• 文献检索
  • 文档翻译
  • 深度研究
  • 学术资讯
  • Suppr Zotero 插件Zotero 插件
  • 邀请有礼
  • 套餐&价格
  • 历史记录
应用&插件
Suppr Zotero 插件Zotero 插件浏览器插件Mac 客户端Windows 客户端微信小程序
定价
高级版会员购买积分包购买API积分包
服务
文献检索文档翻译深度研究API 文档MCP 服务
关于我们
关于 Suppr公司介绍联系我们用户协议隐私条款
关注我们

Suppr 超能文献

核心技术专利:CN118964589B侵权必究
粤ICP备2023148730 号-1Suppr @ 2026

文献检索

告别复杂PubMed语法,用中文像聊天一样搜索,搜遍4000万医学文献。AI智能推荐,让科研检索更轻松。

立即免费搜索

文件翻译

保留排版,准确专业,支持PDF/Word/PPT等文件格式,支持 12+语言互译。

免费翻译文档

深度研究

AI帮你快速写综述,25分钟生成高质量综述,智能提取关键信息,辅助科研写作。

立即免费体验

中国短吻鳄冬眠期和活跃期后肢肌肉的全基因组DNA甲基化特征

The Whole Genome DNA Methylation Signatures of Hindlimb Muscles in Chinese Alligators during Hibernation and Active Periods.

作者信息

Zhang Jihui, Wu Xiaobing

机构信息

School of Food Science and Biology Engineering, Wuhu Institute of Technology, Wuhu 241000, China.

College of Life Sciences, Anhui Normal University, Wuhu 241000, China.

出版信息

Animals (Basel). 2024 Jul 3;14(13):1972. doi: 10.3390/ani14131972.

DOI:10.3390/ani14131972
PMID:38998084
原文链接:https://pmc.ncbi.nlm.nih.gov/articles/PMC11240547/
Abstract

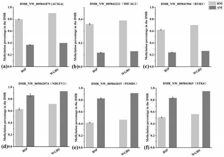
Many ectotherms hibernate to increase their chances of survival during harsh winter conditions. The role of DNA methylation in regulating gene expression related to hibernation in ectotherms remains unclear. Here, we employed whole-genome bisulfite sequencing (WGBS) technology to construct a comprehensive genome-wide DNA methylation landscape of the hindlimb muscles in the Chinese alligator during hibernation and active periods. The results indicated that methylation modifications were most abundant at CG sites, identifying 9447 differentially methylated regions (DMRs) and 2329 differentially methylated genes (DMGs). KEGG pathway enrichment analysis of the DMGs revealed significant enrichment in major pathways such as the neurotrophin signaling pathway, the MAPK signaling pathway, the GnRH signaling pathway, the biosynthesis of amino acids, and the regulation of the actin cytoskeleton, which are closely related to lipid metabolism, energy metabolism, and amino acid metabolism. Among these, 412 differentially methylated genes were located in promoter regions, including genes related to energy metabolism such as ATP5F1C, ATP5MD, PDK3, ANGPTL1, and ANGPTL2, and genes related to ubiquitin-proteasome degradation such as FBXO28, FBXO43, KLHL40, and PSMD5. These findings suggest that methylation in promoter regions may play a significant role in regulating the adaptive hibernation mechanisms in the Chinese alligator. This study contributes to a further understanding of the epigenetic mechanisms behind the hibernation of the Chinese alligator.

摘要

许多变温动物会冬眠,以增加在严酷冬季条件下的生存几率。DNA甲基化在调节变温动物冬眠相关基因表达中的作用仍不清楚。在此,我们采用全基因组亚硫酸氢盐测序(WGBS)技术,构建了扬子鳄在冬眠期和活跃期后肢肌肉全基因组范围内全面的DNA甲基化图谱。结果表明,甲基化修饰在CG位点最为丰富,共鉴定出9447个差异甲基化区域(DMR)和2329个差异甲基化基因(DMG)。对DMG的KEGG通路富集分析显示,在神经营养因子信号通路、MAPK信号通路、GnRH信号通路、氨基酸生物合成以及肌动蛋白细胞骨架调节等主要通路中显著富集,这些通路与脂质代谢、能量代谢和氨基酸代谢密切相关。其中,412个差异甲基化基因位于启动子区域,包括与能量代谢相关的基因如ATP5F1C、ATP5MD、PDK3、ANGPTL1和ANGPTL2,以及与泛素 - 蛋白酶体降解相关的基因如FBXO28、FBXO43、KLHL40和PSMD5。这些发现表明,启动子区域的甲基化可能在调节扬子鳄的适应性冬眠机制中发挥重要作用。本研究有助于进一步了解扬子鳄冬眠背后的表观遗传机制。

