• 文献检索
  • 文档翻译
  • 深度研究
  • 学术资讯
  • Suppr Zotero 插件Zotero 插件
  • 邀请有礼
  • 套餐&价格
  • 历史记录
应用&插件
Suppr Zotero 插件Zotero 插件浏览器插件Mac 客户端Windows 客户端微信小程序
定价
高级版会员购买积分包购买API积分包
服务
文献检索文档翻译深度研究API 文档MCP 服务
关于我们
关于 Suppr公司介绍联系我们用户协议隐私条款
关注我们

Suppr 超能文献

核心技术专利:CN118964589B侵权必究
粤ICP备2023148730 号-1Suppr @ 2026

文献检索

告别复杂PubMed语法,用中文像聊天一样搜索,搜遍4000万医学文献。AI智能推荐,让科研检索更轻松。

立即免费搜索

文件翻译

保留排版,准确专业,支持PDF/Word/PPT等文件格式,支持 12+语言互译。

免费翻译文档

深度研究

AI帮你快速写综述,25分钟生成高质量综述,智能提取关键信息,辅助科研写作。

立即免费体验

用于病原体蛋白酶体的可点击探针:合成与应用

Clickable Probes for Pathogen Proteasomes: Synthesis and Applications.

作者信息

Liu Lawrence J, Lucero Bobby, Manriquez-Rodriguez Cindy, Francisco Karol R, Teixeira Thaiz R, Yohannan Darius J, Ballatore Carlo, Myers Samuel A, O'Donoghue Anthony J, Caffrey Conor R

机构信息

Department of Chemistry and Biochemistry, University of California San Diego, La Jolla, California 92093, United States.

Center for Discovery and Innovation in Parasitic Diseases, Skaggs School of Pharmacy and Pharmaceutical Sciences, University of California, San Diego, La Jolla, California 92093, United States.

出版信息

ACS Omega. 2024 Aug 2;9(32):34829-34840. doi: 10.1021/acsomega.4c04316. eCollection 2024 Aug 13.

DOI:10.1021/acsomega.4c04316
PMID:39157084
原文链接:https://pmc.ncbi.nlm.nih.gov/articles/PMC11325529/
Abstract

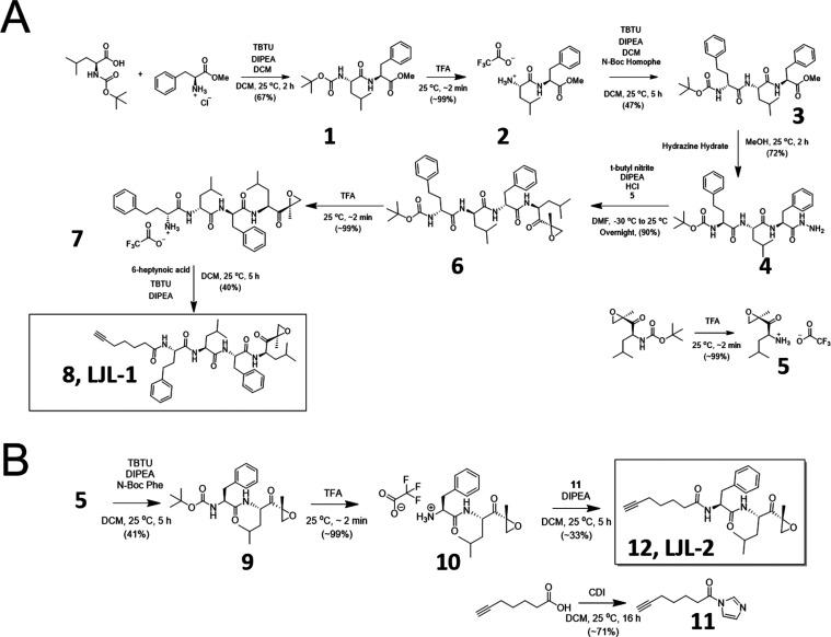
The 20S proteasome is a multimeric protease complex that is essential for proteostasis in the cell. Small molecule proteasome inhibitors are approved drugs for various cancers and are advancing clinically as antiparasitics. Although tools and technologies to study the 20S proteasome have advanced, only one probe is commercially available to image proteasome activity. This probe consists of a fluorescently labeled, peptidyl vinyl sulfone that binds to one or more of the catalytic proteasome subunits. Here, we synthesized two, active site-directed epoxyketone probes, LJL-1 and LJL-2, that were based on the peptidyl backbones of the anticancer drugs, carfilzomib and bortezomib, respectively. Each probe was conjugated, via click chemistry, to a bifunctional group comprising 5-carboxytetramethylrhodamine (TAMRA) and biotin to, respectively, visualize and enrich the 20S proteasome from protein extracts of two eukaryotic pathogens, and . Depending on species, each probe generated a different subunit-binding profile by sodium dodecyl sulphate-polyacrylamide gel electrophoresis (SDS-PAGE), and the biotin tag enabled the enrichment of the bound subunits which were then formally identified by proteomics. Species differences in the order of electrophoretic migration by the β subunits were also noted. Finally, both probes reacted specifically with the 20S subunits in contrast to the commercial vinyl sulfone probe that cross reacted with cysteine proteases. LJL-1 and LJL-2 should find general utility in the identification and characterization of pathogen proteasomes, and serve as reagents to evaluate the specificity and mechanism of binding of new antiparasitic proteasome inhibitors.

