• 文献检索
  • 文档翻译
  • 深度研究
  • 学术资讯
  • Suppr Zotero 插件Zotero 插件
  • 邀请有礼
  • 套餐&价格
  • 历史记录
应用&插件
Suppr Zotero 插件Zotero 插件浏览器插件Mac 客户端Windows 客户端微信小程序
定价
高级版会员购买积分包购买API积分包
服务
文献检索文档翻译深度研究API 文档MCP 服务
关于我们
关于 Suppr公司介绍联系我们用户协议隐私条款
关注我们

Suppr 超能文献

核心技术专利:CN118964589B侵权必究
粤ICP备2023148730 号-1Suppr @ 2026

文献检索

告别复杂PubMed语法,用中文像聊天一样搜索,搜遍4000万医学文献。AI智能推荐,让科研检索更轻松。

立即免费搜索

文件翻译

保留排版,准确专业,支持PDF/Word/PPT等文件格式,支持 12+语言互译。

免费翻译文档

深度研究

AI帮你快速写综述,25分钟生成高质量综述,智能提取关键信息,辅助科研写作。

立即免费体验

利用机器学习技术鉴定针对PBP3中抗性突变体“F533L”的新型疗法。

Identifying Novel Therapeutics for the Resistant Mutant "F533L" in PBP3 of Using ML Techniques.

作者信息

Joshi Tushar, Vijayakumar Santhiya, Ghosh Soumyadip, Mathpal Shalini, Ramaiah Sudha, Anbarasu Anand

机构信息

Medical and Biological Computing Laboratory, School of Biosciences and Technology, Vellore Institute of Technology (VIT), Vellore 632014, Tamil Nadu, India.

Department of Biotechnology, School of Biosciences and Technology, Vellore Institute of Technology (VIT), Vellore 632014, Tamil Nadu, India.

出版信息

ACS Omega. 2024 Jun 14;9(26):28046-28060. doi: 10.1021/acsomega.4c00929. eCollection 2024 Jul 2.

DOI:10.1021/acsomega.4c00929
PMID:38973840
原文链接:https://pmc.ncbi.nlm.nih.gov/articles/PMC11223260/
Abstract

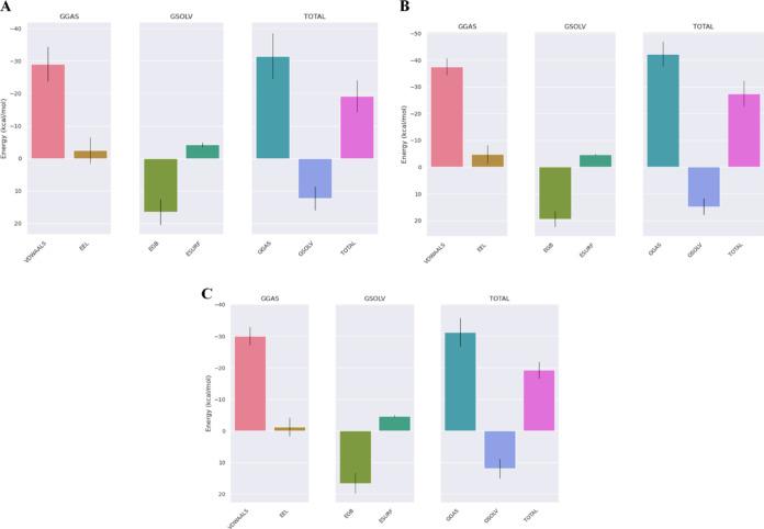
is a highly infectious and antibiotic-resistant bacterium, which causes acute and chronic nosocomial infections. exhibits multidrug resistance due to the emergence of resistant mutants. The bacterium takes advantage of intrinsic and acquired resistance mechanisms to resist almost every antibiotic. To overcome the drug-resistance problem, there is a need to develop effective drugs against antibiotic-resistant mutants. Therefore, in this study, we selected the F533L mutation in PBP3 (penicillin-binding protein 3) because of its important role in β-lactam recognition. To target this mutation, we screened 147 antibacterial compounds from PubChem through a machine-learning model developed based on the decision stump algorithm with 75.75% accuracy and filtered out 55 compounds. Subsequently, out of 55 compounds, 47 compounds were filtered based on their drug-like activity. These 47 compounds were subjected to virtual screening to obtain binding affinity compounds. The binding affinity range of all 47 compounds was -11.3 to -4.6 kcal mol. The top 10 compounds were examined according to their binding with the mutation point. A molecular dynamic simulation of the top 8 compounds was conducted to understand the stability of the compounds containing the mutated PBP3. Out of 8 compounds, 3 compounds, namely, macozinone, antibacterial agent 71, and antibacterial agent 123, showed good stability and were validated by RMSD, RMSF, and binding-free analysis. The findings of this study revealed promising antibacterial compounds against the F533L mutant PBP3. Furthermore, developments in these compounds may pave the way for novel therapeutic interventions.

