• 文献检索
  • 文档翻译
  • 深度研究
  • 学术资讯
  • Suppr Zotero 插件Zotero 插件
  • 邀请有礼
  • 套餐&价格
  • 历史记录
应用&插件
Suppr Zotero 插件Zotero 插件浏览器插件Mac 客户端Windows 客户端微信小程序
定价
高级版会员购买积分包购买API积分包
服务
文献检索文档翻译深度研究API 文档MCP 服务
关于我们
关于 Suppr公司介绍联系我们用户协议隐私条款
关注我们

Suppr 超能文献

核心技术专利:CN118964589B侵权必究
粤ICP备2023148730 号-1Suppr @ 2026

文献检索

告别复杂PubMed语法,用中文像聊天一样搜索,搜遍4000万医学文献。AI智能推荐,让科研检索更轻松。

立即免费搜索

文件翻译

保留排版,准确专业,支持PDF/Word/PPT等文件格式,支持 12+语言互译。

免费翻译文档

深度研究

AI帮你快速写综述,25分钟生成高质量综述,智能提取关键信息,辅助科研写作。

立即免费体验

双酚 A 及其类似物与大西洋鳕鱼()雌激素和雄激素受体的相互作用。

Interaction of Bisphenol A and Its Analogs with Estrogen and Androgen Receptor from Atlantic Cod ().

机构信息

Department of Biological Sciences, University of Bergen, Bergen N-5020, Norway.

出版信息

Environ Sci Technol. 2024 Aug 13;58(32):14098-14109. doi: 10.1021/acs.est.4c01500. Epub 2024 Aug 1.

DOI:10.1021/acs.est.4c01500
PMID:39087390
原文链接:https://pmc.ncbi.nlm.nih.gov/articles/PMC11325555/
Abstract

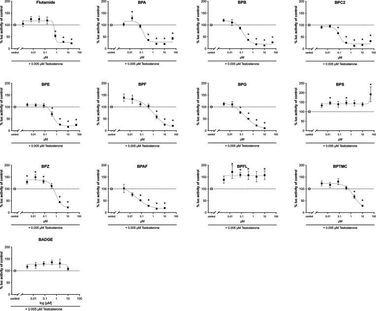
The widespread use of bisphenol A (BPA) in polycarbonate plastics and epoxy resins has made it a prevalent environmental pollutant in aquatic ecosystems. BPA poses a significant threat to marine and freshwater wildlife due to its documented endocrine-disrupting effects on various species. Manufacturers are increasingly turning to other bisphenol compounds as supposedly safer alternatives. In this study, we employed reporter gene assays and precision-cut liver slices from Atlantic cod () to investigate whether BPA and 11 BPA analogs exhibit estrogenic, antiestrogenic, androgenic, or antiandrogenic effects by influencing estrogen or androgen receptor signaling pathways. Most bisphenols, including BPA, displayed estrogenic properties by activating the Atlantic cod estrogen receptor alpha (gmEra). BPB, BPE, and BPF exhibited efficacy similar to or higher than that of BPA, with BPB and BPAF being more potent agonists. Additionally, some bisphenols, like BPG, induced estrogenic effects in liver slices despite not activating gmEra , suggesting structural modifications by hepatic biotransformation enzymes. While only BPC2 and BPAF activated the Atlantic cod androgen receptor alpha (gmAra), several bisphenols exhibited antiandrogenic effects by inhibiting gmAra activity. This study underscores the endocrine-disrupting impact of bisphenols on aquatic organisms, emphasizing that substitutes for BPA may pose equal or greater risks to both the environment and human health.

