Suppr超能文献

伽玛刀放射外科手术中数字式剂量描绘治疗的治疗计划方法

Treatment Planning Methods for Dose Painting by Numbers Treatment in Gamma Knife Radiosurgery.

作者信息

Tham Benjamin Z, Aleman Dionne M, Nordström Håkan, Nygren Nelly, Coolens Catherine

机构信息

Department of Radiation Oncology, Princess Margaret Cancer Centre, Toronto, Ontario, Canada.

Department of Mechanical and Industrial Engineering, University of Toronto, Toronto, Ontario, Canada.

出版信息

Adv Radiat Oncol. 2024 May 1;9(8):101534. doi: 10.1016/j.adro.2024.101534. eCollection 2024 Aug.

Abstract

PURPOSE

Dose painting radiation therapy delivers a nonuniform dose to tumors to account for heterogeneous radiosensitivity. With recent and ongoing development of Gamma Knife machines making large-volume brain tumor treatments more practical, it is increasingly feasible to deliver dose painting treatments. The increased prescription complexity means automated treatment planning is greatly beneficial, and the impact of dose painting on stereotactic radiosurgery (SRS) plan quality has not yet been studied. This research investigates the plan quality achievable for Gamma Knife SRS dose painting treatments when using optimization techniques and automated isocenter placement in treatment planning.

METHODS AND MATERIALS

Dose painting prescription functions with varying parameters were applied to convert voxel image intensities to prescriptions for 10 sample cases. To study achievable plan quality and optimization, clinically placed isocenters were used with each dose painting prescription and optimized using a semi-infinite linear programming formulation. To study automated isocenter placement, a grassfire sphere-packing algorithm and a clinically available Leksell gamma plan isocenter fill algorithm were used. Plan quality for each optimized treatment plan was measured with dose painting SRS metrics.

RESULTS

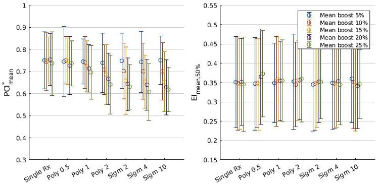
Optimization can be used to find high quality dose painting plans, and plan quality is affected by the dose painting prescription method. Polynomial function prescriptions show more achievable plan quality than sigmoid function prescriptions even with high mean dose boost. Automated isocenter placement is shown as a feasible method for dose painting SRS treatment, and increasing the number of isocenters improves plan quality. The computational solve time for optimization is within 5 minutes in most cases, which is suitable for clinical planning.

CONCLUSIONS

The impact of dose painting prescription method on achievable plan quality is quantified in this study. Optimization and automated isocenter placement are shown as possible treatment planning methods to obtain high quality plans.

摘要

目的

剂量描绘放射治疗向肿瘤输送不均匀剂量,以考虑异质性放射敏感性。随着伽玛刀设备的不断发展,使大体积脑肿瘤治疗变得更加可行,进行剂量描绘治疗越来越可行。处方复杂性的增加意味着自动治疗计划非常有益,而剂量描绘对立体定向放射外科(SRS)计划质量的影响尚未得到研究。本研究调查了在治疗计划中使用优化技术和自动等中心放置时,伽玛刀SRS剂量描绘治疗可实现的计划质量。

方法和材料

应用具有不同参数的剂量描绘处方函数,将体素图像强度转换为10个样本病例的处方。为了研究可实现的计划质量和优化,将临床放置的等中心与每个剂量描绘处方一起使用,并使用半无限线性规划公式进行优化。为了研究自动等中心放置,使用了草火球填充算法和临床可用的Leksell伽玛计划等中心填充算法。每个优化治疗计划的计划质量用剂量描绘SRS指标进行测量。

结果

优化可用于找到高质量的剂量描绘计划,计划质量受剂量描绘处方方法的影响。即使平均剂量提升较高,多项式函数处方显示出比S形函数处方更可实现的计划质量。自动等中心放置被证明是剂量描绘SRS治疗的一种可行方法,增加等中心数量可提高计划质量。在大多数情况下,优化的计算求解时间在5分钟以内,适用于临床计划。

结论

本研究量化了剂量描绘处方方法对可实现计划质量的影响。优化和自动等中心放置被证明是获得高质量计划的可能治疗计划方法。

https://cdn.ncbi.nlm.nih.gov/pmc/blobs/3a78/11298584/f654824a52c5/gr1.jpg

文献检索

告别复杂PubMed语法,用中文像聊天一样搜索,搜遍4000万医学文献。AI智能推荐,让科研检索更轻松。

立即免费搜索

文件翻译

保留排版,准确专业,支持PDF/Word/PPT等文件格式,支持 12+语言互译。

免费翻译文档

深度研究

AI帮你快速写综述,25分钟生成高质量综述,智能提取关键信息,辅助科研写作。

立即免费体验