Suppr超能文献

散发性 Creutzfeldt-Jakob 病临床病程和发病年龄的全基因组关联研究。

Genome wide association study of clinical duration and age at onset of sporadic CJD.

机构信息

MRC Prion Unit at University College London (UCL), Institute of Prion Diseases, UCL, London, United Kingdom.

Australian National Creutzfeldt-Jakob Disease Registry, The Florey, Department of Medicine (RMH), The University of Melbourne, Victoria, Australia.

出版信息

PLoS One. 2024 Jul 26;19(7):e0304528. doi: 10.1371/journal.pone.0304528. eCollection 2024.

Abstract

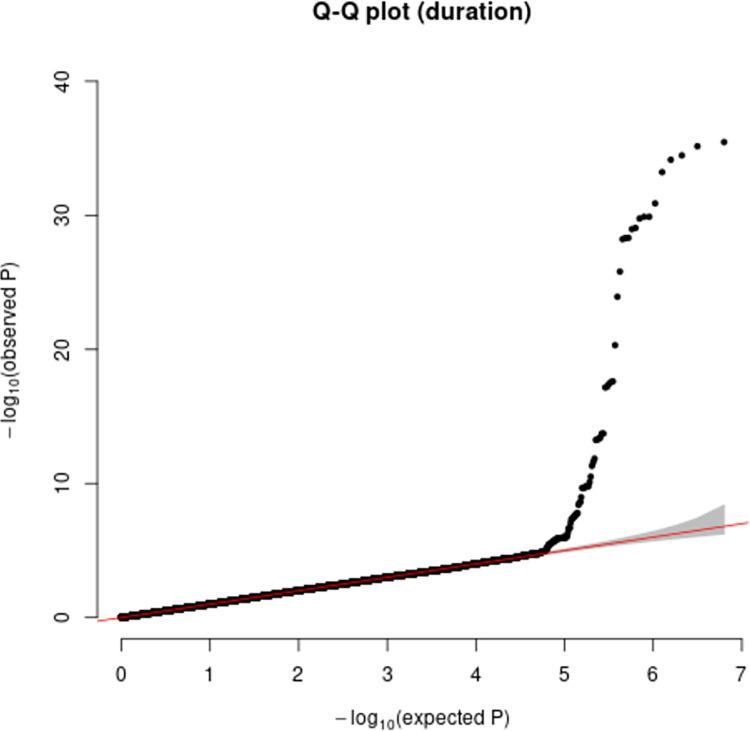
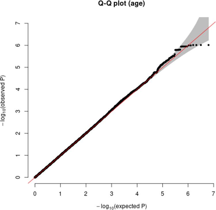
Human prion diseases are rare, transmissible and often rapidly progressive dementias. The most common type, sporadic Creutzfeldt-Jakob disease (sCJD), is highly variable in clinical duration and age at onset. Genetic determinants of late onset or slower progression might suggest new targets for research and therapeutics. We assembled and array genotyped sCJD cases diagnosed in life or at autopsy. Clinical duration (median:4, interquartile range (IQR):2.5-9 (months)) was available in 3,773 and age at onset (median:67, IQR:61-73 (years)) in 3,767 cases. Phenotypes were successfully transformed to approximate normal distributions allowing genome-wide analysis without statistical inflation. 53 SNPs achieved genome-wide significance for the clinical duration phenotype; all of which were located at chromosome 20 (top SNP rs1799990, pvalue = 3.45x10-36, beta = 0.34 for an additive model; rs1799990, pvalue = 9.92x10-67, beta = 0.84 for a heterozygous model). Fine mapping, conditional and expression analysis suggests that the well-known non-synonymous variant at codon 129 is the obvious outstanding genome-wide determinant of clinical duration. Pathway analysis and suggestive loci are described. No genome-wide significant SNP determinants of age at onset were found, but the HS6ST3 gene was significant (pvalue = 1.93 x 10-6) in a gene-based test. We found no evidence of genome-wide genetic correlation between case-control (disease risk factors) and case-only (determinants of phenotypes) studies. Relative to other common genetic variants, PRNP codon 129 is by far the outstanding modifier of CJD survival suggesting only modest or rare variant effects at other genetic loci.

摘要

人类朊病毒病罕见、可传播且常迅速进展为痴呆。最常见的类型,散发性克雅氏病(sCJD),在临床持续时间和发病年龄上有高度变异性。晚发性或进展较慢的遗传决定因素可能提示新的研究和治疗靶点。我们汇集并基因分型了生前或尸检诊断的 sCJD 病例。3773 例病例有临床持续时间(中位数:4,四分位距(IQR):2.5-9(月)),3767 例病例有发病年龄(中位数:67,IQR:61-73(岁))。表型成功转换为近似正态分布,允许在没有统计学膨胀的情况下进行全基因组分析。53 个 SNP 对临床持续时间表型达到全基因组显著水平;所有 SNP 均位于 20 号染色体(最高 SNP rs1799990,p 值=3.45x10-36,加性模型下的β值为 0.34;rs1799990,p 值=9.92x10-67,杂合模型下的β值为 0.84)。精细定位、条件和表达分析表明,已知的 129 密码子非同义变异是临床持续时间的明显全基因组决定因素。还描述了途径分析和提示性基因座。未发现发病年龄的全基因组显著 SNP 决定因素,但 HS6ST3 基因在基于基因的测试中显著(p 值=1.93 x 10-6)。我们没有发现病例对照(疾病风险因素)和仅病例(表型决定因素)研究之间全基因组遗传相关性的证据。与其他常见遗传变异相比,PRNP 129 密码子是迄今为止 CJD 生存的突出修饰因子,表明其他遗传基因座的变异效应适度或罕见。

https://cdn.ncbi.nlm.nih.gov/pmc/blobs/0247/11280162/3a13bb24ac61/pone.0304528.g001.jpg

文献检索

告别复杂PubMed语法,用中文像聊天一样搜索,搜遍4000万医学文献。AI智能推荐,让科研检索更轻松。

立即免费搜索

文件翻译

保留排版,准确专业,支持PDF/Word/PPT等文件格式,支持 12+语言互译。

免费翻译文档

深度研究

AI帮你快速写综述,25分钟生成高质量综述,智能提取关键信息,辅助科研写作。

立即免费体验