摘要

是一种具有高度传染性和抗生素抗性的细菌,可引起急性和慢性医院感染。由于抗性突变体的出现,表现出多重耐药性。该细菌利用内在和获得性抗性机制来抵抗几乎每一种抗生素。为了克服耐药性问题,需要开发针对抗生素抗性突变体的有效药物。因此,在本研究中,我们选择了PBP3(青霉素结合蛋白3)中的F533L突变,因为其在β-内酰胺识别中起重要作用。为了针对这一突变,我们通过基于决策树算法开发的机器学习模型,从PubChem中筛选了147种抗菌化合物,准确率为75.75%,并筛选出55种化合物。随后,在55种化合物中,根据它们的类药物活性筛选出47种化合物。对这47种化合物进行虚拟筛选以获得具有结合亲和力的化合物。所有47种化合物的结合亲和力范围为-11.3至-4.6 kcal/mol。根据它们与突变点的结合情况检查了前10种化合物。对前8种化合物进行了分子动力学模拟,以了解含有突变PBP3的化合物的稳定性。在8种化合物中,有3种化合物,即马佐酮、抗菌剂71和抗菌剂123,表现出良好的稳定性,并通过RMSD、RMSF和结合自由分析进行了验证。本研究结果揭示了针对F533L突变体PBP3的有前景的抗菌化合物。此外,这些化合物的开发可能为新型治疗干预铺平道路。

https://cdn.ncbi.nlm.nih.gov/pmc/blobs/d387/11223260/417a1c8384b5/ao4c00929_0009.jpg
https://cdn.ncbi.nlm.nih.gov/pmc/blobs/d387/11223260/09a53de6857b/ao4c00929_0001.jpg
https://cdn.ncbi.nlm.nih.gov/pmc/blobs/d387/11223260/f3f269377d7e/ao4c00929_0002.jpg
https://cdn.ncbi.nlm.nih.gov/pmc/blobs/d387/11223260/71e1412c4e81/ao4c00929_0003.jpg
https://cdn.ncbi.nlm.nih.gov/pmc/blobs/d387/11223260/60d44bce3a06/ao4c00929_0004.jpg
https://cdn.ncbi.nlm.nih.gov/pmc/blobs/d387/11223260/4e6582042cd7/ao4c00929_0005.jpg
https://cdn.ncbi.nlm.nih.gov/pmc/blobs/d387/11223260/dc4886034d51/ao4c00929_0006.jpg
https://cdn.ncbi.nlm.nih.gov/pmc/blobs/d387/11223260/acc80d092a2a/ao4c00929_0007.jpg
https://cdn.ncbi.nlm.nih.gov/pmc/blobs/d387/11223260/c2c87efbe676/ao4c00929_0008.jpg
https://cdn.ncbi.nlm.nih.gov/pmc/blobs/d387/11223260/417a1c8384b5/ao4c00929_0009.jpg
https://cdn.ncbi.nlm.nih.gov/pmc/blobs/d387/11223260/09a53de6857b/ao4c00929_0001.jpg
https://cdn.ncbi.nlm.nih.gov/pmc/blobs/d387/11223260/f3f269377d7e/ao4c00929_0002.jpg
https://cdn.ncbi.nlm.nih.gov/pmc/blobs/d387/11223260/71e1412c4e81/ao4c00929_0003.jpg
https://cdn.ncbi.nlm.nih.gov/pmc/blobs/d387/11223260/60d44bce3a06/ao4c00929_0004.jpg
https://cdn.ncbi.nlm.nih.gov/pmc/blobs/d387/11223260/4e6582042cd7/ao4c00929_0005.jpg
https://cdn.ncbi.nlm.nih.gov/pmc/blobs/d387/11223260/dc4886034d51/ao4c00929_0006.jpg
https://cdn.ncbi.nlm.nih.gov/pmc/blobs/d387/11223260/acc80d092a2a/ao4c00929_0007.jpg
https://cdn.ncbi.nlm.nih.gov/pmc/blobs/d387/11223260/c2c87efbe676/ao4c00929_0008.jpg
https://cdn.ncbi.nlm.nih.gov/pmc/blobs/d387/11223260/417a1c8384b5/ao4c00929_0009.jpg

