• 文献检索
  • 文档翻译
  • 深度研究
  • 学术资讯
  • Suppr Zotero 插件Zotero 插件
  • 邀请有礼
  • 套餐&价格
  • 历史记录
应用&插件
Suppr Zotero 插件Zotero 插件浏览器插件Mac 客户端Windows 客户端微信小程序
定价
高级版会员购买积分包购买API积分包
服务
文献检索文档翻译深度研究API 文档MCP 服务
关于我们
关于 Suppr公司介绍联系我们用户协议隐私条款
关注我们

Suppr 超能文献

核心技术专利:CN118964589B侵权必究
粤ICP备2023148730 号-1Suppr @ 2026

文献检索

告别复杂PubMed语法,用中文像聊天一样搜索,搜遍4000万医学文献。AI智能推荐,让科研检索更轻松。

立即免费搜索

文件翻译

保留排版,准确专业,支持PDF/Word/PPT等文件格式,支持 12+语言互译。

免费翻译文档

深度研究

AI帮你快速写综述,25分钟生成高质量综述,智能提取关键信息,辅助科研写作。

立即免费体验

硅基自由基作为单电子还原剂:通过光催化氧化引发的自由基链过程形成α-氨基烷基自由基

Silyl Radicals as Single-Electron Reductants: α-Aminoalkyl Radical Formation via a Photocatalytic Oxidatively Initiated Radical Chain Process.

作者信息

Waller Harry C, Gaunt Matthew J

机构信息

Yusuf Hamied Department of Chemistry, University of Cambridge, Cambridge CB2 1EW, United Kingdom.

出版信息

J Am Chem Soc. 2024 Sep 25;146(38):25894-25901. doi: 10.1021/jacs.4c08230. Epub 2024 Sep 16.

DOI:10.1021/jacs.4c08230
PMID:39283265
原文链接:https://pmc.ncbi.nlm.nih.gov/articles/PMC11440502/
Abstract

