Suppr超能文献

母体产前全身炎症指数预测早产儿呼吸窘迫综合征。

Maternal prenatal systemic inflammation indexes predicts premature neonatal respiratory distress syndrome.

机构信息

Medical Records Library, People's Hospital of Longhua, Shenzhen, China.

Department of Neonatology, People's Hospital of Longhua, Shenzhen, China.

出版信息

Sci Rep. 2024 Aug 5;14(1):18129. doi: 10.1038/s41598-024-68956-w.

Abstract

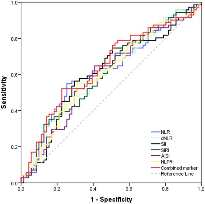
Neonatal respiratory distress syndrome (NRDS) is one of the leading causes of neonatal mortality in low-income countries. It is caused by a lack of surface-active substances in the lungs, and the maternal inflammatory response plays an important role in the formation of surface-active substances in the fetal lungs. We aimed to investigate the correlation between maternal prenatal systemic inflammatory indices and respiratory distress syndrome in preterm neonates. This is a retrospective case-control study that collected data from all patients who delivered between 28 and 36 weeks of gestation at Longhua District People's Hospital in Shenzhen City and whose infants were admitted to the neonatal unit, newborns with respiratory distress syndrome were in the experimental group (NRDS group), and newborns without NRDS were in the control group (non-NRDS group). To minimize the effect of confounders on the results, propensity score matching was performed on baseline characteristics. Totally, 524 patients were included (93 in the NRDS group and 431 in the non-NRDS group), and 71 matched pairs (142 patients). The neutrophil-to-lymphocyte ratio (NLR), derived neutrophil-to-lymphocyte ratio (dNLR), systemic immune-inflammation index (SII), systemic inflammation response index (SIRI), aggregate index of systemic inflammation (AISI) and neutrophil lymphocyte to platelet ratio (NLPR) were higher in the NRDS group than in the non-NRDS group (p < 0.05). The ROC curves of NLR, dNLR, SII, SIRI, AISI and NLPR for the diagnosis of NRDS were plotted, and it was found that the combined diagnostic efficacy of these six systemic inflammatory markers was better (AUC: 0.643, P = 0.003). Patients were divided into two groups based on the cut-off values determined from the ROC curves, and analysis using binary regression models revealed that SII ≥ 1199.94 (OR, 2.554; 95% CI 1.245-5.239, P = 0.011) and NLPR ≥ 0.0239 (OR, 2.175; 95% CI 1.061-4.459, P = 0.034) were independent risk factors predicting NRDS. Maternal prenatal SII ≥ 1199.94 and NLPR ≥ 0.0239 are independent risk factors for NRDS, and clinicians may be used to prevent neonatal respiratory distress in advance to reduce the incidence of NRDS.

摘要

新生儿呼吸窘迫综合征(NRDS)是低收入国家新生儿死亡的主要原因之一。它是由肺表面活性物质缺乏引起的,而母体炎症反应在胎儿肺表面活性物质的形成中起着重要作用。我们旨在研究母体产前全身炎症指数与早产儿呼吸窘迫综合征之间的相关性。这是一项回顾性病例对照研究,收集了深圳市龙华区人民医院 28 至 36 周分娩并入住新生儿病房的所有患者的数据,新生儿呼吸窘迫综合征患儿为实验组(NRDS 组),无 NRDS 患儿为对照组(非 NRDS 组)。为了最大限度地减少混杂因素对结果的影响,对基线特征进行了倾向评分匹配。共纳入 524 例患者(NRDS 组 93 例,非 NRDS 组 431 例),匹配 71 对(142 例)。NRDS 组的中性粒细胞与淋巴细胞比值(NLR)、衍生中性粒细胞与淋巴细胞比值(dNLR)、全身免疫炎症指数(SII)、全身炎症反应指数(SIRI)、全身炎症综合指数(AISI)和中性粒细胞淋巴细胞与血小板比值(NLPR)均高于非 NRDS 组(p<0.05)。绘制 NLR、dNLR、SII、SIRI、AISI 和 NLPR 对 NRDS 诊断的 ROC 曲线,发现这 6 种全身炎症标志物联合诊断效能较好(AUC:0.643,P=0.003)。根据 ROC 曲线确定的截断值将患者分为两组,采用二元回归模型分析显示,SII≥1199.94(OR,2.554;95%CI 1.245-5.239,P=0.011)和 NLPR≥0.0239(OR,2.175;95%CI 1.061-4.459,P=0.034)是预测 NRDS 的独立危险因素。母体产前 SII≥1199.94 和 NLPR≥0.0239 是 NRDS 的独立危险因素,临床医生可能会提前预防新生儿呼吸窘迫,降低 NRDS 的发生率。

https://cdn.ncbi.nlm.nih.gov/pmc/blobs/483e/11300828/8b3b93de3f8e/41598_2024_68956_Fig1_HTML.jpg

文献检索

告别复杂PubMed语法,用中文像聊天一样搜索,搜遍4000万医学文献。AI智能推荐,让科研检索更轻松。

立即免费搜索

文件翻译

保留排版,准确专业,支持PDF/Word/PPT等文件格式,支持 12+语言互译。

免费翻译文档

深度研究

AI帮你快速写综述,25分钟生成高质量综述,智能提取关键信息,辅助科研写作。

立即免费体验