摘要

20S蛋白酶体是一种多聚体蛋白酶复合物,对细胞内蛋白质稳态至关重要。小分子蛋白酶体抑制剂是已获批用于治疗多种癌症的药物,目前正作为抗寄生虫药物推进临床试验。尽管研究20S蛋白酶体的工具和技术已有进展,但市面上仅有一种用于成像蛋白酶体活性的探针。该探针由一个荧光标记的肽基乙烯砜组成,可与一个或多个催化性蛋白酶体亚基结合。在此,我们合成了两种基于活性位点导向的环氧酮探针LJL-1和LJL-2,它们分别基于抗癌药物卡非佐米和硼替佐米的肽基骨架。每种探针通过点击化学与一个包含5-羧基四甲基罗丹明(TAMRA)和生物素的双功能基团偶联,以便分别从两种真核病原体的蛋白质提取物中可视化并富集20S蛋白酶体。根据物种不同,每种探针通过十二烷基硫酸钠-聚丙烯酰胺凝胶电泳(SDS-PAGE)产生不同的亚基结合图谱,并且生物素标签能够富集结合的亚基,随后通过蛋白质组学正式鉴定这些亚基。还注意到β亚基在电泳迁移顺序上的物种差异。最后,与可与半胱氨酸蛋白酶发生交叉反应的市售乙烯砜探针不同,这两种探针均与20S亚基发生特异性反应。LJL-1和LJL-2在病原体蛋白酶体的鉴定和表征中应具有广泛用途,并可作为评估新型抗寄生虫蛋白酶体抑制剂结合特异性和机制的试剂。

https://cdn.ncbi.nlm.nih.gov/pmc/blobs/0193/11325529/68c6cda9a2a7/ao4c04316_0005.jpg
https://cdn.ncbi.nlm.nih.gov/pmc/blobs/0193/11325529/14ebce2b76dd/ao4c04316_0001.jpg
https://cdn.ncbi.nlm.nih.gov/pmc/blobs/0193/11325529/21dab112d064/ao4c04316_0002.jpg
https://cdn.ncbi.nlm.nih.gov/pmc/blobs/0193/11325529/b2a546ca2294/ao4c04316_0003.jpg
https://cdn.ncbi.nlm.nih.gov/pmc/blobs/0193/11325529/a8a071fd9943/ao4c04316_0004.jpg
https://cdn.ncbi.nlm.nih.gov/pmc/blobs/0193/11325529/68c6cda9a2a7/ao4c04316_0005.jpg
https://cdn.ncbi.nlm.nih.gov/pmc/blobs/0193/11325529/14ebce2b76dd/ao4c04316_0001.jpg
https://cdn.ncbi.nlm.nih.gov/pmc/blobs/0193/11325529/21dab112d064/ao4c04316_0002.jpg
https://cdn.ncbi.nlm.nih.gov/pmc/blobs/0193/11325529/b2a546ca2294/ao4c04316_0003.jpg
https://cdn.ncbi.nlm.nih.gov/pmc/blobs/0193/11325529/a8a071fd9943/ao4c04316_0004.jpg
https://cdn.ncbi.nlm.nih.gov/pmc/blobs/0193/11325529/68c6cda9a2a7/ao4c04316_0005.jpg