https://cdn.ncbi.nlm.nih.gov/pmc/blobs/f900/11240547/69f82ac7f898/animals-14-01972-g006.jpg
https://cdn.ncbi.nlm.nih.gov/pmc/blobs/f900/11240547/efbd7b3ee62d/animals-14-01972-g001.jpg
https://cdn.ncbi.nlm.nih.gov/pmc/blobs/f900/11240547/5a728ba1dfa3/animals-14-01972-g002.jpg
https://cdn.ncbi.nlm.nih.gov/pmc/blobs/f900/11240547/caf6f81f248e/animals-14-01972-g003.jpg
https://cdn.ncbi.nlm.nih.gov/pmc/blobs/f900/11240547/c2b242eb8791/animals-14-01972-g004.jpg
https://cdn.ncbi.nlm.nih.gov/pmc/blobs/f900/11240547/facfd592fe8e/animals-14-01972-g005.jpg
https://cdn.ncbi.nlm.nih.gov/pmc/blobs/f900/11240547/69f82ac7f898/animals-14-01972-g006.jpg
https://cdn.ncbi.nlm.nih.gov/pmc/blobs/f900/11240547/efbd7b3ee62d/animals-14-01972-g001.jpg
https://cdn.ncbi.nlm.nih.gov/pmc/blobs/f900/11240547/5a728ba1dfa3/animals-14-01972-g002.jpg
https://cdn.ncbi.nlm.nih.gov/pmc/blobs/f900/11240547/caf6f81f248e/animals-14-01972-g003.jpg
https://cdn.ncbi.nlm.nih.gov/pmc/blobs/f900/11240547/c2b242eb8791/animals-14-01972-g004.jpg
https://cdn.ncbi.nlm.nih.gov/pmc/blobs/f900/11240547/facfd592fe8e/animals-14-01972-g005.jpg
https://cdn.ncbi.nlm.nih.gov/pmc/blobs/f900/11240547/69f82ac7f898/animals-14-01972-g006.jpg

相似文献

1
The Whole Genome DNA Methylation Signatures of Hindlimb Muscles in Chinese Alligators during Hibernation and Active Periods.中国短吻鳄冬眠期和活跃期后肢肌肉的全基因组DNA甲基化特征
Animals (Basel). 2024 Jul 3;14(13):1972. doi: 10.3390/ani14131972.
2
A Unique Energy-Saving Strategy during Hibernation Revealed by Multi-Omics Analysis in the Chinese Alligator.多组学分析揭示扬子鳄冬眠期间独特的节能策略
iScience. 2020 Jun 26;23(6):101202. doi: 10.1016/j.isci.2020.101202. Epub 2020 May 27.
3
Molecular mechanism of Chinese alligator (Alligator sinensis) adapting to hibernation.扬子鳄(Alligator sinensis)适应冬眠的分子机制。
J Exp Zool B Mol Dev Evol. 2021 Jan;336(1):32-49. doi: 10.1002/jez.b.23013. Epub 2020 Nov 24.
4
Analysis of DNA methylation profiles during sheep skeletal muscle development using whole-genome bisulfite sequencing.利用全基因组亚硫酸氢盐测序分析绵羊骨骼肌发育过程中的 DNA 甲基化图谱。
BMC Genomics. 2020 Apr 29;21(1):327. doi: 10.1186/s12864-020-6751-5.
5
Genome-wide DNA methylation analysis reveals different methylation patterns in Chinese indigenous sheep with different type of tail.全基因组DNA甲基化分析揭示了不同尾型中国本土绵羊的不同甲基化模式。
Front Vet Sci. 2023 May 5;10:1125262. doi: 10.3389/fvets.2023.1125262. eCollection 2023.
6
The Integration of Genome-Wide DNA Methylation and Transcriptomics Identifies the Potential Genes That Regulate the Development of Skeletal Muscles in Ducks.全基因组 DNA 甲基化和转录组学的整合鉴定了调控鸭骨骼肌发育的潜在基因。
Int J Mol Sci. 2023 Oct 23;24(20):15476. doi: 10.3390/ijms242015476.
7
Genome-wide DNA methylation reveals potential epigenetic mechanism of age-dependent viral susceptibility in grass carp.全基因组DNA甲基化揭示了草鱼年龄依赖性病毒易感性的潜在表观遗传机制。
Immun Ageing. 2022 Jun 2;19(1):28. doi: 10.1186/s12979-022-00285-w.
8
Genome-wide DNA methylation profiles provide insight into epigenetic regulation of red and white muscle development in Chinese perch Siniperca chuatsi.全基因组DNA甲基化图谱为鳜鱼红肌和白肌发育的表观遗传调控提供了见解。
Comp Biochem Physiol B Biochem Mol Biol. 2021 Oct-Dec;256:110647. doi: 10.1016/j.cbpb.2021.110647. Epub 2021 Jul 14.
9
Analysis of Genome DNA Methylation at Inherited Coat Color Dilutions of Rex Rabbits.獭兔遗传毛色稀释位点的基因组DNA甲基化分析
Front Genet. 2021 Jan 21;11:603528. doi: 10.3389/fgene.2020.603528. eCollection 2020.
10
Molecular cloning, characterization, tissue distribution and mRNA expression changes during the hibernation and reproductive periods of estrogen receptor alpha (ESR1) in Chinese alligator, Alligator sinensis.扬子鳄雌激素受体α(ESR1)的分子克隆、特征分析、组织分布及其在冬眠和繁殖期的mRNA表达变化
Comp Biochem Physiol B Biochem Mol Biol. 2016 Oct;200:28-35. doi: 10.1016/j.cbpb.2016.05.001. Epub 2016 May 20.

