• 文献检索
  • 文档翻译
  • 深度研究
  • 学术资讯
  • Suppr Zotero 插件Zotero 插件
  • 邀请有礼
  • 套餐&价格
  • 历史记录
应用&插件
Suppr Zotero 插件Zotero 插件浏览器插件Mac 客户端Windows 客户端微信小程序
定价
高级版会员购买积分包购买API积分包
服务
文献检索文档翻译深度研究API 文档MCP 服务
关于我们
关于 Suppr公司介绍联系我们用户协议隐私条款
关注我们

Suppr 超能文献

核心技术专利:CN118964589B侵权必究
粤ICP备2023148730 号-1Suppr @ 2026

文献检索

告别复杂PubMed语法,用中文像聊天一样搜索,搜遍4000万医学文献。AI智能推荐,让科研检索更轻松。

立即免费搜索

文件翻译

保留排版,准确专业,支持PDF/Word/PPT等文件格式,支持 12+语言互译。

免费翻译文档

深度研究

AI帮你快速写综述,25分钟生成高质量综述,智能提取关键信息,辅助科研写作。

立即免费体验

早期治疗时的僵硬程度下降归因于纤维化慢性乙型肝炎患者肝脏炎症的改善。

The Early On-treatment Stiffness Decline Attributed to the Improved Hepatic Inflammation in Fibrotic Chronic Hepatitis B.

作者信息

Li Mingwei, Yao Mingjie, Wang Leijie, Liu Yanna, Ji Dong, Yang Yongping, Lu Fengmin

机构信息

Research Center for Clinical Medical Sciences, the Fourth Hospital of Shijiazhuang, Shijiazhuang, China.

Department of Epidemiology, College of Public Health, Zhengzhou University, Zhengzhou, China.

出版信息

J Clin Gastroenterol. 2025;59(5):456-463. doi: 10.1097/MCG.0000000000002032. Epub 2024 Jul 11.

DOI:10.1097/MCG.0000000000002032
PMID:38990730
原文链接:https://pmc.ncbi.nlm.nih.gov/articles/PMC11974622/
Abstract

OBJECTIVES

Hepatic inflammation, the driver of fibrosis progression in liver disease, can impact the accuracy of liver stiffness measurement (LSM). We wondered whether the decline in LSM value during the early antiviral phase was mainly attributed to the control of hepatic inflammation or the regression of fibrosis in patients with fibrotic/cirrhotic chronic hepatitis B (CHB).

PATIENTS AND METHODS

The study cohort was composed of 82 patients with CHB who underwent antiviral and antifibrotic therapy at the Fifth Medical Center of PLA General Hospital. All patients had liver biopsies at both baseline and 72 weeks posttherapy. Liver pathology and clinical data, including the LSM value, were collected.

RESULTS

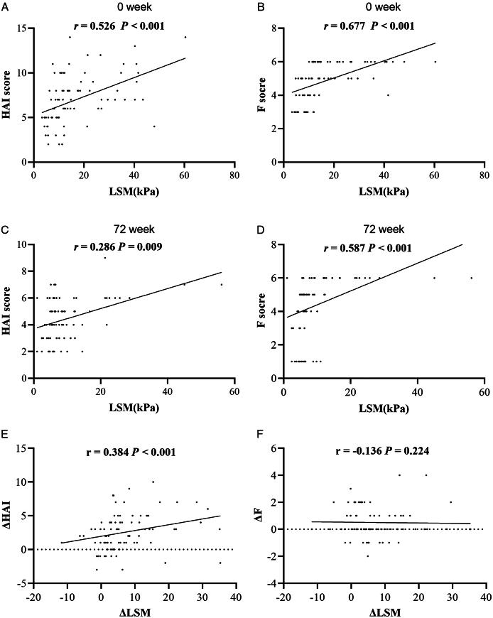
After 72 weeks of treatment, both the histologic activity index score and fibrosis score, as well as the LSM value, were significantly decreased ( P < 0.001), compared with their baseline values. The pretreatment correlation of LSM value with either histologic activity index score ( r = 0.526 vs r = 0.286) or fibrosis score ( r = 0.677 vs r = 0.587) was attenuated at 72 weeks. Notably, logistic regression analysis revealed that the improvement in inflammation (odds ratio = 1.018, 95% CI: 1.002-1.031, P = 0.023) but not fibrosis (odds ratio = 0.994, 95% CI: 0.980-1.009, P = 0.414), had an impact on the change in LSM values between baseline and at 72-week treatment.

CONCLUSIONS

The findings of this study suggest that in patients with fibrotic CHB receiving antiviral medication, the early phase reduction in LSM value was related to improved hepatic inflammation rather than fibrosis regression.

