• 文献检索
  • 文档翻译
  • 深度研究
  • 学术资讯
  • Suppr Zotero 插件Zotero 插件
  • 邀请有礼
  • 套餐&价格
  • 历史记录
应用&插件
Suppr Zotero 插件Zotero 插件浏览器插件Mac 客户端Windows 客户端微信小程序
定价
高级版会员购买积分包购买API积分包
服务
文献检索文档翻译深度研究API 文档MCP 服务
关于我们
关于 Suppr公司介绍联系我们用户协议隐私条款
关注我们

Suppr 超能文献

核心技术专利:CN118964589B侵权必究
粤ICP备2023148730 号-1Suppr @ 2026

文献检索

告别复杂PubMed语法,用中文像聊天一样搜索,搜遍4000万医学文献。AI智能推荐,让科研检索更轻松。

立即免费搜索

文件翻译

保留排版,准确专业,支持PDF/Word/PPT等文件格式,支持 12+语言互译。

免费翻译文档

深度研究

AI帮你快速写综述,25分钟生成高质量综述,智能提取关键信息,辅助科研写作。

立即免费体验

循环免疫细胞和 CA125 动态变化对晚期卵巢癌新辅助治疗选择的影响。

The Influence of Circulating Immune Cell and CA125 Dynamics on Neoadjuvant Therapy Selection for Advanced Ovarian Cancer.

机构信息

Department 8-Clinical Medicine, Carol Davila University of Medicine and Pharmacy, 8 Sanitary Heroes Boulevard, 050474 Bucharest, Romania.

Department of Medical Oncology, Elias Emergency University Hospital, 17 Bd. Marasti, 011461 Bucharest, Romania.

出版信息

Medicina (Kaunas). 2024 Aug 9;60(8):1290. doi: 10.3390/medicina60081290.

DOI:10.3390/medicina60081290
PMID:39202571
原文链接:https://pmc.ncbi.nlm.nih.gov/articles/PMC11356539/
Abstract

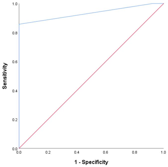
Ovarian cancer, including tubal and peritoneal cancer, is the third most common gynecological cancer and the leading cause of death from gynecological malignancies in developed countries. This study explores the prognostic value of the neutrophil-to-lymphocyte ratio (NLR) in determining the optimal duration of neoadjuvant chemotherapy (NACT) for advanced ovarian cancer. It also investigates the correlation between NLR dynamics and the KELIM score, a chemosensitivity marker, to enhance individualized therapeutic strategies. A total of 79 patients underwent NACT followed by interval debulking surgery (IDS) or palliative care. The data collected included demographic information, tumor characteristics, treatment modalities, and laboratory parameters. The baseline NLR (NLR-T0) and post-therapeutic NLR (NLR-T1) were calculated, and their variation (NLR∆) was analyzed. The KELIM score was determined using CA-125 values. Patients with a high baseline NLR (≥2.5) had significantly worse progression-free survival (PFS) and overall survival (OS) compared to those with a low NLR (<2.5). A negative NLR∆ was associated with poorer PFS and OS. The KELIM score indicated a more effective treatment response, with higher scores correlating with better outcomes. The majority of patients achieved R0 resection, and those with favorable KELIM scores showed improved survival rates. The NLR is a valuable prognostic marker for assessing treatment response and guiding NACT duration in advanced ovarian cancer.

摘要

卵巢癌包括输卵管癌和腹膜癌,是第三大常见妇科癌症,也是发达国家妇科恶性肿瘤死亡的主要原因。本研究探讨中性粒细胞与淋巴细胞比值(NLR)在确定晚期卵巢癌新辅助化疗(NACT)最佳持续时间中的预后价值。它还研究了 NLR 动态与化疗敏感性标志物 KELIM 评分之间的相关性,以增强个体化治疗策略。

共有 79 名患者接受了 NACT 治疗,随后进行了间隔减瘤手术(IDS)或姑息治疗。收集的数据包括人口统计学信息、肿瘤特征、治疗方式和实验室参数。计算了基线 NLR(NLR-T0)和治疗后 NLR(NLR-T1),并分析了它们的变化(NLR∆)。使用 CA-125 值确定 KELIM 评分。