本文引用的文献

1
Annonaceous acetogenins as promising DNA methylation inhibitors to prevent and treat leukemogenesis - an approach.番荔枝乙酰精作为有前景的DNA甲基化抑制剂用于预防和治疗白血病发生——一种方法。
J Biomol Struct Dyn. 2025 Apr;43(6):3116-3129. doi: 10.1080/07391102.2023.2297010. Epub 2023 Dec 27.
2
Correction: Ontogenetic changes in limb posture, kinematics, forces and joint moments in American alligators (Alligator mississippiensis).更正:美国短吻鳄(密西西比鳄)肢体姿势、运动学、力和关节力矩的个体发育变化。
J Exp Biol. 2022 Jul 15;225(14). doi: 10.1242/jeb.244724. Epub 2022 Jul 14.
3
Functional and post-translational characterization of pyruvate dehydrogenase demonstrates repression of activity in the liver but not skeletal muscle of the Richardson's ground squirrel (Urocitellus richardsonii) during hibernation.
丙酮酸脱氢酶的功能及翻译后特征表明,在冬眠期间,理查森地松鼠(Urocitellus richardsonii)肝脏中的丙酮酸脱氢酶活性受到抑制,而骨骼肌中的活性未受抑制。
J Therm Biol. 2021 Jul;99:102996. doi: 10.1016/j.jtherbio.2021.102996. Epub 2021 May 15.
4
A comprehensive epigenome atlas reveals DNA methylation regulating skeletal muscle development.全面的表观基因组图谱揭示了调节骨骼肌发育的 DNA 甲基化。
Nucleic Acids Res. 2021 Feb 22;49(3):1313-1329. doi: 10.1093/nar/gkaa1203.
5
Molecular mechanism of Chinese alligator (Alligator sinensis) adapting to hibernation.扬子鳄(Alligator sinensis)适应冬眠的分子机制。
J Exp Zool B Mol Dev Evol. 2021 Jan;336(1):32-49. doi: 10.1002/jez.b.23013. Epub 2020 Nov 24.
6
MicroRNA dynamics during hibernation of the Australian central bearded dragon (Pogona vitticeps).澳大利亚中部鬃狮蜥(鬃狮蜥)冬眠期间的微小RNA动态变化
Sci Rep. 2020 Oct 20;10(1):17854. doi: 10.1038/s41598-020-73706-9.
7
A Unique Energy-Saving Strategy during Hibernation Revealed by Multi-Omics Analysis in the Chinese Alligator.多组学分析揭示扬子鳄冬眠期间独特的节能策略
iScience. 2020 Jun 26;23(6):101202. doi: 10.1016/j.isci.2020.101202. Epub 2020 May 27.
8
Epigenetic alterations in cancer.癌症中的表观遗传改变。
Front Biosci (Landmark Ed). 2020 Mar 1;25(6):1058-1109. doi: 10.2741/4847.
9
Priority Strategy of Intracellular Ca Homeostasis in Skeletal Muscle Fibers During the Multiple Stresses of Hibernation.冬眠中骨骼肌纤维多重应激时细胞内钙离子稳态的优先策略。
Cells. 2019 Dec 22;9(1):42. doi: 10.3390/cells9010042.
10
Metagenomics Reveals Seasonal Functional Adaptation of the Gut Microbiome to Host Feeding and Fasting in the Chinese Alligator.宏基因组学揭示了扬子鳄肠道微生物群对宿主进食和禁食的季节性功能适应。
Front Microbiol. 2019 Oct 25;10:2409. doi: 10.3389/fmicb.2019.02409. eCollection 2019.