Suppr超能文献

多维预测住院虚弱患者压疮的发展和严重程度:一项回顾性研究。

Multidimensional-Based Prediction of Pressure Ulcers Development and Severity in Hospitalized Frail : A Retrospective Study.

机构信息

Section of Geriatrics, Department of Internal Medicine and Medical Specialties (DIMI), University of Genoa, Genoa, 16132, Italy.

IRCCS Ospedale Policlinico San Martino, Genoa, Italy.

出版信息

Clin Interv Aging. 2024 Sep 4;19:1509-1517. doi: 10.2147/CIA.S440943. eCollection 2024.

Abstract

PURPOSE

In recent times, growing uncertainty has emerged regarding the effectiveness of standard pressure ulcer (PU) risk assessment tools, which are suspected to be no better than clinical judgment, especially in the frail and comorbid elderly population. This study aimed to identify the primary clinical predictive variables for PU development and severity in hospitalized older adults, utilizing a multidimensional frailty assessment, and compare them with the Braden scale.

PATIENTS AND METHODS

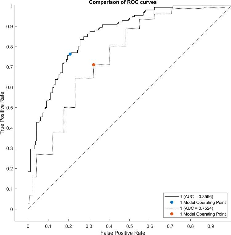
The population consisted of 316 patients, admitted to the Geriatric Unit and Transitional Care of San Bartolomeo Hospital in Sarzana (Italy) during the period 21/02/22-01/07/22. The collected information included both anamnestic and laboratory data. A comprehensive geriatric assessment was performed, including also anthropometric and physical performance measurements. Multivariate logistic analysis was used, both in a binary classification test and in the subsequent ordinal classification test of severity levels. The final performance of the model was assessed by ROC curve estimation and AUC comparison with the Braden scale.

RESULTS

Within the population, 152 subjects (48%) developed PU at different levels of severity. The results showed that age, Braden scale (subscales of mobility and friction/shear), Barthel scale, Mini Nutritional Assessment, hemoglobin, and albumin are predictors associated with the development of PU (AUC 85%). The result is an improvement over the use of the Braden scale alone (AUC 75%). Regarding the identification of predictive factors for PU severity, 4AT also emerges as potentially relevant.

CONCLUSION

Assessing the subject's nutritional status, physical performance, and functional autonomies enables the effective integration of the Braden scale in identifying patients most susceptible to developing PU. Our findings support the integration of a comprehensive set of methodologically robust frailty determinants into traditional risk assessment tools. This integration reflects the mutual interplay between patients' frailty, skin frailty, and PU development in very old hospitalized patients.

摘要

目的

最近,人们对标准压疮(PU)风险评估工具的有效性产生了越来越多的不确定性,这些工具的效果据说并不比临床判断好,尤其是在体弱多病和合并症较多的老年人群中。本研究旨在利用多维衰弱评估来确定住院老年患者发生和严重程度的主要临床预测变量,并将其与 Braden 量表进行比较。

患者和方法

该人群包括 2022 年 2 月 21 日至 7 月 1 日期间在意大利萨扎纳的圣巴托洛梅奥医院老年病房和过渡护理病房住院的 316 名患者。收集的信息包括病史和实验室数据。进行了全面的老年评估,包括人体测量和身体表现测量。使用多变量逻辑分析进行二元分类测试和严重程度水平的后续有序分类测试。通过 ROC 曲线估计和与 Braden 量表的 AUC 比较来评估模型的最终性能。

结果

在该人群中,152 名患者(48%)出现不同严重程度的 PU。结果表明,年龄、Braden 量表(移动和摩擦/剪切亚量表)、Barthel 量表、迷你营养评估、血红蛋白和白蛋白是与 PU 发生相关的预测因素(AUC 为 85%)。这一结果优于单独使用 Braden 量表(AUC 为 75%)。关于识别 PU 严重程度的预测因素,4AT 也显示出潜在的相关性。

结论

评估患者的营养状况、身体表现和功能自主性,可以有效整合 Braden 量表来识别最易发生 PU 的患者。我们的发现支持将一组方法上稳健的衰弱决定因素纳入传统风险评估工具。这种整合反映了患者的衰弱、皮肤衰弱和非常老年住院患者的 PU 发展之间的相互作用。

https://cdn.ncbi.nlm.nih.gov/pmc/blobs/19e3/11381216/165c83199628/CIA-19-1509-g0001.jpg

文献检索

告别复杂PubMed语法,用中文像聊天一样搜索,搜遍4000万医学文献。AI智能推荐,让科研检索更轻松。

立即免费搜索

文件翻译

保留排版,准确专业,支持PDF/Word/PPT等文件格式,支持 12+语言互译。

免费翻译文档

深度研究

AI帮你快速写综述,25分钟生成高质量综述,智能提取关键信息,辅助科研写作。

立即免费体验