• 文献检索
  • 文档翻译
  • 深度研究
  • 学术资讯
  • Suppr Zotero 插件Zotero 插件
  • 邀请有礼
  • 套餐&价格
  • 历史记录
应用&插件
Suppr Zotero 插件Zotero 插件浏览器插件Mac 客户端Windows 客户端微信小程序
定价
高级版会员购买积分包购买API积分包
服务
文献检索文档翻译深度研究API 文档MCP 服务
关于我们
关于 Suppr公司介绍联系我们用户协议隐私条款
关注我们

Suppr 超能文献

核心技术专利:CN118964589B侵权必究
粤ICP备2023148730 号-1Suppr @ 2026

文献检索

告别复杂PubMed语法,用中文像聊天一样搜索,搜遍4000万医学文献。AI智能推荐,让科研检索更轻松。

立即免费搜索

文件翻译

保留排版,准确专业,支持PDF/Word/PPT等文件格式,支持 12+语言互译。

免费翻译文档

深度研究

AI帮你快速写综述,25分钟生成高质量综述,智能提取关键信息,辅助科研写作。

立即免费体验

对于晚期胰腺癌患者的胆汁淤积,胆胰分流术是否有作用?

IS THERE A ROLE FOR BILIODIGESTIVE BYPASS SURGERY IN TREATING CHOLESTASIS IN ADVANCED PANCREATIC CANCER?

机构信息

Universidade de São Paulo, Department of Gastroenterology - São Paulo (SP), Brazil.

出版信息

Arq Bras Cir Dig. 2024 Sep 13;37:e1823. doi: 10.1590/0102-6720202400030e1823. eCollection 2024.

DOI:10.1590/0102-6720202400030e1823
PMID:39292098
原文链接:https://pmc.ncbi.nlm.nih.gov/articles/PMC11407092/
Abstract

BACKGROUND

The unresectable pancreatic head tumors develop obstructive jaundice and cholestasis during follow-up. Cholestasis is associated with complications and treatment options are endoscopic stenting (ES) and biliary bypass surgery (BBS).

AIMS

The aim of the current study was to compare the safety and efficacy of biliary bypass surgery (BBS) and endoscopic stenting (ES) for cholestasis in advanced pancreas cancer.

METHODS

This is a retrospective cohort of patients with cholestasis and unresectable or metastatic pancreas cancer, treated with BBS or ES. Short and long-term outcomes were evaluated. We considered the need for hospital readmission due to biliary complications as treatment failure.

RESULTS

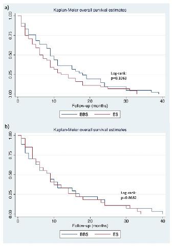
A total of 93 patients (BBS=43; ES=50) were included in the study. BBS was associated with a higher demand for postoperative intensive care (37 vs.10%; p=0.002, p<0.050), longer intensive care unit stay (1.44 standard deviation±2.47 vs. 0.66±2.24 days; p=0.004, p<0.050), and longer length of hospital stay (7.95±2.99 vs. 4.29±5.50 days; p<0.001, p<0.050). BBS had a higher risk for procedure-related complications (23 vs. 8%; p=0.049, p<0.050). There was no difference in overall survival between BBS and ES (p=0.089, p>0.050). ES was independently associated with a higher risk for treatment failure than BBS on multivariate analysis (hazard ratio 3.97; p=0.009, p<0.050).

CONCLUSIONS

BBS is associated with longer efficacy than ES for treating cholestasis in advanced pancreatic cancer. However, the BBS is associated with prolonged intensive care unit and hospital stays and higher demand for intensive care.

摘要

背景

在随访过程中,不可切除的胰头肿瘤会发展为阻塞性黄疸和胆汁淤积。胆汁淤积与并发症有关,治疗选择包括内镜支架置入术(ES)和胆道旁路手术(BBS)。

目的

本研究旨在比较胆道旁路手术(BBS)和内镜支架置入术(ES)治疗晚期胰腺癌胆汁淤积的安全性和疗效。

方法

这是一项回顾性队列研究,纳入了接受 BBS 或 ES 治疗的伴有不可切除或转移性胰腺癌和胆汁淤积的患者。评估了短期和长期结局。我们将因胆道并发症而再次住院视为治疗失败。