摘要

双酚 A(BPA)在聚碳酸酯塑料和环氧树脂中的广泛应用使其成为水生生态系统中普遍存在的环境污染物。由于有文献记载双酚 A 对各种物种具有内分泌干扰作用,因此它对海洋和淡水野生动物构成了重大威胁。制造商越来越多地转向其他双酚化合物,认为这些化合物是更安全的替代品。在这项研究中,我们使用报告基因检测和大西洋鳕鱼( )的精密肝切片,通过影响雌激素或雄激素受体信号通路,研究 BPA 和 11 种 BPA 类似物是否具有雌激素、抗雌激素、雄激素或抗雄激素作用。大多数双酚类化合物,包括 BPA,通过激活大西洋鳕鱼雌激素受体 alpha(gmEra)表现出雌激素特性。BPB、BPE 和 BPF 表现出与 BPA 相似或更高的功效,其中 BPB 和 BPAF 是更有效的激动剂。此外,一些双酚类化合物,如 BPG,尽管没有激活 gmEra ,但在肝切片中诱导了雌激素效应,这表明肝生物转化酶的结构修饰。虽然只有 BPC2 和 BPAF 激活了大西洋鳕鱼雄激素受体 alpha(gmAra),但一些双酚类化合物通过抑制 gmAra 活性表现出抗雄激素作用。这项研究强调了双酚类化合物对水生生物的内分泌干扰影响,强调 BPA 的替代品可能对环境和人类健康构成同等或更大的风险。

https://cdn.ncbi.nlm.nih.gov/pmc/blobs/3db1/11325555/500f4f007d6a/es4c01500_0005.jpg
https://cdn.ncbi.nlm.nih.gov/pmc/blobs/3db1/11325555/eb94c42a78d7/es4c01500_0001.jpg
https://cdn.ncbi.nlm.nih.gov/pmc/blobs/3db1/11325555/0c163e694358/es4c01500_0002.jpg
https://cdn.ncbi.nlm.nih.gov/pmc/blobs/3db1/11325555/274413a6d858/es4c01500_0003.jpg
https://cdn.ncbi.nlm.nih.gov/pmc/blobs/3db1/11325555/5e13142ed82a/es4c01500_0004.jpg
https://cdn.ncbi.nlm.nih.gov/pmc/blobs/3db1/11325555/500f4f007d6a/es4c01500_0005.jpg
https://cdn.ncbi.nlm.nih.gov/pmc/blobs/3db1/11325555/eb94c42a78d7/es4c01500_0001.jpg
https://cdn.ncbi.nlm.nih.gov/pmc/blobs/3db1/11325555/0c163e694358/es4c01500_0002.jpg
https://cdn.ncbi.nlm.nih.gov/pmc/blobs/3db1/11325555/274413a6d858/es4c01500_0003.jpg
https://cdn.ncbi.nlm.nih.gov/pmc/blobs/3db1/11325555/5e13142ed82a/es4c01500_0004.jpg
https://cdn.ncbi.nlm.nih.gov/pmc/blobs/3db1/11325555/500f4f007d6a/es4c01500_0005.jpg

