• 文献检索
  • 文档翻译
  • 深度研究
  • 学术资讯
  • Suppr Zotero 插件Zotero 插件
  • 邀请有礼
  • 套餐&价格
  • 历史记录
应用&插件
Suppr Zotero 插件Zotero 插件浏览器插件Mac 客户端Windows 客户端微信小程序
定价
高级版会员购买积分包购买API积分包
服务
文献检索文档翻译深度研究API 文档MCP 服务
关于我们
关于 Suppr公司介绍联系我们用户协议隐私条款
关注我们

Suppr 超能文献

核心技术专利:CN118964589B侵权必究
粤ICP备2023148730 号-1Suppr @ 2026

文献检索

告别复杂PubMed语法,用中文像聊天一样搜索,搜遍4000万医学文献。AI智能推荐,让科研检索更轻松。

立即免费搜索

文件翻译

保留排版,准确专业,支持PDF/Word/PPT等文件格式,支持 12+语言互译。

免费翻译文档

深度研究

AI帮你快速写综述,25分钟生成高质量综述,智能提取关键信息,辅助科研写作。

立即免费体验

解磷细菌增强小麦根系中镉的固定作用及基因表达以减少镉吸收

Phosphorus-Solubilizing Bacteria Enhance Cadmium Immobilization and Gene Expression in Wheat Roots to Reduce Cadmium Uptake.

作者信息

Kan Delong, Tian Minyu, Ruan Ying, Han Hui

机构信息

Key Laboratory of Hunan Provincial on Crop Epigenetic Regulation and Development, College of Bioscience and Biotechnology, Hunan Agricultural University, Changsha 410128, China.

Collaborative Innovation Center of Water Security for the Water Source Region of the Mid-Line of the South-to-North Diversion Project of Henan Province, Nanyang Normal University, Nanyang 473061, China.

出版信息

Plants (Basel). 2024 Jul 21;13(14):1989. doi: 10.3390/plants13141989.

DOI:10.3390/plants13141989
PMID:39065516
原文链接:https://pmc.ncbi.nlm.nih.gov/articles/PMC11280808/
Abstract

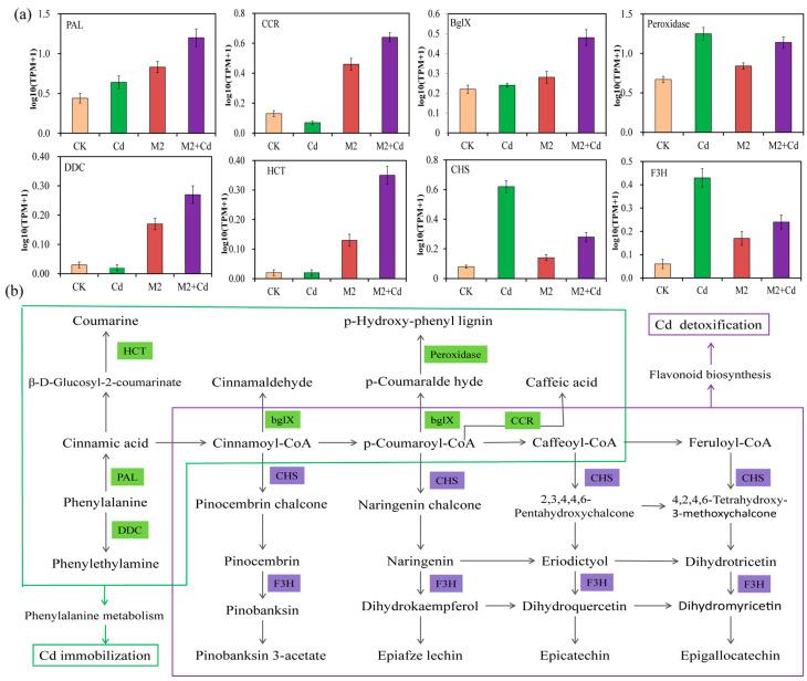
The application of phosphorus-solubilizing bacteria is an effective method for increasing the available phosphorus content and inhibiting wheat uptake of heavy metals. However, further research is needed on the mechanism by which phosphorus-solubilizing bacteria inhibit cadmium (Cd) uptake in wheat roots and its impact on the expression of root-related genes. Here, the effects of strain M2 on Cd absorption in wheat and the expression of root-related Cd detoxification and immobilization genes were determined. Compared with the control, strain M2 reduced (64.1-64.6%) Cd uptake by wheat roots. Cd fluorescence staining revealed that strain M2 blocked the entry of exogenous Cd into the root interior and enhanced the immobilization of Cd by cell walls. Forty-seven genes related to Cd detoxification, including genes encoding peroxidase, chalcone synthase, and naringenin 3-dioxygenase, were upregulated in the Cd+M2 treatment. Strain M2 enhanced the Cd resistance and detoxification activity of wheat roots through the regulation of flavonoid biosynthesis and antioxidant enzyme activity. Moreover, strain M2 regulated the expression of genes related to phenylalanine metabolism and the MAPK signaling pathway to enhance Cd immobilization in roots. These results provide a theoretical basis for the use of phosphorus-solubilizing bacteria to remediate Cd-contaminated fields and reduce Cd uptake in wheat.