结果

共纳入 93 例患者(BBS=43 例;ES=50 例)。BBS 组术后需要入住重症监护病房的比例更高(37% vs. 10%;p=0.002,p<0.050),重症监护病房住院时间更长(1.44 标准差±2.47 天 vs. 0.66±2.24 天;p=0.004,p<0.050),住院时间也更长(7.95±2.99 天 vs. 4.29±5.50 天;p<0.001,p<0.050)。BBS 组与手术相关并发症的风险更高(23% vs. 8%;p=0.049,p<0.050)。BBS 和 ES 两组的总生存期无差异(p=0.089,p>0.050)。多变量分析显示,ES 与 BBS 相比,治疗失败的风险更高(风险比 3.97;p=0.009,p<0.050)。

结论

BBS 治疗晚期胰腺癌胆汁淤积的疗效优于 ES,但 BBS 组的重症监护病房和住院时间延长,对重症监护的需求增加。

https://cdn.ncbi.nlm.nih.gov/pmc/blobs/1bfb/11407092/189500c92c39/0102-6720-abcd-37-e1823-gf3.jpg
https://cdn.ncbi.nlm.nih.gov/pmc/blobs/1bfb/11407092/9f134883e3dc/0102-6720-abcd-37-e1823-gf1.jpg
https://cdn.ncbi.nlm.nih.gov/pmc/blobs/1bfb/11407092/45f4dabde1bf/0102-6720-abcd-37-e1823-gf2.jpg
https://cdn.ncbi.nlm.nih.gov/pmc/blobs/1bfb/11407092/189500c92c39/0102-6720-abcd-37-e1823-gf3.jpg
https://cdn.ncbi.nlm.nih.gov/pmc/blobs/1bfb/11407092/9f134883e3dc/0102-6720-abcd-37-e1823-gf1.jpg
https://cdn.ncbi.nlm.nih.gov/pmc/blobs/1bfb/11407092/45f4dabde1bf/0102-6720-abcd-37-e1823-gf2.jpg
https://cdn.ncbi.nlm.nih.gov/pmc/blobs/1bfb/11407092/189500c92c39/0102-6720-abcd-37-e1823-gf3.jpg

相似文献

1
IS THERE A ROLE FOR BILIODIGESTIVE BYPASS SURGERY IN TREATING CHOLESTASIS IN ADVANCED PANCREATIC CANCER?对于晚期胰腺癌患者的胆汁淤积,胆胰分流术是否有作用?
Arq Bras Cir Dig. 2024 Sep 13;37:e1823. doi: 10.1590/0102-6720202400030e1823. eCollection 2024.
2
Guidelines for the application of surgery and endoprostheses in the palliation of obstructive jaundice in advanced cancer of the pancreas.胰腺癌晚期梗阻性黄疸姑息治疗中手术及内置假体应用指南
Ann Surg. 1994 Jan;219(1):18-24. doi: 10.1097/00000658-199401000-00004.
3
Patients with laparoscopically staged unresectable pancreatic adenocarcinoma do not require subsequent surgical biliary or gastric bypass.经腹腔镜分期为不可切除的胰腺腺癌患者无需后续进行外科胆管或胃旁路手术。
J Am Coll Surg. 1999 Jun;188(6):649-55; discussion 655-7. doi: 10.1016/s1072-7515(99)00050-2.
4
[Bypass surgery or stent placement for biliary obstruction in patients with unresectable pancreatic cancer].[不可切除胰腺癌患者胆管梗阻的搭桥手术或支架置入术]
Gan To Kagaku Ryoho. 2013 Nov;40(12):1705-7.
5
Biliary stent or surgical bypass in unresectable pancreatic cancer with obstructive jaundice.不可切除的伴有梗阻性黄疸的胰腺癌的胆道支架置入或手术旁路治疗
Acta Chir Scand. 1990 May;156(5):391-6.
6
Early surgical bypass versus endoscopic stent placement in pancreatic cancer.胰腺癌的早期手术搭桥与内镜支架置入术对比
HPB (Oxford). 2016 Aug;18(8):671-7. doi: 10.1016/j.hpb.2016.05.008. Epub 2016 Jun 11.
7
Cost-effective analysis of surgical palliation versus endoscopic stenting in the management of unresectable pancreatic cancer.不可切除胰腺癌治疗中手术姑息治疗与内镜支架置入术的成本效益分析
Ann Surg Oncol. 1996 Sep;3(5):470-5. doi: 10.1007/BF02305765.
8
Simultaneous laparoscopic biliary and retrocolic gastric bypass in patients with unresectable carcinoma of the pancreas.不可切除胰腺癌患者的腹腔镜下胆道与结肠后胃旁路同步手术
Surg Endosc. 2000 Feb;14(2):179-81. doi: 10.1007/s004649900095.
9
[Surgical palliation for pancreatic cancer. The 25-year experience of a single reference centre].[胰腺癌的手术姑息治疗。单一参考中心的25年经验]
Zentralbl Chir. 2002 Nov;127(11):965-70. doi: 10.1055/s-2002-35760.
10
Endoscopic treatment of postoperative benign bile duct stricture compared with malignant bile duct stricture.内镜治疗术后良性胆管狭窄与恶性胆管狭窄的比较。
Hepatogastroenterology. 2014 Sep;61(134):1507-18.

