L.) has phenolic and flavonoid compounds which have the potential as herbal medicines for antidiabetics.

AIM

The purpose of this study is to examine the potential of butterfly pea flower extract (BPE) as an antidiabetic, anti-dyslipidemia, and renoprotection.

METHODS

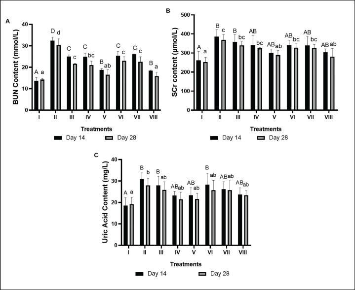
test was performed on Sprague Dawley rats ( L.) induced by Streptozotocin-Nicotinamide and High Fat Diet-Propylthiouracil as models of DM and dyslipidemia, and BPE was administered orally (200, 400, and 800 mg/kg BW) for 28 days. glutathione peroxidase (GSH-Px), glutathione S-transferase (GST), tumor necrosis factor-α (TNF-α), nuclear factor-kappa beta (NF-kB), alkaline phosphatase (ALP), liver albumin levels, serum blood urea nitrogen (BUN), serum creatinine, and serum uric acid (UA), were measured by ELISA and colorimetry methods.

RESULTS

Treatment of BPE 800 mg/kg BW increased levels of GSH-Px, GST, albumin, and serum protein. BPE decreased TNF-α, NF-kB, and ALP. BPE also decreased BUN, serum CR, and serum UA.

CONCLUSION

BPE has the potential to be used as a drug alternative for the treatment of DM and dyslipidemia as well as a hepatoprotective and renoprotective agent.

摘要

背景

糖尿病(DM)是一种长期的病症,其特征是由于胰岛素抵抗导致的高血糖水平,这将导致其他疾病的并发症,如血脂异常,这也会影响肝脏和肾脏的健康。蝶豆花(L.)含有酚类和类黄酮化合物,具有作为抗糖尿病草药的潜力。

目的

本研究旨在研究蝶豆花提取物(BPE)作为抗糖尿病、抗血脂异常和肾脏保护剂的潜力。

方法

本研究使用链脲佐菌素-烟酰胺和高脂肪饮食-丙硫氧嘧啶诱导的 Sprague Dawley 大鼠(L.)作为糖尿病和血脂异常的模型,通过口服给予 BPE(200、400 和 800mg/kg BW),为期 28 天。通过酶联免疫吸附测定(ELISA)和比色法测量谷胱甘肽过氧化物酶(GSH-Px)、谷胱甘肽 S-转移酶(GST)、肿瘤坏死因子-α(TNF-α)、核因子-κB(NF-κB)、碱性磷酸酶(ALP)、肝白蛋白水平、血清尿素氮(BUN)、血清肌酐和血清尿酸(UA)。

结果

BPE 800mg/kg BW 的治疗增加了 GSH-Px、GST、白蛋白和血清蛋白的水平。BPE 降低了 TNF-α、NF-κB 和 ALP。BPE 还降低了 BUN、血清 CR 和血清 UA。

结论

BPE 具有作为治疗糖尿病和血脂异常以及肝脏和肾脏保护剂的药物替代物的潜力。

https://cdn.ncbi.nlm.nih.gov/pmc/blobs/8f7e/11199744/5309b5447435/OpenVetJ-14-1135-g001.jpg

文献AI研究员

20分钟写一篇综述,助力文献阅读效率提升50倍。

立即体验

用中文搜PubMed

大模型驱动的PubMed中文搜索引擎

马上搜索

文档翻译

学术文献翻译模型,支持多种主流文档格式。

立即体验