摘要

施用解磷细菌是提高有效磷含量和抑制小麦吸收重金属的有效方法。然而,关于解磷细菌抑制小麦根系吸收镉(Cd)的机制及其对根系相关基因表达的影响,仍需进一步研究。在此,测定了菌株M2对小麦吸收Cd以及根系相关Cd解毒和固定基因表达的影响。与对照相比,菌株M2使小麦根系对Cd的吸收减少了(64.1-64.6%)。Cd荧光染色显示,菌株M2阻止了外源Cd进入根内部,并增强了细胞壁对Cd的固定作用。在Cd+M2处理中,47个与Cd解毒相关的基因上调,包括编码过氧化物酶、查尔酮合酶和柚皮素3-双加氧酶的基因。菌株M2通过调节类黄酮生物合成和抗氧化酶活性,增强了小麦根系对Cd的抗性和解毒活性。此外,菌株M2调节了与苯丙氨酸代谢和MAPK信号通路相关基因的表达,以增强根系对Cd的固定作用。这些结果为利用解磷细菌修复Cd污染土壤和减少小麦对Cd的吸收提供了理论依据。

https://cdn.ncbi.nlm.nih.gov/pmc/blobs/e5b4/11280808/f66f9a616dbe/plants-13-01989-g008.jpg
https://cdn.ncbi.nlm.nih.gov/pmc/blobs/e5b4/11280808/58873b384785/plants-13-01989-g001.jpg
https://cdn.ncbi.nlm.nih.gov/pmc/blobs/e5b4/11280808/6ad511612bb9/plants-13-01989-g002.jpg
https://cdn.ncbi.nlm.nih.gov/pmc/blobs/e5b4/11280808/094386d052da/plants-13-01989-g003.jpg
https://cdn.ncbi.nlm.nih.gov/pmc/blobs/e5b4/11280808/7cc413e3fe15/plants-13-01989-g004.jpg
https://cdn.ncbi.nlm.nih.gov/pmc/blobs/e5b4/11280808/075c9eaabd14/plants-13-01989-g005.jpg
https://cdn.ncbi.nlm.nih.gov/pmc/blobs/e5b4/11280808/be8ba235b5e6/plants-13-01989-g006.jpg
https://cdn.ncbi.nlm.nih.gov/pmc/blobs/e5b4/11280808/20e7a9acc83e/plants-13-01989-g007.jpg
https://cdn.ncbi.nlm.nih.gov/pmc/blobs/e5b4/11280808/f66f9a616dbe/plants-13-01989-g008.jpg
https://cdn.ncbi.nlm.nih.gov/pmc/blobs/e5b4/11280808/58873b384785/plants-13-01989-g001.jpg
https://cdn.ncbi.nlm.nih.gov/pmc/blobs/e5b4/11280808/6ad511612bb9/plants-13-01989-g002.jpg
https://cdn.ncbi.nlm.nih.gov/pmc/blobs/e5b4/11280808/094386d052da/plants-13-01989-g003.jpg
https://cdn.ncbi.nlm.nih.gov/pmc/blobs/e5b4/11280808/7cc413e3fe15/plants-13-01989-g004.jpg
https://cdn.ncbi.nlm.nih.gov/pmc/blobs/e5b4/11280808/075c9eaabd14/plants-13-01989-g005.jpg
https://cdn.ncbi.nlm.nih.gov/pmc/blobs/e5b4/11280808/be8ba235b5e6/plants-13-01989-g006.jpg
https://cdn.ncbi.nlm.nih.gov/pmc/blobs/e5b4/11280808/20e7a9acc83e/plants-13-01989-g007.jpg
https://cdn.ncbi.nlm.nih.gov/pmc/blobs/e5b4/11280808/f66f9a616dbe/plants-13-01989-g008.jpg

