Suppr超能文献

油性鱼类摄入对年龄相关性黄斑变性风险的遗传影响:一项两样本孟德尔随机化分析。

Genetic Influence of Oily Fish Intake on Age-Related Macular Degeneration Risk: A Two-Sample Mendelian Randomization Analysis.

作者信息

Gao Miaoran, Zhou Jian, Zhao Jingru, Liu Zihao, Luo Xianke, Yang Changlu, Yu Xinning, Tang Mengdan, Zhu Jiamei, Yan Xiaoling

机构信息

Beijing University of Chinese Medicine, Beijing, China.

Centre de Recherche des Cordeliers, INSERM, Université Paris Cité, Sorbonne Université, Physiopathology of Ocular Diseases: Therapeutic Innovations, Paris, France.

出版信息

Transl Vis Sci Technol. 2024 Aug 1;13(8):14. doi: 10.1167/tvst.13.8.14.

Abstract

PURPOSE

Emerging research indicates a link between the intake of fatty fish and age-related macular degeneration (AMD). However, observational studies fall short in establishing a direct causal link between oily fish intake and AMD. We wanted to determine whether causal association lies between oily fish intake and age-related macular degeneration (AMD) risk in human beings.

METHODS

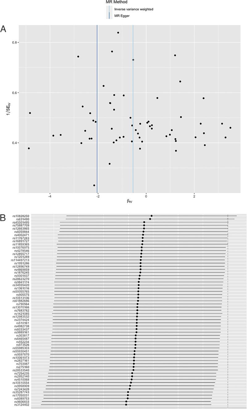
This two-sample mendelian randomization (MR) study used the MR method to probe the genetic causality in the relationship between oily fish intake and AMD. The genome-wide association study (GWAS) data for AMD were acquired from a Finnish database, whereas the data on fish oil intake came from the UK Biobank. The analysis used several approaches such as inverse-variance weighted (IVW), MR Egger, weighted median, simple mode, and weighted mode MR. In addition, the Cochran's Q test was used to evaluate heterogeneity in the MR data. The MR-Egger intercept and MR-pleiotropy residual sum and outlier (MR-PRESSO) tests were used to assess the presence of horizontal pleiotropy. A leave-one-out sensitivity analysis was conducted to determine the reliability of the association.

RESULTS

The IVW method revealed that the intake of oily fish is an independent risk factor for AMD (P = 0.034). It also suggested a minimal likelihood of horizontal pleiotropy affecting the causality (P > 0.05), with no substantial heterogeneity detected in the genetic variants (P > 0.05). The leave-one-out analysis confirmed the reliability and stability of this correlation.

CONCLUSIONS

This research used a two-sample MR analysis to provide evidence of a genetic causal relationship between the eating of oily fish and AMD. This discovery held potential significance in AMD prevention.

摘要

目的

新出现的研究表明,食用富含脂肪的鱼类与年龄相关性黄斑变性(AMD)之间存在联系。然而,观察性研究在确立油性鱼类摄入与AMD之间的直接因果关系方面存在不足。我们想确定在人类中,油性鱼类摄入与年龄相关性黄斑变性(AMD)风险之间是否存在因果关联。

方法

这项两样本孟德尔随机化(MR)研究采用MR方法来探究油性鱼类摄入与AMD之间关系中的遗传因果性。AMD的全基因组关联研究(GWAS)数据取自芬兰数据库,而鱼油摄入量数据来自英国生物银行。分析采用了几种方法,如逆方差加权(IVW)、MR Egger、加权中位数、简单模式和加权模式MR。此外,使用 Cochr an's Q检验来评估MR数据中的异质性。MR-Egger截距和MR-多效性残差总和及离群值(MR-PRESSO)检验用于评估水平多效性的存在。进行了留一法敏感性分析以确定该关联的可靠性。

结果

IVW方法显示,食用油性鱼类是AMD的一个独立风险因素(P = 0.034)。它还表明水平多效性影响因果关系的可能性极小(P > 0.05),在基因变异中未检测到实质性异质性(P > 0.05)。留一法分析证实了这种相关性的可靠性和稳定性。

结论

本研究采用两样本MR分析为食用油性鱼类与AMD之间的遗传因果关系提供了证据。这一发现对AMD的预防具有潜在意义。

https://cdn.ncbi.nlm.nih.gov/pmc/blobs/3fd3/11316449/94516ba8e2a6/tvst-13-8-14-f001.jpg

文献检索

告别复杂PubMed语法,用中文像聊天一样搜索,搜遍4000万医学文献。AI智能推荐,让科研检索更轻松。

立即免费搜索

文件翻译

保留排版,准确专业,支持PDF/Word/PPT等文件格式,支持 12+语言互译。

免费翻译文档

深度研究

AI帮你快速写综述,25分钟生成高质量综述,智能提取关键信息,辅助科研写作。

立即免费体验