相似文献

1
Clickable Probes for Pathogen Proteasomes: Synthesis and Applications.用于病原体蛋白酶体的可点击探针:合成与应用
ACS Omega. 2024 Aug 2;9(32):34829-34840. doi: 10.1021/acsomega.4c04316. eCollection 2024 Aug 13.
2
Isolation and characterization of two 20S proteasomes from the endoplasmic reticulum of rat liver microsomes.从大鼠肝脏微粒体内质网中分离并鉴定两种20S蛋白酶体。
J Biochem. 1999 Oct;126(4):722-30. doi: 10.1093/oxfordjournals.jbchem.a022509.
3
Combined treatment of human multiple myeloma cells with bortezomib and doxorubicin alters the interactome of 20S proteasomes.硼替佐米联合多柔比星治疗多发性骨髓瘤细胞改变 20S 蛋白酶体的互作组。
Cell Cycle. 2018;17(14):1745-1756. doi: 10.1080/15384101.2018.1496742. Epub 2018 Aug 1.
4
Gel-based proteomics analysis of the heterogeneity of 20S proteasomes from four human pancreatic cancer cell lines.基于凝胶的 20S 蛋白酶体异质性的蛋白质组学分析来自于四种人胰腺癌细胞系。
Proteomics Clin Appl. 2011 Oct;5(9-10):484-92. doi: 10.1002/prca.201000149. Epub 2011 Jul 13.
5
Distinct substrate specificities of the three catalytic subunits of the Trichomonas vaginalis proteasome.阴道毛滴虫蛋白酶体的三个催化亚基具有不同的底物特异性。
Protein Sci. 2024 Dec;33(12):e5225. doi: 10.1002/pro.5225.
6
A quantitative proteomic approach using two-dimensional gel electrophoresis and isotope-coded affinity tag labeling for studying human 20S proteasome heterogeneity.一种使用二维凝胶电泳和同位素编码亲和标签标记来研究人20S蛋白酶体异质性的定量蛋白质组学方法。
Proteomics. 2005 Jun;5(9):2351-63. doi: 10.1002/pmic.200401281.
7
Inhibitors of the eukaryotic 20S proteasome core particle: a structural approach.真核生物20S蛋白酶体核心颗粒抑制剂:一种结构学方法。
Biochim Biophys Acta. 2004 Nov 29;1695(1-3):33-44. doi: 10.1016/j.bbamcr.2004.09.025.
8
Halophilic 20S proteasomes of the archaeon Haloferax volcanii: purification, characterization, and gene sequence analysis.嗜盐古菌沃氏嗜盐碱杆菌的嗜盐20S蛋白酶体:纯化、表征及基因序列分析
J Bacteriol. 1999 Sep;181(18):5814-24. doi: 10.1128/JB.181.18.5814-5824.1999.
9
[The proteasome - structural aspects and inhibitors: a second life for a validated drug target].[蛋白酶体——结构方面与抑制剂:一个已验证药物靶点的新生命]
Biol Aujourdhui. 2021;215(1-2):1-23. doi: 10.1051/jbio/2021005. Epub 2021 Aug 16.
10
20S Proteasome as a Drug Target in Trichomonas vaginalis.20S 蛋白酶体作为阴道毛滴虫的药物靶点。
Antimicrob Agents Chemother. 2019 Oct 22;63(11). doi: 10.1128/AAC.00448-19. Print 2019 Nov.