相似文献

1
Phosphorus-Solubilizing Bacteria Enhance Cadmium Immobilization and Gene Expression in Wheat Roots to Reduce Cadmium Uptake.解磷细菌增强小麦根系中镉的固定作用及基因表达以减少镉吸收
Plants (Basel). 2024 Jul 21;13(14):1989. doi: 10.3390/plants13141989.
2
[Immobilization of Heavy Metals by Phosphorus-solubilizing Bacteria and Inhibition of Cd and Pb Uptake by Wheat].[解磷细菌对重金属的固定作用及对小麦吸收镉和铅的抑制作用]
Huan Jing Ke Xue. 2024 Jul 8;45(7):4321-4331. doi: 10.13227/j.hjkx.202308206.
3
Improving radish phosphorus utilization efficiency and inhibiting Cd and Pb uptake by using heavy metal-immobilizing and phosphate-solubilizing bacteria.利用重金属固定化和磷溶解细菌提高萝卜磷利用率并抑制 Cd 和 Pb 吸收。
Sci Total Environ. 2023 Apr 10;868:161685. doi: 10.1016/j.scitotenv.2023.161685. Epub 2023 Jan 20.
4
Wheat-associated Pseudomonas taiwanensis WRS8 reduces cadmium uptake by increasing root surface cadmium adsorption and decreasing cadmium uptake and transport related gene expression in wheat.小麦相关假单胞菌 WRS8 通过增加根表面镉吸附和降低与镉吸收和转运相关的基因表达来减少小麦对镉的吸收。
Environ Pollut. 2021 Jan 1;268(Pt A):115850. doi: 10.1016/j.envpol.2020.115850. Epub 2020 Oct 27.
5
Mechanisms of Enterobacter bugandensis TJ6 immobilization of heavy metals and inhibition of Cd and Pb uptake by wheat based on metabolomics and proteomics.基于代谢组学和蛋白质组学的布干维尔肠杆菌TJ6固定重金属及抑制小麦吸收镉和铅的机制
Chemosphere. 2021 Aug;276:130157. doi: 10.1016/j.chemosphere.2021.130157. Epub 2021 Mar 4.
6
Phosphate-solubilizing bacterium Burkholderia sp. strain N3 facilitates the regulation of gene expression and improves tomato seedling growth under cadmium stress.解磷菌伯克霍尔德氏菌 N3 菌株促进基因表达调控并改善镉胁迫下番茄幼苗生长。
Ecotoxicol Environ Saf. 2021 Jul 1;217:112268. doi: 10.1016/j.ecoenv.2021.112268. Epub 2021 Apr 28.
7
[Polyamine-producing Bacteria Regulated the Community Structure of Rhizosphere Bacteria and Reduced the Absorption of Cd in Wheat].[产多胺细菌调控根际细菌群落结构并降低小麦对镉的吸收]
Huan Jing Ke Xue. 2022 Feb 8;43(2):1031-1039. doi: 10.13227/j.hjkx.202106216.
8
Activation of a gene network in durum wheat roots exposed to cadmium.暴露于镉环境下的硬质小麦根系中基因网络的激活。
BMC Plant Biol. 2018 Oct 16;18(1):238. doi: 10.1186/s12870-018-1473-4.
9
[Two-stage Inhibition Effects of sp. Y4 Application on Cadmium Uptake and Transport in Wheat].[sp. Y4 对小麦镉吸收与转运的两阶段抑制效应]
Huan Jing Ke Xue. 2024 Feb 8;45(2):1150-1160. doi: 10.13227/j.hjkx.202303030.
10
Physiological, biochemical and transcriptomic insights into the mechanisms by which molybdenum mitigates cadmium toxicity in Triticum aestivum L.钼缓解小麦镉毒害的生理生化和转录组学机制研究
J Hazard Mater. 2024 Jul 5;472:134516. doi: 10.1016/j.jhazmat.2024.134516. Epub 2024 May 6.

引用本文的文献

1
Phosphate-solubilizing function of PSM16 and its underlying mechanism.PSM16的解磷功能及其潜在机制。
Microbiol Spectr. 2025 Jul;13(7):e0049125. doi: 10.1128/spectrum.00491-25. Epub 2025 Jun 10.
2
Biosynthetic Mechanisms of Plant Chlorogenic Acid from a Microbiological Perspective.从微生物学角度看植物绿原酸的生物合成机制
Microorganisms. 2025 May 13;13(5):1114. doi: 10.3390/microorganisms13051114.
3
Isolation, Characterization and Growth-Promoting Properties of Phosphate-Solubilizing Bacteria (PSBs) Derived from Peach Tree Rhizosphere.

