Suppr超能文献

基于死亡率评估的热浪监测与二元频率分析在中国武汉的研究。

A study on the monitoring of heatwaves and bivariate frequency analysis based on mortality risk assessment in Wuhan, China.

机构信息

School of Resources and Environmental Science, Hubei University, Wuhan, China.

Hubei Key Laboratory of Regional Development and Environmental Response, Hubei University, Wuhan, China.

出版信息

Front Public Health. 2024 Jun 19;12:1409563. doi: 10.3389/fpubh.2024.1409563. eCollection 2024.

Abstract

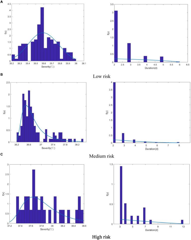
The increasingly frequent occurrence of urban heatwaves has become a significant threat to human health. To quantitatively analyze changes in heatwave characteristics and to investigate the return periods of future heatwaves in Wuhan City, China, this study extracted 9 heatwave definitions and divided them into 3 mortality risk levels to identify and analyze historical observations and future projections of heatwaves. The copula functions were employed to derive the joint distribution of heatwave severity and duration and to analyze the co-occurrence return periods. The results demonstrate the following. (1) As the concentration of greenhouse gas emissions increases, the severity of heatwaves intensifies, and the occurrence of heatwaves increases significantly; moreover, a longer duration of heatwaves correlated with higher risk levels in each emission scenario. (2) Increasing concentrations of greenhouse gas emissions result in significantly shorter heatwave co-occurrence return periods at each level of risk. (3) In the 3 risk levels under each emission scenario, the co-occurrence return periods for heatwaves become longer as heatwave severity intensifies and duration increases. Under the influence of climate change, regional-specific early warning systems for heatwaves are necessary and crucial for policymakers to reduce heat-related mortality risks in the population, especially among vulnerable groups.

摘要

城市热浪的频繁发生已成为人类健康的重大威胁。为了定量分析热浪特征的变化,并研究中国武汉市未来热浪的重现期,本研究提取了 9 种热浪定义,并将其分为 3 个死亡率风险级别,以识别和分析历史观测和未来热浪的预测。使用 Copula 函数得出热浪严重程度和持续时间的联合分布,并分析同时出现的重现期。结果表明:(1)随着温室气体排放浓度的增加,热浪的严重程度加剧,热浪的发生次数显著增加;此外,在每种排放情景下,持续时间较长的热浪与更高的风险水平相关。(2)温室气体排放浓度的增加导致每个风险水平的热浪同时出现的重现期显著缩短。(3)在每个排放情景的 3 个风险级别下,随着热浪严重程度的加剧和持续时间的增加,热浪同时出现的重现期变长。在气候变化的影响下,针对特定区域的热浪预警系统对于政策制定者减少人口中与热相关的死亡率风险至关重要,尤其是对弱势群体。

https://cdn.ncbi.nlm.nih.gov/pmc/blobs/ea99/11220200/66c5612e6fca/fpubh-12-1409563-g001.jpg

文献AI研究员

20分钟写一篇综述,助力文献阅读效率提升50倍。

立即体验

用中文搜PubMed

大模型驱动的PubMed中文搜索引擎

马上搜索

文档翻译

学术文献翻译模型,支持多种主流文档格式。

立即体验