Suppr超能文献

瞳孔测量与自主神经系统对认知负荷和错误反馈的反应:一种无监督机器学习方法。

Pupillometry and autonomic nervous system responses to cognitive load and false feedback: an unsupervised machine learning approach.

作者信息

Alshanskaia Evgeniia I, Portnova Galina V, Liaukovich Krystsina, Martynova Olga V

机构信息

Faculty of Social Sciences, School of Psychology, National Research University Higher School of Economics, Moscow, Russia.

Institute of Higher Nervous Activity and Neurophysiology of the Russian Academy of Sciences, Moscow, Russia.

出版信息

Front Neurosci. 2024 Aug 30;18:1445697. doi: 10.3389/fnins.2024.1445697. eCollection 2024.

Abstract

OBJECTIVES

Pupil dilation is controlled both by sympathetic and parasympathetic nervous system branches. We hypothesized that the dynamic of pupil size changes under cognitive load with additional false feedback can predict individual behavior along with heart rate variability (HRV) patterns and eye movements reflecting specific adaptability to cognitive stress. To test this, we employed an unsupervised machine learning approach to recognize groups of individuals distinguished by pupil dilation dynamics and then compared their autonomic nervous system (ANS) responses along with time, performance, and self-esteem indicators in cognitive tasks.

METHODS

Cohort of 70 participants were exposed to tasks with increasing cognitive load and deception, with measurements of pupillary dynamics, HRV, eye movements, and cognitive performance and behavioral data. Utilizing machine learning k-means clustering algorithm, pupillometry data were segmented to distinct responses to increasing cognitive load and deceit. Further analysis compared clusters, focusing on how physiological (HRV, eye movements) and cognitive metrics (time, mistakes, self-esteem) varied across two clusters of different pupillary response patterns, investigating the relationship between pupil dynamics and autonomic reactions.

RESULTS

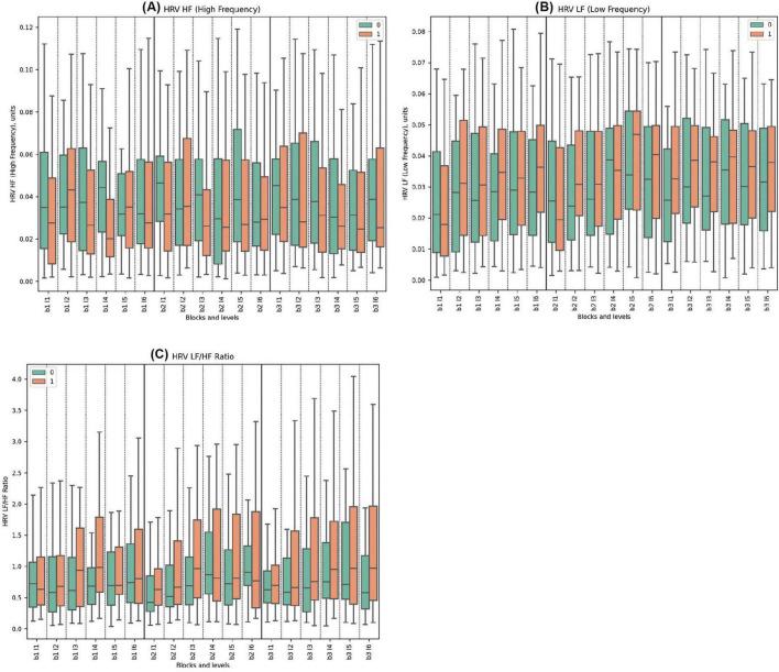
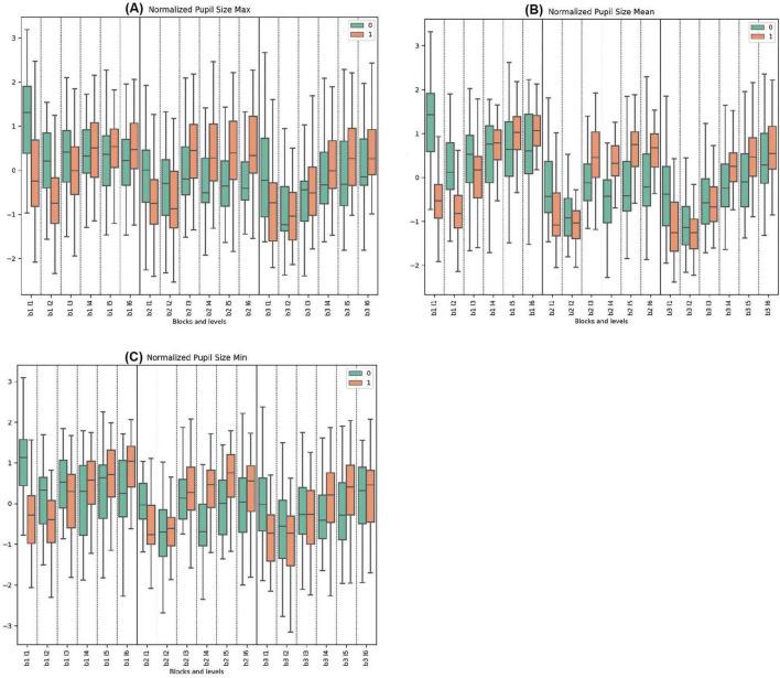
Cluster analysis of pupillometry data identified two distinct groups with statistically significant varying physiological and behavioral responses. Cluster 0 showed elevated HRV, alongside larger initial pupil sizes. Cluster 1 participants presented lower HRV but demonstrated increased and pronounced oculomotor activity. Behavioral differences included reporting more errors and lower self-esteem in Cluster 0, and faster response times with more precise reactions to deception demonstrated by Cluster 1. Lifestyle variations such as smoking habits and differences in Epworth Sleepiness Scale scores were significant between the clusters.