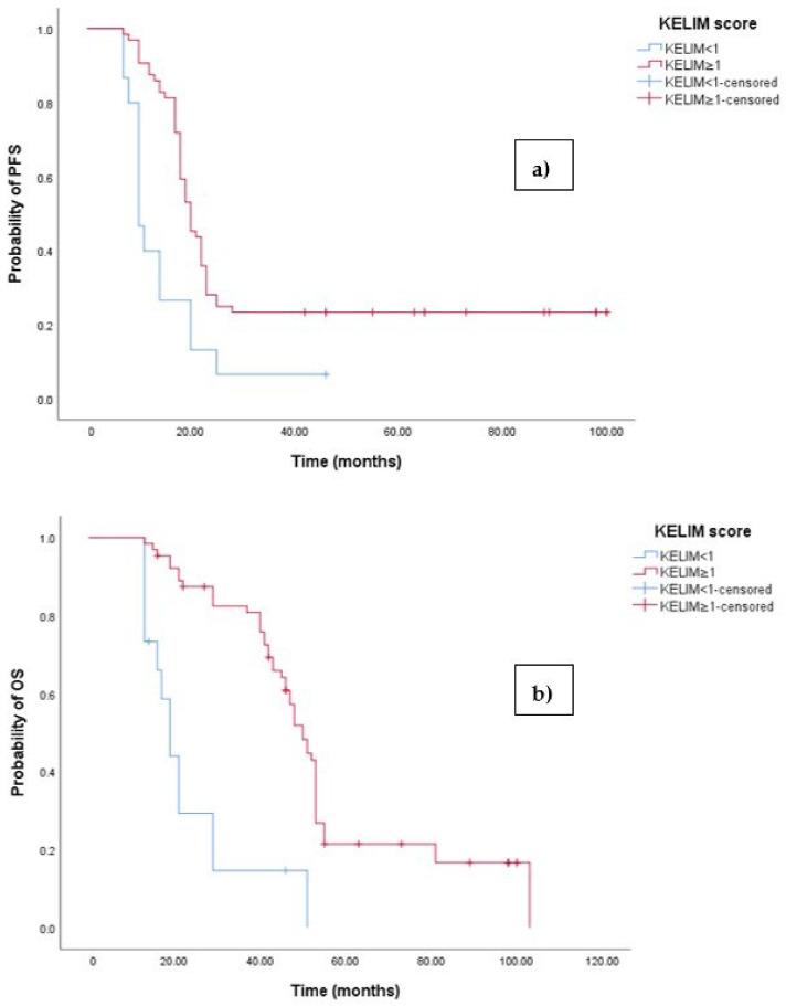
基线 NLR 较高(≥2.5)的患者与 NLR 较低(<2.5)的患者相比,无进展生存期(PFS)和总生存期(OS)明显更差。NLR∆为负与较差的 PFS 和 OS 相关。KELIM 评分表明治疗反应更有效,得分越高,结果越好。大多数患者达到了 R0 切除,KELIM 评分良好的患者生存率提高。

NLR 是评估治疗反应和指导晚期卵巢癌 NACT 持续时间的有价值的预后标志物。

https://cdn.ncbi.nlm.nih.gov/pmc/blobs/7eb2/11356539/002d9cfb3e34/medicina-60-01290-g007.jpg
https://cdn.ncbi.nlm.nih.gov/pmc/blobs/7eb2/11356539/f8edad110737/medicina-60-01290-g001.jpg
https://cdn.ncbi.nlm.nih.gov/pmc/blobs/7eb2/11356539/f1446e1aa4da/medicina-60-01290-g002.jpg
https://cdn.ncbi.nlm.nih.gov/pmc/blobs/7eb2/11356539/8a5f0a7c8407/medicina-60-01290-g003a.jpg
https://cdn.ncbi.nlm.nih.gov/pmc/blobs/7eb2/11356539/604130f1992d/medicina-60-01290-g004a.jpg
https://cdn.ncbi.nlm.nih.gov/pmc/blobs/7eb2/11356539/a32f934028e4/medicina-60-01290-g005.jpg
https://cdn.ncbi.nlm.nih.gov/pmc/blobs/7eb2/11356539/49ca8b0ce000/medicina-60-01290-g006.jpg
https://cdn.ncbi.nlm.nih.gov/pmc/blobs/7eb2/11356539/002d9cfb3e34/medicina-60-01290-g007.jpg
https://cdn.ncbi.nlm.nih.gov/pmc/blobs/7eb2/11356539/f8edad110737/medicina-60-01290-g001.jpg
https://cdn.ncbi.nlm.nih.gov/pmc/blobs/7eb2/11356539/f1446e1aa4da/medicina-60-01290-g002.jpg
https://cdn.ncbi.nlm.nih.gov/pmc/blobs/7eb2/11356539/8a5f0a7c8407/medicina-60-01290-g003a.jpg
https://cdn.ncbi.nlm.nih.gov/pmc/blobs/7eb2/11356539/604130f1992d/medicina-60-01290-g004a.jpg
https://cdn.ncbi.nlm.nih.gov/pmc/blobs/7eb2/11356539/a32f934028e4/medicina-60-01290-g005.jpg
https://cdn.ncbi.nlm.nih.gov/pmc/blobs/7eb2/11356539/49ca8b0ce000/medicina-60-01290-g006.jpg
https://cdn.ncbi.nlm.nih.gov/pmc/blobs/7eb2/11356539/002d9cfb3e34/medicina-60-01290-g007.jpg

