Suppr超能文献

一氧化氮信号是谷胱甘肽诱导盐胁迫下番茄光合作用增强所必需的。

Nitric oxide signal is required for glutathione-induced enhancement of photosynthesis in salt-stressed S L.

作者信息

Cong Yundan, Chen Xianjun, Xing Jiayi, Li Xuezhen, Pang Shengqun, Liu Huiying

机构信息

Department of Horticulture, Agricultural College, Shihezi University, Shihezi, Xinjiang, China.

Key Laboratory of Special Fruits and Vegetables Cultivation Physiology and Germplasm Resources Utilization of Xinjiang Production and Contruction Crops, Shihezi, Xinjiang, China.

出版信息

Front Plant Sci. 2024 Jun 17;15:1413653. doi: 10.3389/fpls.2024.1413653. eCollection 2024.

Abstract

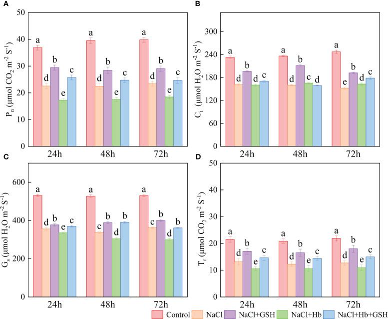
Reduced glutathione (γ-glutamyl-cysteinyl-glycine, GSH), the primary non-protein sulfhydryl group in organisms, plays a pivotal role in the plant salt stress response. This study aimed to explore the impact of GSH on the photosynthetic apparatus, and carbon assimilation in tomato plants under salt stress, and then investigate the role of nitric oxide (NO) in this process. The investigation involved foliar application of 5 mM GSH, 0.1% (w/v) hemoglobin (Hb, a nitric oxide scavenger), and GSH+Hb on the endogenous NO levels, rapid chlorophyll fluorescence, enzyme activities, and gene expression related to the Calvin cycle in tomato seedlings ( L. cv. 'Zhongshu No. 4') subjected short-term salt stress (100 mM NaCl) for 24, 48 and 72 hours. GSH treatment notably boosted nitrate reductase (NR) and NO synthase (NOS) activities, elevating endogenous NO signaling in salt-stressed tomato seedling leaves. It also mitigated chlorophyll fluorescence (OJIP) curve distortion and damage to the oxygen-evolving complex (OEC) induced by salt stress. Furthermore, GSH improved photosystem II (PSII) electron transfer efficiency, reduced Q accumulation, and countered salt stress effects on photosystem I (PSI) redox properties, enhancing the light energy absorption index (PI). Additionally, GSH enhanced key enzyme activities in the Calvin cycle and upregulated their genes. Exogenous GSH optimized PSII energy utilization via endogenous NO, safeguarded the photosynthetic reaction center, improved photochemical and energy efficiency, and boosted carbon assimilation, ultimately enhancing net photosynthetic efficiency (P) in salt-stressed tomato seedling leaves. Conversely, Hb hindered P reduction and NO signaling under salt stress and weakened the positive effects of GSH on NO levels, photosynthetic apparatus, and carbon assimilation in tomato plants. Thus, the positive regulation of photosynthesis in tomato seedlings under salt stress by GSH requires the involvement of NO.

摘要

还原型谷胱甘肽(γ-谷氨酰-半胱氨酰-甘氨酸,GSH)是生物体中主要的非蛋白质巯基,在植物盐胁迫响应中起关键作用。本研究旨在探讨GSH对盐胁迫下番茄植株光合机构和碳同化的影响,进而研究一氧化氮(NO)在此过程中的作用。该研究通过对短期盐胁迫(100 mM NaCl)处理24、48和72小时的番茄幼苗(品种‘中蔬四号’)叶面喷施5 mM GSH、0.1%(w/v)血红蛋白(Hb,一种一氧化氮清除剂)以及GSH+Hb,来研究其对番茄幼苗内源性NO水平、快速叶绿素荧光、酶活性以及与卡尔文循环相关基因表达的影响。GSH处理显著提高了硝酸还原酶(NR)和一氧化氮合酶(NOS)的活性,增强了盐胁迫下番茄幼苗叶片内源性NO信号。它还减轻了盐胁迫诱导的叶绿素荧光(OJIP)曲线畸变以及对放氧复合体(OEC)的损伤。此外,GSH提高了光系统II(PSII)的电子传递效率,减少了Q的积累,并对抗盐胁迫对光系统I(PSI)氧化还原特性的影响,提高了光能吸收指数(PI)。此外,GSH增强了卡尔文循环中的关键酶活性并上调了其基因。外源GSH通过内源性NO优化了PSII的能量利用,保护了光合反应中心,提高了光化学和能量效率,并促进了碳同化,最终提高了盐胁迫下番茄幼苗叶片的净光合效率(P)。相反,Hb在盐胁迫下阻碍了P的降低和NO信号传导,并削弱了GSH对番茄植株中NO水平、光合机构和碳同化的积极影响。因此,GSH对盐胁迫下番茄幼苗光合作用的正向调节需要NO的参与。

https://cdn.ncbi.nlm.nih.gov/pmc/blobs/750d/11215142/6d88ab8eea6d/fpls-15-1413653-g001.jpg

文献AI研究员

20分钟写一篇综述,助力文献阅读效率提升50倍。

立即体验

用中文搜PubMed

大模型驱动的PubMed中文搜索引擎

马上搜索

文档翻译

学术文献翻译模型,支持多种主流文档格式。

立即体验