Suppr超能文献

黄带虾虎鱼早期发育阶段对2,7-二溴咔唑暴露的毒性评估及转录组分析

Toxicity Evaluation and Transcriptome Analysis of Yellowstripe Goby () in Response to 2,7-Dibromocarbazole Exposure during Early Development.

作者信息

Gao Caixia, Lai Suqun, Zeng Jin, Peng Ying, Li Jianjun

机构信息

Guangdong Provincial Biotechnology Research Institute (Guangdong Provincial Laboratory Animals Monitoring Center), Guangzhou 510663, China.

Research and Development Center for Watershed Environmental Eco-Engineering, Advanced Institute of Natural Sciences, Beijing Normal University, Zhuhai 519087, China.

出版信息

Toxics. 2024 Aug 20;12(8):609. doi: 10.3390/toxics12080609.

Abstract

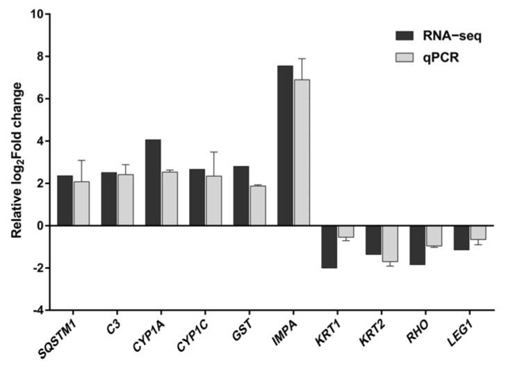
Polyhalogenated carbazoles (PHCZs) are a class of nitrogen-containing heterocyclic compounds that are widely distributed throughout the marine environment and sediment. These compounds share structural and toxicity similarities with dioxins. However, our understanding of the toxicological effects of PHCZs on marine organisms and their underlying molecular mechanisms remains limited. In this study, we employed the marine model organism as the experimental subject and selected 2,7-dibromocarbazole (2,7-DBCZ), a compound known for its high toxicity and detection frequency, to conduct both an acute toxicity test and transcriptome analysis on embryos. Our findings revealed that the 96 h median lethal concentration (LC) of 2,7-DBCZ for embryos was 174 μg/L, with a median effective concentration (EC) resulting in pericardial edema deformity of 88.82 μg/L. Transcriptome analysis revealed significant impacts on various systems in embryos following exposure to 2,7-DBCZ, including the sensory, cardiovascular, immune, and endocrine systems. Furthermore, this compound perturbed signaling pathways such as phototransduction, protein folding and processing, amino acid metabolism, lipid transport, and exogenous compound metabolism. Notably, transcript abundance of the gene associated with the activation of the AhR signaling pathway, similar to dioxin-like compounds, was 18.18 times higher than that in the control group. This observation suggests that embryos mount a stress response when exposed to PHCZs. In summary, this study contributes to our understanding of the toxicological implications of PHCZ in marine fish and offers a theoretical foundation for risk assessment and regulatory frameworks for PHCZs in the marine environment.

摘要

多卤代咔唑(PHCZs)是一类含氮杂环化合物,广泛分布于海洋环境和沉积物中。这些化合物与二噁英在结构和毒性上具有相似性。然而,我们对PHCZs对海洋生物的毒理学效应及其潜在分子机制的了解仍然有限。在本研究中,我们以海洋模式生物作为实验对象,选择了毒性高且检测频率高的化合物2,7-二溴咔唑(2,7-DBCZ),对胚胎进行急性毒性试验和转录组分析。我们的研究结果表明,2,7-DBCZ对胚胎的96小时半数致死浓度(LC)为174μg/L,导致心包水肿畸形的半数有效浓度(EC)为88.82μg/L。转录组分析显示,暴露于2,7-DBCZ后,胚胎的各个系统受到显著影响,包括感觉、心血管、免疫和内分泌系统。此外,该化合物扰乱了光转导、蛋白质折叠和加工、氨基酸代谢、脂质运输和外源化合物代谢等信号通路。值得注意的是,与二噁英类化合物类似,与芳烃受体(AhR)信号通路激活相关的基因转录丰度比对照组高18.18倍。这一观察结果表明,胚胎在暴露于PHCZs时会产生应激反应。总之,本研究有助于我们了解PHCZ对海洋鱼类的毒理学影响,并为海洋环境中PHCZs的风险评估和监管框架提供理论基础。

https://cdn.ncbi.nlm.nih.gov/pmc/blobs/3778/11359896/7264426c8f40/toxics-12-00609-g001.jpg

文献AI研究员

20分钟写一篇综述,助力文献阅读效率提升50倍。

立即体验

用中文搜PubMed

大模型驱动的PubMed中文搜索引擎

马上搜索

文档翻译

学术文献翻译模型,支持多种主流文档格式。

立即体验