CONCLUSION

The differentiation in pupillary dynamics and related metrics between the clusters underlines the complex interplay between autonomic regulation, cognitive load, and behavioral responses to cognitive load and deceptive feedback. These findings underscore the potential of pupillometry combined with machine learning in identifying individual differences in stress resilience and cognitive performance. Our research on pupillary dynamics and ANS patterns can lead to the development of remote diagnostic tools for real-time cognitive stress monitoring and performance optimization, applicable in clinical, educational, and occupational settings.

摘要

目的

瞳孔扩张受交感神经系统和副交感神经系统分支的控制。我们假设,在认知负荷下伴有额外错误反馈时瞳孔大小变化的动态过程,能够与心率变异性(HRV)模式以及反映对认知应激特定适应性的眼动一起预测个体行为。为了验证这一点,我们采用了一种无监督机器学习方法来识别以瞳孔扩张动态特征区分的个体群体,然后比较他们在认知任务中的自主神经系统(ANS)反应以及时间、表现和自尊指标。

方法

70名参与者的队列接受了认知负荷和欺骗程度不断增加的任务,同时测量瞳孔动态、HRV、眼动、认知表现和行为数据。利用机器学习k均值聚类算法,将瞳孔测量数据分割为对认知负荷和欺骗增加的不同反应。进一步分析比较了聚类,重点关注生理指标(HRV、眼动)和认知指标(时间、错误、自尊)在两种不同瞳孔反应模式聚类中的变化情况,研究瞳孔动态与自主反应之间的关系。

结果

瞳孔测量数据的聚类分析确定了两个不同的组,它们在生理和行为反应上具有统计学上的显著差异。第0组显示HRV升高,同时初始瞳孔尺寸较大。第1组参与者的HRV较低,但表现出增加且明显的眼动活动。行为差异包括第0组报告的错误更多且自尊较低,而第1组表现出更快的反应时间以及对欺骗更精确的反应。聚类之间在生活方式差异(如吸烟习惯)和爱泼华嗜睡量表得分方面存在显著差异。

结论

聚类之间瞳孔动态及相关指标的差异突出了自主调节、认知负荷以及对认知负荷和欺骗性反馈的行为反应之间复杂的相互作用。这些发现强调了瞳孔测量结合机器学习在识别应激恢复力和认知表现个体差异方面的潜力。我们对瞳孔动态和ANS模式的研究能够推动远程诊断工具的开发,用于实时认知应激监测和表现优化,适用于临床、教育和职业环境。

https://cdn.ncbi.nlm.nih.gov/pmc/blobs/70de/11405740/13c046b783ef/fnins-18-1445697-g001.jpg

文献检索

告别复杂PubMed语法,用中文像聊天一样搜索,搜遍4000万医学文献。AI智能推荐,让科研检索更轻松。

立即免费搜索

文件翻译

保留排版,准确专业,支持PDF/Word/PPT等文件格式,支持 12+语言互译。

免费翻译文档

深度研究

AI帮你快速写综述,25分钟生成高质量综述,智能提取关键信息,辅助科研写作。

立即免费体验