相似文献

1
Interaction of Bisphenol A and Its Analogs with Estrogen and Androgen Receptor from Atlantic Cod ().双酚 A 及其类似物与大西洋鳕鱼()雌激素和雄激素受体的相互作用。
Environ Sci Technol. 2024 Aug 13;58(32):14098-14109. doi: 10.1021/acs.est.4c01500. Epub 2024 Aug 1.
2
In silico binding of 4,4'-bisphenols predicts in vitro estrogenic and antiandrogenic activity.计算机模拟结合 4,4'-双酚预测体外雌激素和抗雄激素活性。
Environ Toxicol. 2018 May;33(5):569-578. doi: 10.1002/tox.22539. Epub 2018 Feb 2.
3
In vitro and in vivo estrogenic activity of BPA, BPF and BPS in zebrafish-specific assays.在鱼类特定试验中,BPA、BPF 和 BPS 的体外和体内雌激素活性。
Ecotoxicol Environ Saf. 2017 Aug;142:150-156. doi: 10.1016/j.ecoenv.2017.04.009. Epub 2017 Apr 11.
4
Bisphenol A Diglycidyl Ether (BADGE) and Bisphenol Analogs, but Not Bisphenol A (BPA), Activate the CatSper Ca Channel in Human Sperm.双酚 A 二缩水甘油醚(BADGE)和双酚类似物,但不是双酚 A(BPA),可激活人精子中的 CatSper Ca 通道。
Front Endocrinol (Lausanne). 2020 May 19;11:324. doi: 10.3389/fendo.2020.00324. eCollection 2020.
5
Bisphenols emerging in Norwegian and Czech aquatic environments show transthyretin binding potency and other less-studied endocrine-disrupting activities.挪威和捷克水生环境中出现的双酚类物质具有转甲状腺素蛋白结合能力和其他研究较少的内分泌干扰活性。
Sci Total Environ. 2021 Jan 10;751:141801. doi: 10.1016/j.scitotenv.2020.141801. Epub 2020 Aug 19.
6
In vitro study on the agonistic and antagonistic activities of bisphenol-S and other bisphenol-A congeners and derivatives via nuclear receptors.通过核受体对双酚 S 及其它双酚 A 同系物和衍生物的激动和拮抗活性的体外研究。
Toxicol Appl Pharmacol. 2013 Oct 1;272(1):127-36. doi: 10.1016/j.taap.2013.05.015. Epub 2013 May 25.
7
Parallel assessment of the effects of bisphenol A and several of its analogs on the adult human testis.同时评估双酚 A 及其几种类似物对成人睾丸的影响。
Hum Reprod. 2017 Jul 1;32(7):1465-1473. doi: 10.1093/humrep/dex093.
8
Receptor-binding affinities of bisphenol A and its next-generation analogs for human nuclear receptors.双酚 A 及其下一代类似物与人核受体的受体结合亲和力。
Toxicol Appl Pharmacol. 2019 Aug 15;377:114610. doi: 10.1016/j.taap.2019.114610. Epub 2019 Jun 10.
9
Bisphenol AF and Bisphenol F Induce Similar Feminizing Effects in Chicken Embryo Testis as Bisphenol A.双酚 AF 和双酚 F 像双酚 A 一样对鸡胚睾丸产生类似的雌性化效应。
Toxicol Sci. 2020 Dec 1;178(2):239-250. doi: 10.1093/toxsci/kfaa152.
10
Physiologically Based Pharmacokinetic (PBPK) Modeling of the Bisphenols BPA, BPS, BPF, and BPAF with New Experimental Metabolic Parameters: Comparing the Pharmacokinetic Behavior of BPA with Its Substitutes.基于生理学的双酚 A(BPA)、双酚 S(BPS)、双酚 F(BPF)和双酚 AF(BPAF)代谢新参数的药代动力学模型:比较 BPA 与其替代品的药代动力学行为。
Environ Health Perspect. 2018 Jul 10;126(7):077002. doi: 10.1289/EHP2739. eCollection 2018 Jul.

引用本文的文献

1
Beyond Estrogenicity: A Comparative Assessment of Bisphenol A and Its Alternatives in In Vitro Assays Questions Safety of Replacements.超越雌激素活性:双酚A及其替代品在体外试验中的比较评估对替代品安全性提出质疑
Environ Sci Technol. 2025 Aug 26;59(33):17457-17470. doi: 10.1021/acs.est.5c07018. Epub 2025 Aug 16.
2
Microplastic pollution in the marine environment: Sources, impacts, and degradation.海洋环境中的微塑料污染:来源、影响及降解
J Adv Vet Anim Res. 2025 Mar 25;12(1):260-279. doi: 10.5455/javar.2025.l893. eCollection 2025 Mar.
3
Transcriptome analysis reveals effects of ethynylestradiol and bisphenol A on multiple endocrine and metabolic pathways in the pituitary and liver of female Atlantic cod ().