本文引用的文献

1
Synergistic role of phenylpropanoid biosynthesis and citrate cycle pathways in heavy metal detoxification through secretion of organic acids.苯丙烷类生物合成和柠檬酸循环途径通过分泌有机酸在重金属解毒中的协同作用。
J Hazard Mater. 2024 Sep 5;476:135106. doi: 10.1016/j.jhazmat.2024.135106. Epub 2024 Jul 4.
2
Majorbio Cloud: A one-stop, comprehensive bioinformatic platform for multiomics analyses.迈基诺云:一个用于多组学分析的一站式综合生物信息学平台。
Imeta. 2022 Mar 16;1(2):e12. doi: 10.1002/imt2.12. eCollection 2022 Jun.
3
Effects of nitrogen forms on Cd uptake and tolerance in wheat seedlings.
桃树根际解磷细菌(PSB)的分离、鉴定及促生长特性
Microorganisms. 2025 Mar 23;13(4):718. doi: 10.3390/microorganisms13040718.
4
Synergistic Effect of Biochar, Phosphate Fertilizer, and Phosphorous Solubilizing Bacteria for Mitigating Cadmium (Cd) Stress and Improving Maize Growth in Cd-Contaminated Soil.生物炭、磷肥和溶磷细菌对减轻镉(Cd)胁迫及促进镉污染土壤中玉米生长的协同效应
Plants (Basel). 2024 Nov 28;13(23):3333. doi: 10.3390/plants13233333.
氮形态对小麦幼苗镉吸收和耐性的影响。
Sci Total Environ. 2024 Aug 1;936:173451. doi: 10.1016/j.scitotenv.2024.173451. Epub 2024 May 22.
4
Bayesian risk prediction model: An accessible strategy to predict cadmium contamination risk in wheat grain grown in alkaline soils.贝叶斯风险预测模型:一种预测碱性土壤中种植的小麦中镉污染风险的可行策略。
Environ Pollut. 2024 Aug 1;354:124169. doi: 10.1016/j.envpol.2024.124169. Epub 2024 May 16.
5
Transcriptomic and physiological analyses of Symphytum officinale L. in response to multiple heavy metal stress.多重金属胁迫下紫菀属植物的转录组和生理分析。
Ecotoxicol Environ Saf. 2024 Jun 1;277:116361. doi: 10.1016/j.ecoenv.2024.116361. Epub 2024 Apr 25.
6
Plant cadmium resistance 10 enhances tolerance to toxic heavy metals in poplar.植物镉抗性10增强杨树对有毒重金属的耐受性。
Plant Physiol Biochem. 2023 Oct;203:108043. doi: 10.1016/j.plaphy.2023.108043. Epub 2023 Sep 16.
7
Exogenous abscisic acid fine-tunes heavy metal accumulation and plant's antioxidant defence mechanism to optimize crop performance and secondary metabolite production in Trigonella foenum-graecum L. under nickel stress.外源脱落酸精细调控重金属积累和植物抗氧化防御机制,以优化尼克胁迫下苦豆子 L. 的作物性能和次生代谢产物生产。
Plant Sci. 2023 Jul;332:111703. doi: 10.1016/j.plantsci.2023.111703. Epub 2023 Apr 7.
8
Integrated physio-biochemical and transcriptomic analysis revealed mechanism underlying of Si-mediated alleviation to cadmium toxicity in wheat.综合生理生化和转录组分析揭示了硅介导减轻小麦镉毒性的潜在机制。
J Hazard Mater. 2023 Jun 15;452:131366. doi: 10.1016/j.jhazmat.2023.131366. Epub 2023 Apr 5.
9
A functional lignin for heavy metal ions adsorption and wound care dressing.一种用于重金属离子吸附和伤口护理敷料的功能性木质素。
Int J Biol Macromol. 2023 Jun 1;239:124268. doi: 10.1016/j.ijbiomac.2023.124268. Epub 2023 Mar 31.
10
Transcriptome studies on cadmium tolerance and biochar mitigating cadmium stress in muskmelon.转录组研究镉耐受和生物炭减轻甜瓜镉胁迫。
Plant Physiol Biochem. 2023 Apr;197:107661. doi: 10.1016/j.plaphy.2023.107661. Epub 2023 Mar 21.