相似文献

1
Identifying Novel Therapeutics for the Resistant Mutant "F533L" in PBP3 of Using ML Techniques.利用机器学习技术鉴定针对PBP3中抗性突变体“F533L”的新型疗法。
ACS Omega. 2024 Jun 14;9(26):28046-28060. doi: 10.1021/acsomega.4c00929. eCollection 2024 Jul 2.
2
Cheminformatics identification of phenolics as modulators of penicillin-binding protein-3 of towards interventive antibacterial therapy.通过 cheminformatics 鉴定酚类化合物作为青霉素结合蛋白 3 的调节剂,以实现干预性抗菌治疗。
J Biomol Struct Dyn. 2024 Jan-Feb;42(1):298-313. doi: 10.1080/07391102.2023.2192808. Epub 2023 Mar 28.
3
Structural Characterization of Diazabicyclooctane β-Lactam "Enhancers" in Complex with Penicillin-Binding Proteins PBP2 and PBP3 of Pseudomonas aeruginosa.与铜绿假单胞菌青霉素结合蛋白 PBP2 和 PBP3 复合物中二氮杂二环辛烷 β-内酰胺“增强剂”的结构特征。
mBio. 2021 Feb 16;12(1):e03058-20. doi: 10.1128/mBio.03058-20.
4
Cefiderocol susceptibility endows hope in treating carbapenem-resistant : insights from and evidence.头孢地尔敏感性为治疗碳青霉烯类耐药菌带来希望:来自……的见解和证据
RSC Adv. 2024 Jul 8;14(30):21328-21341. doi: 10.1039/d4ra04302b. eCollection 2024 Jul 5.
5
[Virtual screening and antibacterial activity of lead compounds targeting to penicillin-binding protein 3 (PBP3) of Pseudomonas aeruginosa].[靶向铜绿假单胞菌青霉素结合蛋白3(PBP3)的先导化合物的虚拟筛选及抗菌活性]
Wei Sheng Wu Xue Bao. 2016 Feb 4;56(2):219-31.
6
PBP Target Profiling by β-Lactam and β-Lactamase Inhibitors in Intact Pseudomonas aeruginosa: Effects of the Intrinsic and Acquired Resistance Determinants on the Periplasmic Drug Availability.β-内酰胺类抗生素及其抑制剂对铜绿假单胞菌的 PBP 靶位分析:固有和获得性耐药决定因素对胞周药物可及性的影响。
Microbiol Spectr. 2023 Feb 14;11(1):e0303822. doi: 10.1128/spectrum.03038-22. Epub 2022 Dec 8.
7
Discovery of Pyrrolidine-2,3-diones as Novel Inhibitors of PBP3.吡咯烷-2,3-二酮作为青霉素结合蛋白3新型抑制剂的发现。
Antibiotics (Basel). 2021 May 4;10(5):529. doi: 10.3390/antibiotics10050529.
8
Molecular Characterization of WCK 5222 (Cefepime/Zidebactam)-Resistant Mutants Developed from a Carbapenem-Resistant Pseudomonas aeruginosa Clinical Isolate.从一株耐碳青霉烯铜绿假单胞菌临床分离株中筛选出对 WCK 5222(头孢吡肟/齐他培南)耐药的突变株,并对其进行分子特征分析。
Microbiol Spectr. 2022 Feb 23;10(1):e0267821. doi: 10.1128/spectrum.02678-21.
9
Influence of the α-Methoxy Group on the Reaction of Temocillin with Pseudomonas aeruginosa PBP3 and CTX-M-14 β-Lactamase.α-甲氧基对替莫西林与铜绿假单胞菌 PBP3 和 CTX-M-14 β-内酰胺酶反应的影响。
Antimicrob Agents Chemother. 2019 Dec 20;64(1). doi: 10.1128/AAC.01473-19.
10
Structure based virtual screening and molecular dynamics of natural anti-biofilm compounds against SagS response regulator/sensor kinase in .基于结构的虚拟筛选和天然抗生物膜化合物对 SagS 反应调节剂/传感器激酶的分子动力学研究。
J Biomol Struct Dyn. 2023 Aug-Sep;41(13):6011-6026. doi: 10.1080/07391102.2022.2100482. Epub 2022 Jul 22.