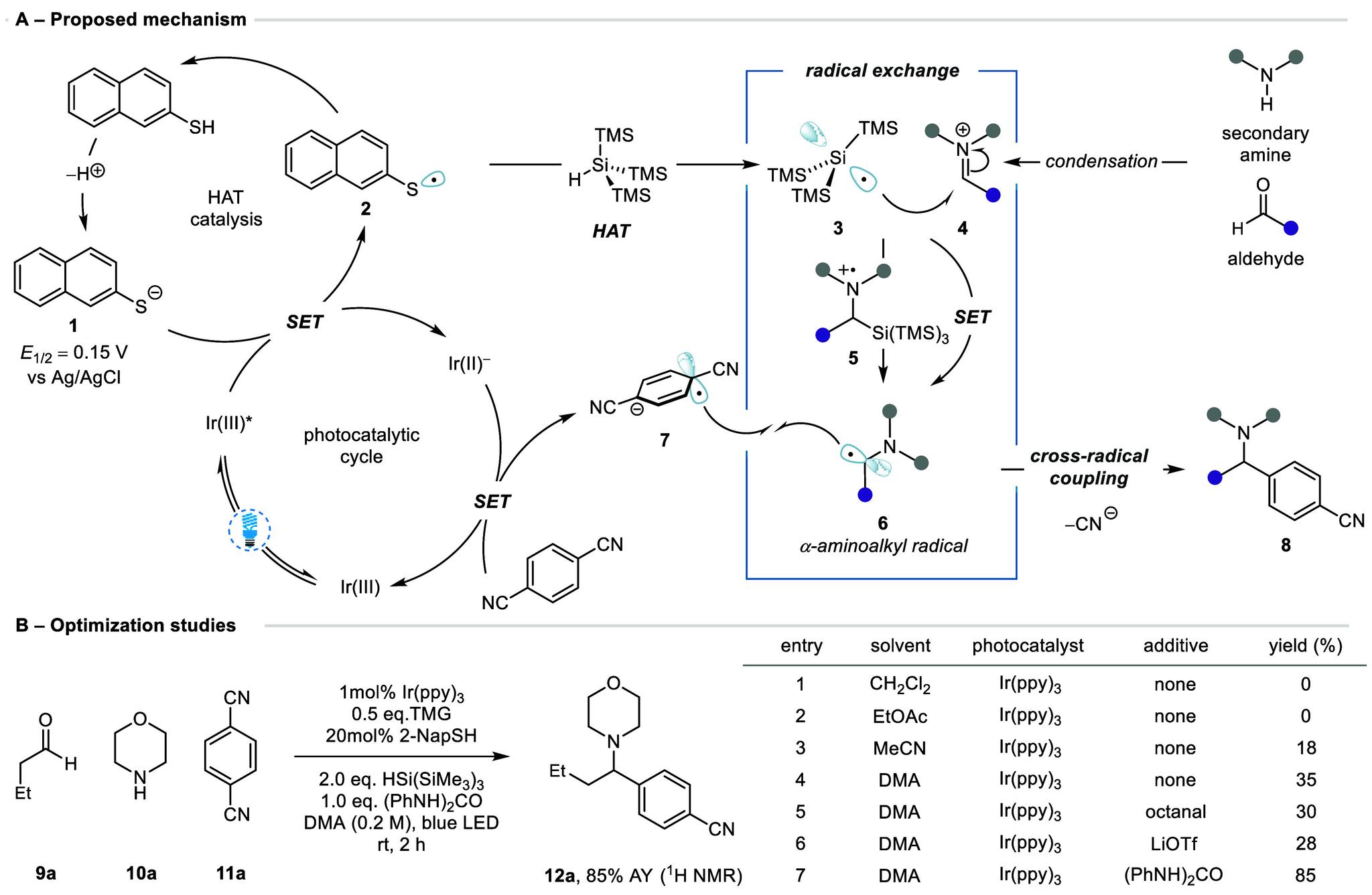
The α-amino-radical constitutes a versatile reactive intermediate that has been used to great effect in the synthesis of complex amine-containing products. Here, we report the development of a multicomponent photocatalytic platform enabling access to all-alkyl α-amino-radicals, exploiting the oxidative formation of silyl-radicals from commercially available tris(trimethylsilyl)silane. A key design element of the new process involves the role of silyl-radicals in generating α-amino-radicals from iminium ions as part of an oxidatively initiated photocatalytic radical chain process. This distinct activation mode is showcased by engaging the ensuing radicals in cross-radical coupling with persistent arene radical anions, enabling the arylation of in situ-generated all-alkyl iminium ions to furnish alkyl-substituted benzylamines.

摘要

α-氨基自由基是一种多功能的反应中间体,已在复杂含胺产物的合成中得到了广泛应用。在此,我们报道了一种多组分光催化平台的开发,该平台利用市售三(三甲基硅基)硅烷氧化生成硅基自由基,从而能够获得全烷基α-氨基自由基。新工艺的一个关键设计要素涉及硅基自由基在从亚胺离子生成α-氨基自由基过程中的作用,这是氧化引发的光催化自由基链反应的一部分。通过使生成的自由基与持久性芳烃自由基阴离子进行交叉自由基偶联,展示了这种独特的活化模式,从而实现原位生成的全烷基亚胺离子的芳基化反应,以提供烷基取代的苄胺。

