Suppr超能文献

野生日本岩雷鸟经常食用的高山植物中次生代谢产物的抗球虫活性。

Anticoccidial activity of the secondary metabolites in alpine plants frequently ingested by wild Japanese rock ptarmigans.

作者信息

Haraguchi Asako, Nagasawa Jyunki, Kuramochi Kouji, Tsuchida Sayaka, Kobayashi Atsushi, Hatabu Toshimitsu, Sasai Kazumi, Ikadai Hiromi, Ushida Kazunari, Matsubayashi Makoto

机构信息

Department of Veterinary Immunology, Graduate School of Veterinary Sciences, Osaka Metropolitan University, Izumisano, Osaka, 598-8531, Japan.

Laboratory of Veterinary Parasitology, School of Veterinary Medicine, Kitasato University, Towada, Aomori, 034-8628, Japan.

出版信息

Int J Parasitol Parasites Wildl. 2024 Jul 14;25:100967. doi: 10.1016/j.ijppaw.2024.100967. eCollection 2024 Dec.

Abstract

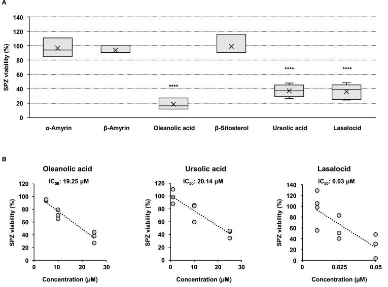
The Japanese rock ptarmigan () is an herbivorous species of partridges that inhabits only alpine zones. Alpine plants are their main source of food. These alpine plants contain toxic compounds to deter herbivores from consuming them. A previous analysis of the alpine plants frequently consumed by Japanese rock ptarmigans revealed the presence of a unique mixture of secondary metabolites and a novel compound. Additionally, wild Japanese rock ptarmigans are often infected by two species of parasites. When these parasites were experimentally administered to Svalbard rock ptarmigans (), which do not feed on alpine plants, the birds exhibited symptoms, such as diarrhea and depression, and in some cases, they died. Although little is known about the pathogenesis of these parasites in wild Japanese rock ptarmigans, it was hypothesized that compounds found in alpine plants, their main food source, may reduce the pathogenicity of parasites. In the present study, we evaluated the anticoccidial activity of the compounds derived from alpine plants using , which infects chickens belonging to the same pheasant family, as an experimental model. Twenty-seven natural components were extracted from eight alpine plants. The natural components were added to sporozoites and incubated for 24 h to evaluate their direct effect. Additionally, Madin-Darby bovine kidney cells were incubated with sporozoites and natural components for 24 h to evaluate the inhibitory effect of the components on sporozoite cell invasion. Six compounds from four alpine plants decreased sporozoite viability by up to 88.3%, and two compounds inhibited sporozoite invasion into the cells. Although further studies are needed to evaluate the effects of these components against infections , our findings suggest that these alpine plants may reduce the degree of infection by decreasing the number of sporozoites in the intestinal tract.

摘要

日本岩雷鸟是一种食草性雉类,仅栖息于高山地带。高山植物是它们的主要食物来源。这些高山植物含有有毒化合物以阻止食草动物食用。先前对日本岩雷鸟经常食用的高山植物的分析揭示了一种独特的次生代谢物混合物和一种新化合物的存在。此外,野生日本岩雷鸟经常感染两种寄生虫。当将这些寄生虫实验性地接种到不以高山植物为食的斯瓦尔巴德岩雷鸟身上时,这些鸟出现了腹泻和抑郁等症状,在某些情况下还死亡了。尽管对于这些寄生虫在野生日本岩雷鸟中的发病机制知之甚少,但据推测其主要食物来源高山植物中发现的化合物可能会降低寄生虫的致病性。在本研究中,我们以感染同属雉科的鸡的艾美耳球虫为实验模型,评估了从高山植物中提取的化合物的抗球虫活性。从八种高山植物中提取了27种天然成分。将这些天然成分添加到艾美耳球虫子孢子中并孵育24小时以评估其直接作用。此外,将Madin-Darby牛肾细胞与子孢子和天然成分一起孵育24小时,以评估这些成分对子孢子细胞侵袭的抑制作用。来自四种高山植物的六种化合物使子孢子活力降低了88.3%之多,两种化合物抑制子孢子侵入细胞。尽管需要进一步研究来评估这些成分对艾美耳球虫感染的影响,但我们的研究结果表明,这些高山植物可能通过减少肠道内子孢子的数量来降低感染程度。

https://cdn.ncbi.nlm.nih.gov/pmc/blobs/f38d/11362645/8cd22cd1d432/ga1.jpg

文献检索

告别复杂PubMed语法,用中文像聊天一样搜索,搜遍4000万医学文献。AI智能推荐,让科研检索更轻松。

立即免费搜索

文件翻译

保留排版,准确专业,支持PDF/Word/PPT等文件格式,支持 12+语言互译。

免费翻译文档

深度研究

AI帮你快速写综述,25分钟生成高质量综述,智能提取关键信息,辅助科研写作。

立即免费体验