相似文献

1
The Influence of Circulating Immune Cell and CA125 Dynamics on Neoadjuvant Therapy Selection for Advanced Ovarian Cancer.循环免疫细胞和 CA125 动态变化对晚期卵巢癌新辅助治疗选择的影响。
Medicina (Kaunas). 2024 Aug 9;60(8):1290. doi: 10.3390/medicina60081290.
2
CA-125 elimination rate constant K (KELIM) as a promising predictor of complete cytoreduction after neoadjuvant chemotherapy in advanced ovarian cancer patients: a retrospective study from two Chinese hospitals.CA-125 消除率常数 K(KELIM)作为新辅助化疗后晚期卵巢癌患者完全肿瘤细胞减灭术的有前途的预测指标:来自两家中国医院的回顾性研究。
BMC Cancer. 2024 May 20;24(1):609. doi: 10.1186/s12885-024-12252-3.
3
Confirmation of the utility of the CA-125 elimination rate (KELIM) as an indicator of the chemosensitivity in advanced-stage ovarian cancer in a "real-life setting".在“真实环境”中确认 CA-125 消除率(KELIM)作为晚期卵巢癌化疗敏感性指标的实用性。
J Gynecol Oncol. 2024 May;35(3):e34. doi: 10.3802/jgo.2024.35.e34. Epub 2024 Jan 8.
4
Correlating the KELIM (CA125 elimination rate constant K) score and the chemo-response score as predictors of chemosensitivity in patients with advanced ovarian carcinoma.将 KELIM(CA125 消除率常数 K)评分与化疗反应评分相关联,作为预测晚期卵巢癌患者化疗敏感性的指标。
Gynecol Oncol. 2024 Aug;187:92-97. doi: 10.1016/j.ygyno.2024.04.009. Epub 2024 May 11.
5
Serum CA125 levels predict outcome of interval debulking surgery after neoadjuvant chemotherapy in patients with advanced ovarian cancer.血清 CA125 水平可预测新辅助化疗后晚期卵巢癌患者间隔减瘤手术后的结局。
Clin Chim Acta. 2018 Sep;484:32-35. doi: 10.1016/j.cca.2018.04.030. Epub 2018 Apr 24.
6
CA-125 ELIMination Rate Constant K (KELIM) Is a Marker of Chemosensitivity in Patients with Ovarian Cancer: Results from the Phase II CHIVA Trial.CA-125 消除率常数 K(KELIM)是卵巢癌患者化疗敏感性的标志物:来自 II 期 CHIVA 试验的结果。
Clin Cancer Res. 2020 Sep 1;26(17):4625-4632. doi: 10.1158/1078-0432.CCR-20-0054. Epub 2020 Mar 24.
7
Neutrophil-to-lymphocyte ratio and chemotherapy response score as prognostic markers in ovarian cancer patients treated with neoadjuvant chemotherapy.中性粒细胞与淋巴细胞比值及化疗反应评分作为新辅助化疗治疗卵巢癌患者的预后标志物。
J Ovarian Res. 2021 Nov 1;14(1):148. doi: 10.1186/s13048-021-00902-0.
8
[Analysis of factors related to the prognostic benefit of neoadjuvant chemotherapy followed by interval debulking surgery in patients with advanced ovarian cancer].[晚期卵巢癌患者新辅助化疗后行间隔减瘤手术的预后获益相关因素分析]
Zhonghua Fu Chan Ke Za Zhi. 2021 Jun 25;56(6):385-392. doi: 10.3760/cma.j.cn112141-20201207-00871.
9
Prognostic analysis of peritoneal washing cytology during interval debulking surgery in advanced ovarian cancer.晚期卵巢癌间歇性肿瘤细胞减灭术中腹腔冲洗细胞学的预后分析。
J Ovarian Res. 2024 Aug 24;17(1):170. doi: 10.1186/s13048-024-01494-1.
10
Association of Chemotherapy Response Score with Multidrug Resistance 1 and CA125 ELIMination Rate Constant K in Patients with Advanced Ovarian Cancer Treated with Neoadjuvant Chemotherapy.新辅助化疗治疗晚期卵巢癌患者的化疗反应评分与多药耐药 1 和 CA125 消除率常数 K 的相关性。
Kurume Med J. 2024 Jul 2;70(1.2):29-37. doi: 10.2739/kurumemedj.MS7012004. Epub 2024 Mar 29.