https://cdn.ncbi.nlm.nih.gov/pmc/blobs/722f/11440502/e1e8b5fc3177/ja4c08230_0005.jpg
https://cdn.ncbi.nlm.nih.gov/pmc/blobs/722f/11440502/caed4381bd8c/ja4c08230_0001.jpg
https://cdn.ncbi.nlm.nih.gov/pmc/blobs/722f/11440502/a44bafcf83ad/ja4c08230_0002.jpg
https://cdn.ncbi.nlm.nih.gov/pmc/blobs/722f/11440502/0321fdec433c/ja4c08230_0003.jpg
https://cdn.ncbi.nlm.nih.gov/pmc/blobs/722f/11440502/a2bd08a6ea26/ja4c08230_0004.jpg
https://cdn.ncbi.nlm.nih.gov/pmc/blobs/722f/11440502/e1e8b5fc3177/ja4c08230_0005.jpg
https://cdn.ncbi.nlm.nih.gov/pmc/blobs/722f/11440502/caed4381bd8c/ja4c08230_0001.jpg
https://cdn.ncbi.nlm.nih.gov/pmc/blobs/722f/11440502/a44bafcf83ad/ja4c08230_0002.jpg
https://cdn.ncbi.nlm.nih.gov/pmc/blobs/722f/11440502/0321fdec433c/ja4c08230_0003.jpg
https://cdn.ncbi.nlm.nih.gov/pmc/blobs/722f/11440502/a2bd08a6ea26/ja4c08230_0004.jpg
https://cdn.ncbi.nlm.nih.gov/pmc/blobs/722f/11440502/e1e8b5fc3177/ja4c08230_0005.jpg

相似文献

1
Silyl Radicals as Single-Electron Reductants: α-Aminoalkyl Radical Formation via a Photocatalytic Oxidatively Initiated Radical Chain Process.硅基自由基作为单电子还原剂:通过光催化氧化引发的自由基链过程形成α-氨基烷基自由基
J Am Chem Soc. 2024 Sep 25;146(38):25894-25901. doi: 10.1021/jacs.4c08230. Epub 2024 Sep 16.
2
Synthetic Utilization of α-Aminoalkyl Radicals and Related Species in Visible Light Photoredox Catalysis.可见光光氧化还原催化中 α-氨烷基自由基及相关物种的合成利用。
Acc Chem Res. 2016 Sep 20;49(9):1946-56. doi: 10.1021/acs.accounts.6b00251. Epub 2016 Aug 9.
3
Visible light-mediated radical fluoromethylation halogen atom transfer activation of fluoroiodomethane.可见光介导的自由基氟甲基化反应:氟碘甲烷的卤原子转移活化
Chem Sci. 2021 Sep 8;12(38):12812-12818. doi: 10.1039/d1sc04554g. eCollection 2021 Oct 6.
4
Direct Access to α-Aminosilanes Enabled by Visible-Light-Mediated Multicomponent Radical Cross-Coupling.可见光促进的多组分自由基交叉偶联实现α-氨基硅烷的直接访问。
Angew Chem Int Ed Engl. 2021 Oct 18;60(43):23335-23341. doi: 10.1002/anie.202109252. Epub 2021 Sep 17.
5
Applications of Radical Carbonylation and Amine Addition Chemistry: 1,4-Hydrogen Transfer of 1-Hydroxylallyl Radicals.自由基羰基化和胺加成化学的应用:1-羟基烯丙基自由基的1,4-氢转移
Acc Chem Res. 2018 Sep 18;51(9):2023-2035. doi: 10.1021/acs.accounts.8b00278. Epub 2018 Aug 23.
6
Thiol-Mediated α-Amino Radical Formation via Visible-Light-Activated Ion-Pair Charge-Transfer Complexes.可见光激活离子对电荷转移复合物介导的硫醇-α-氨基自由基形成。
J Am Chem Soc. 2021 Nov 24;143(46):19268-19274. doi: 10.1021/jacs.1c09445. Epub 2021 Nov 11.
7
Single electron transfer promoted photoaddition reactions of α-trimethylsilyl substituted secondary N-alkylamines with fullerene C.单电子转移促进的α-三甲基硅基取代仲N-烷基胺与富勒烯C的光加成反应
Org Biomol Chem. 2016 Nov 8;14(44):10502-10510. doi: 10.1039/c6ob02069k.
8
Silyl Radical Activation of Alkyl Halides in Metallaphotoredox Catalysis: A Unique Pathway for Cross-Electrophile Coupling.金属光氧化还原催化中硅基自由基对卤代烃的活化:交叉亲电偶联的独特途径。
J Am Chem Soc. 2016 Jul 6;138(26):8084-7. doi: 10.1021/jacs.6b04818. Epub 2016 Jun 22.
9
Modular Photocatalytic Synthesis of α-Trialkyl-α-Tertiary Amines.α-三烷基-α-叔胺的模块化光催化合成。
J Am Chem Soc. 2021 Oct 6;143(39):15946-15959. doi: 10.1021/jacs.1c07402. Epub 2021 Sep 22.
10
Electrochemical halogen-atom transfer alkylation via α-aminoalkyl radical activation of alkyl iodides.通过碘代烷的α-氨基烷基自由基活化进行的电化学卤素原子转移烷基化反应。
Nat Commun. 2023 Oct 26;14(1):6825. doi: 10.1038/s41467-023-42566-y.