摘要

目的

肝脏炎症是肝病纤维化进展的驱动因素,可影响肝脏硬度测量(LSM)的准确性。我们想知道,在纤维化/肝硬化慢性乙型肝炎(CHB)患者的抗病毒治疗早期阶段,LSM值的下降主要是归因于肝脏炎症的控制还是纤维化的消退。

患者与方法

研究队列由82例在解放军总医院第五医学中心接受抗病毒和抗纤维化治疗的CHB患者组成。所有患者在基线和治疗后72周均接受了肝脏活检。收集肝脏病理和临床数据,包括LSM值。

结果

治疗72周后,组织学活动指数评分、纤维化评分以及LSM值均较基线值显著降低(P<0.001)。LSM值与组织学活动指数评分(r=0.526 vs r=0.286)或纤维化评分(r=0.677 vs r=0.587)的预处理相关性在72周时减弱。值得注意的是,逻辑回归分析显示,炎症的改善(比值比=1.018,95%CI:1.002-1.031,P=0.023)而非纤维化的改善(比值比=0.994,95%CI:0.980-1.009,P=0.414),对基线和治疗72周时LSM值的变化有影响。

结论

本研究结果表明,在接受抗病毒药物治疗的纤维化CHB患者中,LSM值在早期阶段的降低与肝脏炎症改善有关,而非纤维化消退。

https://cdn.ncbi.nlm.nih.gov/pmc/blobs/e11e/11974622/ae1f3951bc9d/mcg-59-456-g004.jpg
https://cdn.ncbi.nlm.nih.gov/pmc/blobs/e11e/11974622/3effb57b6fa0/mcg-59-456-g001.jpg
https://cdn.ncbi.nlm.nih.gov/pmc/blobs/e11e/11974622/2f2244ad2920/mcg-59-456-g002.jpg
https://cdn.ncbi.nlm.nih.gov/pmc/blobs/e11e/11974622/f621d57d3726/mcg-59-456-g003.jpg
https://cdn.ncbi.nlm.nih.gov/pmc/blobs/e11e/11974622/ae1f3951bc9d/mcg-59-456-g004.jpg
https://cdn.ncbi.nlm.nih.gov/pmc/blobs/e11e/11974622/3effb57b6fa0/mcg-59-456-g001.jpg
https://cdn.ncbi.nlm.nih.gov/pmc/blobs/e11e/11974622/2f2244ad2920/mcg-59-456-g002.jpg
https://cdn.ncbi.nlm.nih.gov/pmc/blobs/e11e/11974622/f621d57d3726/mcg-59-456-g003.jpg
https://cdn.ncbi.nlm.nih.gov/pmc/blobs/e11e/11974622/ae1f3951bc9d/mcg-59-456-g004.jpg

相似文献

1
The Early On-treatment Stiffness Decline Attributed to the Improved Hepatic Inflammation in Fibrotic Chronic Hepatitis B.早期治疗时的僵硬程度下降归因于纤维化慢性乙型肝炎患者肝脏炎症的改善。
J Clin Gastroenterol. 2025;59(5):456-463. doi: 10.1097/MCG.0000000000002032. Epub 2024 Jul 11.
2
Declining in liver stiffness cannot indicate fibrosis regression in patients with chronic hepatitis B: A 78-week prospective study.慢性乙型肝炎患者肝硬度下降不能提示纤维化逆转:一项 78 周前瞻性研究。
J Gastroenterol Hepatol. 2019 Apr;34(4):755-763. doi: 10.1111/jgh.14498. Epub 2018 Nov 8.
3
On-treatment monitoring of liver fibrosis with transient elastography in chronic hepatitis B patients.慢性乙型肝炎患者肝纤维化的瞬时弹性成像治疗期间监测
Antivir Ther. 2011;16(2):165-72. doi: 10.3851/IMP1726.
4
Longitudinal monitoring of liver fibrosis status by transient elastography in chronic hepatitis B patients during long-term entecavir treatment.长期恩替卡韦治疗慢性乙型肝炎患者肝纤维化状态的瞬时弹性成像纵向监测。
Clin Exp Med. 2018 Aug;18(3):433-443. doi: 10.1007/s10238-018-0501-x. Epub 2018 Apr 25.
5
Early steep decline of liver stiffness predicts histological reversal of fibrosis in chronic hepatitis B patients treated with entecavir.恩替卡韦治疗的慢性乙型肝炎患者肝硬度早期快速下降可预测肝纤维化的组织学逆转。
J Viral Hepat. 2019 May;26(5):576-585. doi: 10.1111/jvh.13058. Epub 2019 Feb 14.
6
Assessment of hepatic fibrosis regression by transient elastography in patients with chronic hepatitis B treated with oral antiviral agents.应用瞬时弹性成像评估口服抗病毒药物治疗的慢性乙型肝炎患者肝纤维化的逆转情况。
J Korean Med Sci. 2014 Apr;29(4):570-5. doi: 10.3346/jkms.2014.29.4.570. Epub 2014 Apr 1.
7
Interpretation of liver stiffness measurement-based approach for the monitoring of hepatitis B patients with antiviral therapy: A 2-year prospective study.基于肝脏硬度测量的方法在监测乙肝抗病毒治疗患者中的应用解读:一项为期2年的前瞻性研究。
J Viral Hepat. 2018 Mar;25(3):296-305. doi: 10.1111/jvh.12814. Epub 2017 Nov 29.
8
Gadolinium-ethoxybenzyl-diethylenetriamine penta-acetic acid-enhanced magnetic resonance imaging for evaluating fibrosis regression in chronic hepatitis C patients after direct-acting antiviral.钆特醇乙氧苯甲基二乙三胺五乙酸增强磁共振成像用于评估直接作用抗病毒治疗后慢性丙型肝炎患者纤维化的逆转。
World J Gastroenterol. 2022 May 28;28(20):2214-2226. doi: 10.3748/wjg.v28.i20.2214.
9
Diverse correlations between fibrosis-related factors and liver stiffness measurement by transient elastography in chronic hepatitis B.慢性乙型肝炎中纤维化相关因素与瞬时弹性成像测量肝脏硬度之间的多种相关性。
Eur J Gastroenterol Hepatol. 2018 Feb;30(2):217-225. doi: 10.1097/MEG.0000000000001023.
10
How intrahepatic cholestasis affects liver stiffness in patients with chronic hepatitis B: a study of 1197 patients with liver biopsy.肝内胆汁淤积如何影响慢性乙型肝炎患者的肝硬度:一项 1197 例肝活检患者的研究。
Eur Radiol. 2020 Feb;30(2):1096-1104. doi: 10.1007/s00330-019-06451-x. Epub 2019 Oct 30.