本文引用的文献

1
Re-evaluation of the risks to public health related to the presence of bisphenol A (BPA) in foodstuffs.对食品中双酚A(BPA)存在所涉公共卫生风险的重新评估。
EFSA J. 2023 Apr 19;21(4):e06857. doi: 10.2903/j.efsa.2023.6857. eCollection 2023 Apr.
2
In silico profiling of endocrine-disrupting potential of bisphenol analogues and their halogenated transformation products.计算机预测双酚类似物及其卤代转化产物的内分泌干扰潜力。
Food Chem Toxicol. 2023 Mar;173:113623. doi: 10.1016/j.fct.2023.113623. Epub 2023 Jan 16.
3
Distinct Roles of Estrogen Receptors in the Regulation of Vitellogenin Expression in Orange-Spotted Grouper ().
转录组分析揭示了乙炔雌二醇和双酚A对雌性大西洋鳕鱼垂体和肝脏中多种内分泌和代谢途径的影响。
Front Endocrinol (Lausanne). 2025 Jan 27;15:1491432. doi: 10.3389/fendo.2024.1491432. eCollection 2024.
雌激素受体在调控()卵黄蛋白原表达中的不同作用。
Int J Mol Sci. 2022 Aug 3;23(15):8632. doi: 10.3390/ijms23158632.
4
Metabolic profiling of bisphenol A diglycidyl ether in vitro and in vivo.体内外双酚 A 二缩水甘油醚的代谢谱分析。
Food Chem Toxicol. 2022 Aug;166:113252. doi: 10.1016/j.fct.2022.113252. Epub 2022 Jun 20.
5
Agonistic and potentiating effects of perfluoroalkyl substances (PFAS) on the Atlantic cod (Gadus morhua) peroxisome proliferator-activated receptors (Ppars).全氟烷基物质(PFAS)对大西洋鳕鱼(Gadus morhua)过氧化物酶体增殖物激活受体(Ppars)的激动和增强作用。
Environ Int. 2022 May;163:107203. doi: 10.1016/j.envint.2022.107203. Epub 2022 Mar 29.
6
Substituted Two- to Five-Ring Polycyclic Aromatic Compounds Are Potent Agonists of Atlantic Cod () Aryl Hydrocarbon Receptors Ahr1a and Ahr2a.取代的双环至五环多环芳烃化合物是大西洋鳕鱼()芳香烃受体 Ahr1a 和 Ahr2a 的有效激动剂。
Environ Sci Technol. 2021 Nov 16;55(22):15123-15135. doi: 10.1021/acs.est.1c02946. Epub 2021 Nov 5.
7
Polycyclic aromatic hydrocarbons modulate the activity of Atlantic cod (Gadus morhua) vitamin D receptor paralogs in vitro.多环芳烃在体外调节大西洋鳕鱼( Gadus morhua)维生素D受体旁系同源物的活性。
Aquat Toxicol. 2021 Sep;238:105914. doi: 10.1016/j.aquatox.2021.105914. Epub 2021 Jul 16.
8
Toxicity assessment of urban marine sediments from Western Norway using a battery of stress-activated receptors and cell-based bioassays from fish.利用鱼类应激激活受体和基于细胞的生物测定方法对来自挪威西部城市海洋沉积物的毒性评估。
Environ Toxicol Pharmacol. 2021 Oct;87:103704. doi: 10.1016/j.etap.2021.103704. Epub 2021 Jul 14.
9
Human Health and Ocean Pollution.人类健康与海洋污染。
Ann Glob Health. 2020 Dec 3;86(1):151. doi: 10.5334/aogh.2831.
10
Detrimental Effects of Bisphenol Compounds on Physiology and Reproduction in Fish: A Literature Review.双酚化合物对鱼类生理和生殖的有害影响:文献综述。
Environ Toxicol Pharmacol. 2021 Jan;81:103497. doi: 10.1016/j.etap.2020.103497. Epub 2020 Sep 17.