本文引用的文献

1
Redox-neutral carbon-heteroatom bond formation under photoredox catalysis.光氧化还原催化下的氧化还原中性碳-杂原子键形成。
Chem Commun (Camb). 2023 Jun 6;59(46):7004-7027. doi: 10.1039/d3cc01873c.
2
Electrochemical deoxygenative arylation of aldehydes and ketones.电脱氧芳基化醛和酮。
Chem Commun (Camb). 2023 May 4;59(37):5587-5590. doi: 10.1039/d3cc01395b.
3
Targeting DRD2 by the antipsychotic drug, penfluridol, retards growth of renal cell carcinoma via inducing stemness inhibition and autophagy-mediated apoptosis.
抗精神病药物奋乃静通过靶向 DRD2 抑制肿瘤干细胞干性和诱导自噬介导的细胞凋亡抑制肾细胞癌生长。
Cell Death Dis. 2022 Apr 23;13(4):400. doi: 10.1038/s41419-022-04828-3.
4
Thiol-Mediated α-Amino Radical Formation via Visible-Light-Activated Ion-Pair Charge-Transfer Complexes.可见光激活离子对电荷转移复合物介导的硫醇-α-氨基自由基形成。
J Am Chem Soc. 2021 Nov 24;143(46):19268-19274. doi: 10.1021/jacs.1c09445. Epub 2021 Nov 11.
5
Site-Selective α-C-H Functionalization of Trialkylamines via Reversible Hydrogen Atom Transfer Catalysis.通过可逆氢原子转移催化实现三烷基胺的位点选择性 α-C-H 官能化。
J Am Chem Soc. 2021 Nov 17;143(45):18952-18959. doi: 10.1021/jacs.1c07144. Epub 2021 Nov 5.
6
Modular Photocatalytic Synthesis of α-Trialkyl-α-Tertiary Amines.α-三烷基-α-叔胺的模块化光催化合成。
J Am Chem Soc. 2021 Oct 6;143(39):15946-15959. doi: 10.1021/jacs.1c07402. Epub 2021 Sep 22.
7
Direct Access to α-Aminosilanes Enabled by Visible-Light-Mediated Multicomponent Radical Cross-Coupling.可见光促进的多组分自由基交叉偶联实现α-氨基硅烷的直接访问。
Angew Chem Int Ed Engl. 2021 Oct 18;60(43):23335-23341. doi: 10.1002/anie.202109252. Epub 2021 Sep 17.
8
A general carbonyl alkylative amination for tertiary amine synthesis.一种通用的羰基烷基化胺化反应用于叔胺合成。
Nature. 2020 May;581(7809):415-420. doi: 10.1038/s41586-020-2213-0. Epub 2020 Apr 8.
9
Photoredox-Catalyzed Four-Component Reaction for the Synthesis of Complex Secondary Amines.用于合成复杂仲胺的光氧化还原催化四组分反应。
Org Lett. 2020 May 1;22(9):3318-3322. doi: 10.1021/acs.orglett.0c00614. Epub 2020 Mar 11.
10
Synthesis of Sterically Hindered Primary Amines by Concurrent Tandem Photoredox Catalysis.偕同光氧化还原催化的空间位阻伯胺的合成。
J Am Chem Soc. 2020 Jan 15;142(2):987-998. doi: 10.1021/jacs.9b10871. Epub 2020 Jan 6.