本文引用的文献

1
THE VALUE OF PREOPERATIVE PROGNOSTIC NUTRITIONAL INDEX IN GASTRIC CANCER AFTER CURATIVE RESECTION.根治性切除术后胃癌术前预后营养指数的价值。
Arq Bras Cir Dig. 2024 Jun 17;37:e1805. doi: 10.1590/0102-6720202400012e1805. eCollection 2024.
2
Understanding how shared decision-making approaches and patient aids influence patients with advanced cancer when deciding on palliative treatments and care: A realist review.理解在决定姑息治疗和护理时,共享决策方法和患者辅助工具如何影响晚期癌症患者:一项现实主义综述。
Health Expect. 2023 Dec;26(6):2109-2126. doi: 10.1111/hex.13822. Epub 2023 Jul 13.
3
A Systematic Review of Endoscopic Treatments for Concomitant Malignant Biliary Obstruction and Malignant Gastric Outlet Obstruction and the Outstanding Role of Endoscopic Ultrasound-Guided Therapies.
内镜治疗伴发恶性胆管梗阻和恶性胃出口梗阻的系统评价及内镜超声引导治疗的突出作用
Cancers (Basel). 2023 Apr 30;15(9):2585. doi: 10.3390/cancers15092585.
4
PREVALENCE OF MALNUTRITION, ACCORDING TO THE GLIM CRITERIA, IN PATIENTS WHO ARE THE CANDIDATES FOR GASTROINTESTINAL TRACT SURGERY.根据 GLIM 标准,胃肠道手术候选患者的营养不良患病率。
Arq Bras Cir Dig. 2022 Jun 24;35:e1663. doi: 10.1590/0102-672020210002e1663. eCollection 2022.
5
Management of hepatotoxicity of chemotherapy and targeted agents.化疗及靶向药物肝毒性的管理
Am J Cancer Res. 2021 Jul 15;11(7):3461-3474. eCollection 2021.
6
Predictive Factors of Chemotherapy Initiation after Biliary Drainage for Advanced Biliary Tract Cancer: A Retrospective Multicenter Study.经胆道引流后晚期胆道癌行化疗的预测因素:一项回顾性多中心研究。
J Gastrointestin Liver Dis. 2021 Jun 18;30(2):254-258. doi: 10.15403/jgld-3120.
7
Palliative therapy in pancreatic cancer-palliative surgery.胰腺癌的姑息治疗——姑息性手术
Transl Gastroenterol Hepatol. 2019 May 7;4:28. doi: 10.21037/tgh.2019.04.03. eCollection 2019.
8
Chemotherapy for pancreatic cancer.胰腺癌的化疗
Presse Med. 2019 Mar;48(3 Pt 2):e159-e174. doi: 10.1016/j.lpm.2019.02.025. Epub 2019 Mar 15.
9
Current role of palliative interventions in advanced pancreatic cancer.姑息性干预措施在晚期胰腺癌中的当前作用。
World J Gastrointest Surg. 2018 Oct 27;10(7):75-83. doi: 10.4240/wjgs.v10.i7.75.
10
Palliative Care for Pancreatic and Periampullary Cancer.胰腺癌和壶腹周围癌的姑息治疗
Surg Clin North Am. 2016 Dec;96(6):1415-1430. doi: 10.1016/j.suc.2016.07.012.