本文引用的文献

1
External validation of Standardized KELIM and platinum-resistant recurrence scores in patients with advanced epithelial ovarian cancer.晚期上皮性卵巢癌患者标准化 KELIM 和铂耐药复发评分的外部验证。
J Ovarian Res. 2024 Jul 22;17(1):152. doi: 10.1186/s13048-024-01476-3.
2
Global, regional, and national quality of care index of cervical and ovarian cancer: a systematic analysis for the global burden of disease study 1990-2019.全球、区域和国家宫颈癌及卵巢癌护理质量指数:1990 - 2019年全球疾病负担研究的系统分析
BMC Womens Health. 2024 Jan 25;24(1):69. doi: 10.1186/s12905-024-02884-9.
3
Confirmation of the utility of the CA-125 elimination rate (KELIM) as an indicator of the chemosensitivity in advanced-stage ovarian cancer in a "real-life setting".
在“真实环境”中确认 CA-125 消除率(KELIM)作为晚期卵巢癌化疗敏感性指标的实用性。
J Gynecol Oncol. 2024 May;35(3):e34. doi: 10.3802/jgo.2024.35.e34. Epub 2024 Jan 8.
4
Systemic Neutrophil-to-Lymphocyte Ratio as a Prognostic Biomarker for Colon Cancer.系统性中性粒细胞与淋巴细胞比值作为结肠癌的预后生物标志物。
Chirurgia (Bucur). 2023 Jun;118(3):260-271. doi: 10.21614/chirurgia.2023.v.118.i.3.p.260.
5
Validation of the KELIM score as a predictor of response to neoadjuvant treatment in patients with advanced high grade serous ovarian cancer.验证 KELIM 评分作为预测晚期高级别浆液性卵巢癌患者新辅助治疗反应的指标。
Gynecol Oncol. 2022 Dec;167(3):417-422. doi: 10.1016/j.ygyno.2022.10.014. Epub 2022 Oct 27.
6
Identification of Patients With Ovarian Cancer Experiencing the Highest Benefit From Bevacizumab in the First-Line Setting on the Basis of Their Tumor-Intrinsic Chemosensitivity (KELIM): The GOG-0218 Validation Study.基于肿瘤内在化疗敏感性(KELIM)识别一线治疗中贝伐珠单抗获益最高的卵巢癌患者:GOG-0218 验证研究。
J Clin Oncol. 2022 Dec 1;40(34):3965-3974. doi: 10.1200/JCO.22.01207. Epub 2022 Oct 17.
7
Correlation Between Pretreatment Neutrophil-to-Lymphocyte Ratio and Programmed Death-Ligand 1 Expression as Prognostic Markers in Non-Small Cell Lung Cancer.非小细胞肺癌中预处理中性粒细胞与淋巴细胞比值和程序性死亡配体1表达作为预后标志物的相关性
Cureus. 2022 Jul 14;14(7):e26843. doi: 10.7759/cureus.26843. eCollection 2022 Jul.
8
Cancer statistics, 2022.癌症统计数据,2022 年。
CA Cancer J Clin. 2022 Jan;72(1):7-33. doi: 10.3322/caac.21708. Epub 2022 Jan 12.
9
Decrease in Neutrophil-to-Lymphocyte Ratio during Neoadjuvant Chemotherapy as a Predictive and Prognostic Marker in Advanced Ovarian Cancer.新辅助化疗期间中性粒细胞与淋巴细胞比值降低作为晚期卵巢癌的预测和预后标志物
Diagnostics (Basel). 2021 Jul 20;11(7):1298. doi: 10.3390/diagnostics11071298.
10
Global Cancer Statistics 2020: GLOBOCAN Estimates of Incidence and Mortality Worldwide for 36 Cancers in 185 Countries.《全球癌症统计数据 2020:全球 185 个国家和地区 36 种癌症的发病率和死亡率估计》。
CA Cancer J Clin. 2021 May;71(3):209-249. doi: 10.3322/caac.21660. Epub 2021 Feb 4.