引用本文的文献

1
Hispidulin: a potential alternative to vorinostat against HDAC1 for acute myeloid leukemia.毛兰素:一种针对急性髓系白血病中HDAC1的、可能替代伏立诺他的药物。
Discov Oncol. 2025 Jul 22;16(1):1389. doi: 10.1007/s12672-025-03182-y.
2
Pharmacokinetics Screening, Molecular Docking, and Dynamics Simulations Revealed Novel Antimicrobial Peptide NKLF2 Mutants as Potent Inhibitors of Mycobacterium tuberculosis.药代动力学筛选、分子对接和动力学模拟揭示新型抗菌肽NKLF2突变体作为结核分枝杆菌的有效抑制剂
Probiotics Antimicrob Proteins. 2025 Jun 11. doi: 10.1007/s12602-025-10608-0.
3
Novel therapeutic strategies targeting infections caused by P. aeruginosa biofilm.

本文引用的文献

1
Pseudomonasaeruginosa antimicrobial susceptibility profiles, resistance mechanisms and international clonal lineages: update from ESGARS-ESCMID/ISARPAE Group.铜绿假单胞菌抗菌药物敏感性谱、耐药机制及国际克隆谱系:ESGARS-ESCMID/ISARPAE 集团的最新研究进展。
Clin Microbiol Infect. 2024 Apr;30(4):469-480. doi: 10.1016/j.cmi.2023.12.026. Epub 2023 Dec 30.
2
3D interaction homology: The hydrophobic residues alanine, isoleucine, leucine, proline and valine play different structural roles in soluble and membrane proteins.3D相互作用同源性:疏水性残基丙氨酸、异亮氨酸、亮氨酸、脯氨酸和缬氨酸在可溶性蛋白和膜蛋白中发挥不同的结构作用。
Front Mol Biosci. 2023 Mar 28;10:1116868. doi: 10.3389/fmolb.2023.1116868. eCollection 2023.
3
针对铜绿假单胞菌生物膜引起的感染的新型治疗策略。
Mol Biol Rep. 2025 Jun 9;52(1):571. doi: 10.1007/s11033-025-10683-0.
4
Unveiling Berberine analogues as potential inhibitors of Escherichia coli FtsZ through machine learning molecular docking and molecular dynamics approach.通过机器学习分子对接和分子动力学方法揭示小檗碱类似物作为大肠杆菌FtsZ的潜在抑制剂
Sci Rep. 2025 Apr 26;15(1):14668. doi: 10.1038/s41598-025-98835-x.
5
Synthesis of novel sulphonamide derivatives from tunable quinolines with computational studies.基于计算研究从可调喹啉合成新型磺酰胺衍生物
Sci Rep. 2025 Mar 31;15(1):10972. doi: 10.1038/s41598-025-94817-1.
6
Machine learning and cheminformatics-based Identification of lichen-derived compounds targeting mutant PBP4 in Staphylococcus aureus.基于机器学习和化学信息学的地衣衍生化合物鉴定:靶向金黄色葡萄球菌中的突变型PBP4
Mol Divers. 2025 Feb 15. doi: 10.1007/s11030-025-11125-6.
7
