BGI Research, No. 9, Yunhua Road, Yantian District, Shenzhen 518083, China.
College of Life Sciences, University of Chinese Academy of Sciences, No. 19, Yuquan Road, Shijingshan District, Beijing 100049, China.
Brief Bioinform. 2024 Jul 25;25(5). doi: 10.1093/bib/bbae450.
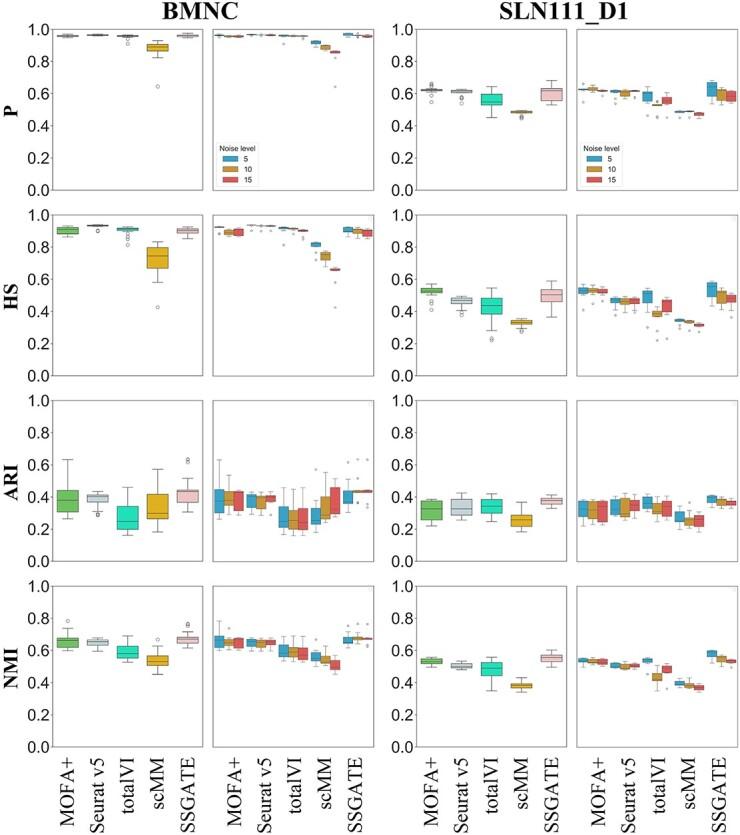
Single-cell multi-omics integration enables joint analysis at the single-cell level of resolution to provide more accurate understanding of complex biological systems, while spatial multi-omics integration is benefit to the exploration of cell spatial heterogeneity to facilitate more comprehensive downstream analyses. Existing methods are mainly designed for single-cell multi-omics data with little consideration of spatial information and still have room for performance improvement. A reliable multi-omics integration method designed for both single-cell and spatially resolved data is necessary and significant. We propose a multi-omics integration method based on dual-path graph attention auto-encoder (SSGATE). It can construct the neighborhood graphs based on single-cell expression profiles or spatial coordinates, enabling it to process single-cell data and utilize spatial information from spatially resolved data. It can also perform self-supervised learning for integration through the graph attention auto-encoders from two paths. SSGATE is applied to integration of transcriptomics and proteomics, including single-cell and spatially resolved data of various tissues from different sequencing technologies. SSGATE shows better performance and stronger robustness than competitive methods and facilitates downstream analysis.
单细胞多组学整合使我们能够在单细胞分辨率水平上进行联合分析,从而更准确地了解复杂的生物系统,而空间多组学整合则有利于探索细胞的空间异质性,从而促进更全面的下游分析。现有的方法主要是针对单细胞多组学数据设计的,很少考虑空间信息,仍有很大的性能提升空间。因此,需要并具有重要意义的是,开发一种可靠的单细胞和空间分辨数据的多组学整合方法。我们提出了一种基于双路径图注意自动编码器(SSGATE)的多组学整合方法。它可以基于单细胞表达谱或空间坐标构建邻域图,从而能够处理单细胞数据并利用空间分辨数据中的空间信息。它还可以通过两个路径的图注意自动编码器进行自我监督学习整合。SSGATE 应用于转录组学和蛋白质组学的整合,包括来自不同测序技术的各种组织的单细胞和空间分辨数据。SSGATE 显示出比竞争方法更好的性能和更强的鲁棒性,并促进了下游分析。