引用本文的文献

1
Design, Synthesis, and Evaluation of Aza-Peptide Michael Acceptors as Human 20S Proteasome Inhibitors: Extension to the Prime Site.氮杂肽迈克尔受体作为人20S蛋白酶体抑制剂的设计、合成与评价:向活性中心的拓展
ACS Omega. 2025 Jul 16;10(29):31549-31567. doi: 10.1021/acsomega.5c02128. eCollection 2025 Jul 29.

本文引用的文献

1
"Click Chemistry": An Emerging Tool for Developing a New Class of Structural Motifs against Various Neurodegenerative Disorders.“点击化学”:开发针对各种神经退行性疾病的新型结构基序的新兴工具。
ACS Omega. 2023 Nov 14;8(47):44437-44457. doi: 10.1021/acsomega.3c04960. eCollection 2023 Nov 28.
2
Structure-Activity Relationships, Tolerability and Efficacy of Microtubule-Active 1,2,4-Triazolo[1,5-a]pyrimidines as Potential Candidates to Treat Human African Trypanosomiasis.微管活性 1,2,4-三唑并[1,5-a]嘧啶作为治疗人类非洲锥虫病的潜在候选药物的构效关系、耐受性和疗效。
ChemMedChem. 2023 Oct 17;18(20):e202300193. doi: 10.1002/cmdc.202300193. Epub 2023 Jul 24.
3
Orthogonal approaches required to measure proteasome composition and activity in mammalian brain tissue.
需要正交方法来测量哺乳动物脑组织中的蛋白酶体组成和活性。
J Biol Chem. 2023 Jun;299(6):104811. doi: 10.1016/j.jbc.2023.104811. Epub 2023 May 11.
4
Human nuclear hormone receptor activity contributes to malaria parasite liver stage development.人类核激素受体活性有助于疟原虫肝脏阶段的发育。
Cell Chem Biol. 2023 May 18;30(5):486-498.e7. doi: 10.1016/j.chembiol.2023.04.011. Epub 2023 May 11.
5
20S proteasome hydrolysis of LLVY substrates to determine preferences for moieties in its primed substrate channel.20S 蛋白酶体对 LLVY 底物的水解,以确定其被激活底物通道中基团的偏好性。
Bioorg Med Chem Lett. 2023 Apr 1;85:129233. doi: 10.1016/j.bmcl.2023.129233. Epub 2023 Mar 9.
6
Structure-activity relationship of dibenzylideneacetone analogs against the neglected disease pathogen, Trypanosoma brucei.二苄基乙二酮类似物对被忽视疾病病原体——布氏锥虫的构效关系研究。
Bioorg Med Chem Lett. 2023 Feb 1;81:129123. doi: 10.1016/j.bmcl.2023.129123. Epub 2023 Jan 3.
7
Application of "Click" Chemistry in Biomedical Hydrogels.“点击”化学在生物医学水凝胶中的应用
ACS Omega. 2022 Oct 12;7(42):36918-36928. doi: 10.1021/acsomega.2c03931. eCollection 2022 Oct 25.
8
Discovery of Druggable Serine Proteases by Activity-Based Protein Profiling.基于活性的蛋白质谱分析发现可成药的丝氨酸蛋白酶
Front Pharmacol. 2022 Jul 15;13:929493. doi: 10.3389/fphar.2022.929493. eCollection 2022.
9
Design, Synthesis, and Optimization of Macrocyclic Peptides as Species-Selective Antimalaria Proteasome Inhibitors.设计、合成和优化大环肽作为具有物种选择性的抗疟蛋白酶体抑制剂。
J Med Chem. 2022 Jul 14;65(13):9350-9375. doi: 10.1021/acs.jmedchem.2c00611. Epub 2022 Jun 21.
10
Peptidic boronic acids are potent cell-permeable inhibitors of the malaria parasite egress serine protease SUB1.肽硼酸是疟原虫出芽丝氨酸蛋白酶 SUB1 的有效细胞穿透抑制剂。
Proc Natl Acad Sci U S A. 2021 May 18;118(20). doi: 10.1073/pnas.2022696118.