本文引用的文献

1
Guidelines for the Prevention, Diagnosis, Care and Treatment for People with Chronic Hepatitis B Infection (Text Extract): Executive Summary.慢性乙型肝炎感染者预防、诊断、照护及治疗指南(文本摘录):执行摘要
Infect Dis Immun. 2024 Jul;4(3):103-105. doi: 10.1097/ID9.0000000000000128. Epub 2024 Jun 12.
2
Unreliable Estimation of Fibrosis Regression During Treatment by Liver Stiffness Measurement in Patients With Chronic Hepatitis B.慢性乙型肝炎患者肝硬度测量在治疗期间纤维化消退的不可靠估计。
Am J Gastroenterol. 2021 Aug 1;116(8):1676-1685. doi: 10.14309/ajg.0000000000001239.
3
Effect of liver inflammation on accuracy of FibroScan device in assessing liver fibrosis stage in patients with chronic hepatitis B virus infection.
肝脏炎症对FibroScan设备评估慢性乙型肝炎病毒感染患者肝纤维化分期准确性的影响。
World J Gastroenterol. 2021 Feb 21;27(7):641-653. doi: 10.3748/wjg.v27.i7.641.
4
[Diagnostic value of liver stiffness measurement for the evaluation of liver fibrosis in nonalcoholic fatty liver].肝脏硬度测量对非酒精性脂肪性肝病肝纤维化评估的诊断价值
Zhonghua Gan Zang Bing Za Zhi. 2020 Jul 20;28(7):567-572. doi: 10.3760/cma.j.cn501113-20190302-00065.
5
[Highlights of the guidelines of prevention and treatment for chronic hepatitis B (2019 version)].[慢性乙型肝炎防治指南(2019年版)要点]
Zhonghua Gan Zang Bing Za Zhi. 2020 Jan 20;28(1):21-23. doi: 10.3760/cma.j.issn.1007-3418.2020.01.006.
6
Liver Stiffness Measurement Can Reflect the Active Liver Necroinflammation in Population with Chronic Liver Disease: A Real-world Evidence Study.肝脏硬度测量可反映慢性肝病患者的活动性肝脏坏死性炎症:一项真实世界证据研究。
J Clin Transl Hepatol. 2019 Dec 28;7(4):313-321. doi: 10.14218/JCTH.2019.00040. Epub 2019 Dec 11.
7
Declining in liver stiffness cannot indicate fibrosis regression in patients with chronic hepatitis B: A 78-week prospective study.慢性乙型肝炎患者肝硬度下降不能提示纤维化逆转:一项 78 周前瞻性研究。
J Gastroenterol Hepatol. 2019 Apr;34(4):755-763. doi: 10.1111/jgh.14498. Epub 2018 Nov 8.
8
Update on prevention, diagnosis, and treatment of chronic hepatitis B: AASLD 2018 hepatitis B guidance.慢性乙型肝炎的预防、诊断和治疗最新进展:美国肝病研究学会2018年乙型肝炎指南
Hepatology. 2018 Apr;67(4):1560-1599. doi: 10.1002/hep.29800.
9
American Gastroenterological Association Institute Technical Review on the Role of Elastography in Chronic Liver Diseases.美国胃肠病学会协会弹性成像技术在慢性肝病中的作用技术评论。
Gastroenterology. 2017 May;152(6):1544-1577. doi: 10.1053/j.gastro.2017.03.016.
10
EASL 2017 Clinical Practice Guidelines on the management of hepatitis B virus infection.EASL 2017 临床实践指南:乙型肝炎病毒感染管理。
J Hepatol. 2017 Aug;67(2):370-398. doi: 10.1016/j.jhep.2017.03.021. Epub 2017 Apr 18.