Respiratory tract infections: an update on the complexity of bacterial diversity, therapeutic interventions and breakthroughs.呼吸道感染:细菌多样性、治疗干预和突破的复杂性更新。
Arch Microbiol. 2024 Aug 17;206(9):382. doi: 10.1007/s00203-024-04107-z.
Molecular Mechanisms of Resistance to Ceftazidime/Avibactam in Clinical Isolates of and Pseudomonas aeruginosa in Latin American Hospitals.
拉丁美洲医院中 与铜绿假单胞菌临床分离株对头孢他啶/阿维巴坦耐药的分子机制。
mSphere. 2023 Apr 20;8(2):e0065122. doi: 10.1128/msphere.00651-22. Epub 2023 Mar 6.
4
Pseudomonas aeruginosa: pathogenesis, virulence factors, antibiotic resistance, interaction with host, technology advances and emerging therapeutics.铜绿假单胞菌:发病机制、毒力因子、抗生素耐药性、与宿主的相互作用、技术进展和新兴治疗方法。
Signal Transduct Target Ther. 2022 Jun 25;7(1):199. doi: 10.1038/s41392-022-01056-1.
5
Resistance to Ceftazidime/Avibactam, Meropenem/Vaborbactam and Imipenem/Relebactam in Gram-Negative MDR Bacilli: Molecular Mechanisms and Susceptibility Testing.革兰氏阴性多重耐药杆菌对头孢他啶/阿维巴坦、美罗培南/瓦博巴坦和亚胺培南/瑞来巴坦的耐药性:分子机制与药敏试验
Antibiotics (Basel). 2022 May 6;11(5):628. doi: 10.3390/antibiotics11050628.
6
Global burden of bacterial antimicrobial resistance in 2019: a systematic analysis.2019 年全球细菌对抗菌药物耐药性的负担:系统分析。
Lancet. 2022 Feb 12;399(10325):629-655. doi: 10.1016/S0140-6736(21)02724-0. Epub 2022 Jan 19.
7
β-lactam Resistance in : Current Status, Future Prospects.β-内酰胺类抗生素耐药性:现状与未来展望
Pathogens. 2021 Dec 18;10(12):1638. doi: 10.3390/pathogens10121638.
8
The Epidemiology and Pathogenesis and Treatment of Pseudomonas aeruginosa Infections: An Update.铜绿假单胞菌感染的流行病学、发病机制和治疗:最新进展。
Drugs. 2021 Dec;81(18):2117-2131. doi: 10.1007/s40265-021-01635-6. Epub 2021 Nov 7.
9
Pseudomonas aeruginosa: an antibiotic resilient pathogen with environmental origin.铜绿假单胞菌:一种具有环境起源的抗生素耐药病原体。
Curr Opin Microbiol. 2021 Dec;64:125-132. doi: 10.1016/j.mib.2021.09.010. Epub 2021 Oct 26.
10
gmx_MMPBSA: A New Tool to Perform End-State Free Energy Calculations with GROMACS.gmx_MMPBSA:一种使用GROMACS进行终态自由能计算的新工具。
J Chem Theory Comput. 2021 Oct 12;17(10):6281-6291. doi: 10.1021/acs.jctc.1c00645. Epub 2021 Sep 29.