Suppr超能文献

跨国界的幸福感——欧洲银屑病和特应性皮炎患者的横断面研究

Happiness across the borders-A cross-sectional study among patients with psoriasis and atopic dermatitis in Europe.

作者信息

Ziehfreund S, Wecker H, Mittag S, Weis J, Tizek L, Verkhoturova V, Legat F J, Weger W, Großschädl K, Cerpes U, Sadoghi B, Riegler M, Balato A, Di Brizzi E V, Buononato D, Babino G, Calzavara-Pinton P, Rossi M T, Rovaris S, Dimech A, Boffa M J, Chernyshov P, Svyatenko T, Kolodzinska L, Sikora M, Torres T, Manolache L, Scala E, Biedermann T, Zink A

机构信息

TUM School of Medicine and Health, Department of Dermatology and Allergy, Technical University of Munich, Munich, Germany.

Department of Dermatology and Venerology, Medical University of Graz, Graz, Austria.

出版信息

J Eur Acad Dermatol Venereol. 2025 Mar;39(3):529-542. doi: 10.1111/jdv.20288. Epub 2024 Aug 14.

Abstract

BACKGROUND

Dermatological research has traditionally concentrated on evaluating mental comorbidities, neglecting positive concepts like happiness. Initial studies indicate that psoriasis and atopic dermatitis (AD) impair the happiness of those affected. Considering global happiness variations, this study aimed to explore the disease- and country-specific differences in disease-related quality of life and happiness, and potential influential factors on heuristic happiness among psoriasis and AD patients in Europe.

METHODS

A cross-sectional multicentre study was conducted in dermatology departments of university-affiliated hospitals in eight European countries (Austria, Germany, Italy, Malta, Poland, Portugal, Romania and Ukraine) between October 2021 and February 2023. Adult psoriasis and AD patients completed a standardized questionnaire in their native languages, providing data on demographics, disease-related characteristics, disease-related quality of life (Dermatology Life Quality Index, DLQI), heuristic happiness, positive affect (PA), negative affect (NA) and satisfaction with life (SWL). Descriptive analysis and quantile regression were performed.

RESULTS

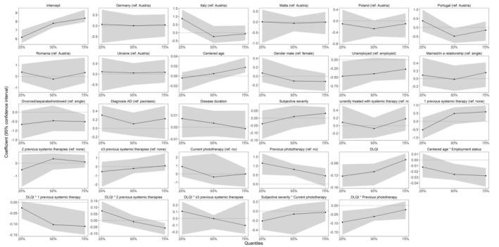
Between psoriasis (n = 723) and AD (n = 316) patients almost no differences were observed in happiness, SWL and NA, except for DLQI and small differences in PA, with AD patients reporting greater impact than psoriasis patients. Country-wise variation emerged in DLQI, heuristic happiness, PA, NA and SWL with Austrian patients displaying the highest levels of happiness, satisfaction and positivity, coupled with higher treatment care and lower disease severity. Quantile regression revealed varying coefficients for predictor variables across quantiles, indicating, for example positive effects on heuristic happiness associated with current or previous receipt of systemic therapies at different quantiles.

CONCLUSIONS

This study shows notable happiness differences across European countries and significant disease-related variations, particularly with AD patients being more impaired than psoriasis patients. The findings highlight the need for equality in treatment access and support the development of targeted positive psychological interventions to enhance happiness considering country-specific distinctions in future research and health policies for psoriasis and AD patients.

摘要

背景

皮肤病学研究传统上专注于评估精神共病,而忽视了诸如幸福感等积极概念。初步研究表明,银屑病和特应性皮炎(AD)会损害患者的幸福感。考虑到全球幸福感差异,本研究旨在探讨欧洲银屑病和AD患者在疾病相关生活质量和幸福感方面的疾病及国家特异性差异,以及启发式幸福感的潜在影响因素。

方法

2021年10月至2023年2月期间,在欧洲八个国家(奥地利、德国、意大利、马耳他、波兰、葡萄牙、罗马尼亚和乌克兰)大学附属医院的皮肤科进行了一项横断面多中心研究。成年银屑病和AD患者用其母语完成一份标准化问卷,提供有关人口统计学、疾病相关特征、疾病相关生活质量(皮肤病生活质量指数,DLQI)、启发式幸福感、积极情绪(PA)、消极情绪(NA)和生活满意度(SWL)的数据。进行了描述性分析和分位数回归。

结果

在银屑病(n = 723)和AD(n = 316)患者之间,除了DLQI以及PA存在微小差异外,在幸福感、SWL和NA方面几乎未观察到差异,AD患者报告的影响比银屑病患者更大。在DLQI、启发式幸福感、PA、NA和SWL方面出现了国家层面的差异,奥地利患者的幸福感、满意度和积极情绪水平最高,同时治疗护理水平较高且疾病严重程度较低。分位数回归显示预测变量在不同分位数下的系数不同,例如表明在不同分位数下当前或先前接受全身治疗与启发式幸福感存在正相关。

结论

本研究表明欧洲各国之间存在显著的幸福感差异以及与疾病相关的显著差异,特别是AD患者比银屑病患者受损更严重。研究结果强调了治疗可及性平等的必要性,并支持在未来针对银屑病和AD患者的研究及卫生政策中考虑国家特异性差异,开展有针对性的积极心理干预以提升幸福感。

https://cdn.ncbi.nlm.nih.gov/pmc/blobs/a42d/11851264/4cafca253d1c/JDV-39-529-g002.jpg

文献检索

告别复杂PubMed语法,用中文像聊天一样搜索,搜遍4000万医学文献。AI智能推荐,让科研检索更轻松。

立即免费搜索

文件翻译

保留排版,准确专业,支持PDF/Word/PPT等文件格式,支持 12+语言互译。

免费翻译文档

深度研究

AI帮你快速写综述,25分钟生成高质量综述,智能提取关键信息,辅助科研写作。

立即免费体验