Suppr超能文献

金催化合成醌型杂芳基的研究进展。

Advances in gold catalyzed synthesis of quinoid heteroaryls.

作者信息

Majeed Adnan, Zafar Ayesha, Mushtaq Zanira, Iqbal Muhammad Adnan

机构信息

Department of Chemistry, University of Agriculture Faisalabad Faisalabad-38000 Pakistan

Organometallic and Coordination Chemistry Laboratory, University of Agriculture Faisalabad Faisalabad-38000 Pakistan.

出版信息

RSC Adv. 2024 Jul 3;14(29):21047-21064. doi: 10.1039/d4ra03368j. eCollection 2024 Jun 27.

Abstract

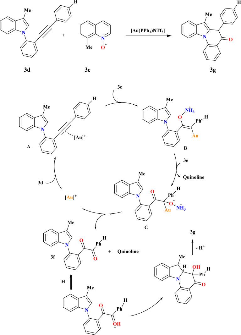
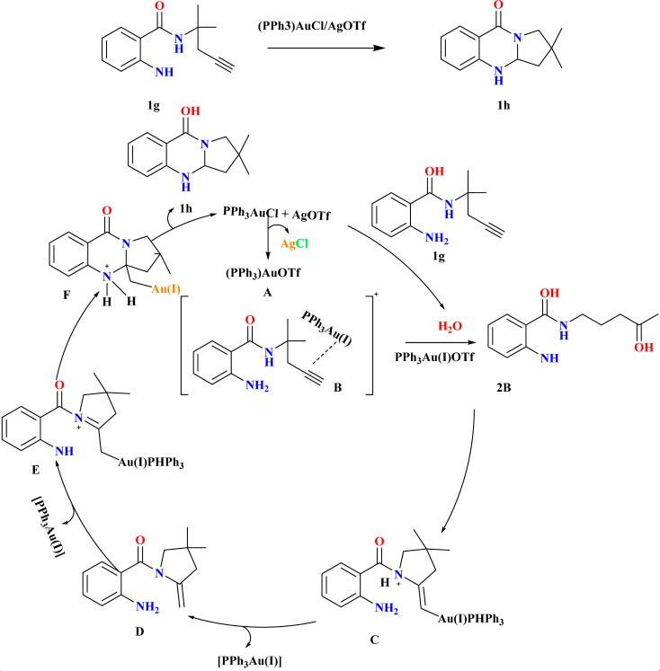
This review explores recent advancements in synthesizing quinoid heteroaryls, namely quinazoline and quinoline, vital in chemistry due to their prevalence in natural products and pharmaceuticals. It emphasizes the rapid, highly efficient, and economically viable synthesis achieved through gold-catalyzed cascade protocols. By investigating methodologies and reaction pathways, the review underscores exceptional yields attainable in the synthesis of quinoid heteroaryls. It offers valuable insights into accessing these complex structures through efficient synthetic routes. Various strategies, including cyclization, heteroarylation, cycloisomerization, cyclo-condensation, intermolecular and intramolecular cascade reactions, are covered, highlighting the versatility of gold-catalyzed approaches. The comprehensive compilation of different synthetic approaches and elucidation of reaction mechanisms contribute to a deeper understanding of the field. This review paves the way for future advancements in synthesizing quinoid heteroaryls and their applications in drug discovery and materials science.

摘要

本综述探讨了喹啉类杂芳基(即喹唑啉和喹啉)合成方面的最新进展,这些化合物在化学领域至关重要,因为它们在天然产物和药物中广泛存在。它强调了通过金催化串联反应方案实现的快速、高效且经济可行的合成方法。通过研究方法和反应途径,该综述强调了在喹啉类杂芳基合成中可获得的优异产率。它为通过高效合成路线获得这些复杂结构提供了有价值的见解。涵盖了各种策略,包括环化、杂芳基化、环异构化、环缩合、分子间和分子内串联反应,突出了金催化方法的多功能性。对不同合成方法的全面汇编以及反应机理的阐明有助于更深入地理解该领域。本综述为喹啉类杂芳基的合成及其在药物发现和材料科学中的应用的未来进展铺平了道路。

https://cdn.ncbi.nlm.nih.gov/pmc/blobs/686b/11220603/b2b5bf3601c8/d4ra03368j-f1.jpg

文献AI研究员

20分钟写一篇综述,助力文献阅读效率提升50倍。

立即体验

用中文搜PubMed

大模型驱动的PubMed中文搜索引擎

马上搜索

文档翻译

学术文献翻译模型,支持多种主流文档格式。

立即体验