• 文献检索
  • 文档翻译
  • 深度研究
  • 学术资讯
  • Suppr Zotero 插件Zotero 插件
  • 邀请有礼
  • 套餐&价格
  • 历史记录
应用&插件
Suppr Zotero 插件Zotero 插件浏览器插件Mac 客户端Windows 客户端微信小程序
定价
高级版会员购买积分包购买API积分包
服务
文献检索文档翻译深度研究API 文档MCP 服务
关于我们
关于 Suppr公司介绍联系我们用户协议隐私条款
关注我们

Suppr 超能文献

核心技术专利:CN118964589B侵权必究
粤ICP备2023148730 号-1Suppr @ 2026

文献检索

告别复杂PubMed语法,用中文像聊天一样搜索,搜遍4000万医学文献。AI智能推荐,让科研检索更轻松。

立即免费搜索

文件翻译

保留排版,准确专业,支持PDF/Word/PPT等文件格式,支持 12+语言互译。

免费翻译文档

深度研究

AI帮你快速写综述,25分钟生成高质量综述,智能提取关键信息,辅助科研写作。

立即免费体验

蜂胶消费对成年人肝脏酶和肥胖指数的影响:系统评价与剂量反应荟萃分析

Effects of Propolis Consumption on Liver Enzymes and Obesity Indices in Adults: A Systematic Review and Dose-Response Meta-Analysis.

作者信息

Aliakbarian Mohsen, Jazinaki Mostafa Shahraki, Bahari Hossein, Rashidmayvan Mohammad, Golafrouz Haniyeh, Khodashahi Rozita, Pahlavani Naseh

机构信息

Transplant Research Center, Clinical Research Institute, Mashhad University of Medical Sciences, Mashhad, Iran.

Student Research Committee, Mashhad University of Medical Sciences, Mashhad, Iran.

出版信息

Curr Dev Nutr. 2024 Aug 13;8(9):104438. doi: 10.1016/j.cdnut.2024.104438. eCollection 2024 Sep.

DOI:10.1016/j.cdnut.2024.104438
PMID:39296926
原文链接:https://pmc.ncbi.nlm.nih.gov/articles/PMC11407979/
Abstract

BACKGROUND

Propolis, a natural resin produced by bees, has been studied for its potential effects on liver enzymes and obesity indices. However, a meta-analysis is necessary to comprehensively understand the impact of propolis on obesity and liver function.

OBJECTIVES

This meta-analysis of randomized controlled trials (RCTs) sought to evaluate the effects of propolis consumption on liver enzymes and obesity indices in adults.

METHODS

A systematic literature search up to December 2023 was completed in PubMed/Medline, Scopus, and Web of Science, to identify eligible RCTs. Heterogeneity tests of the selected trials were performed using the statistic. Random-effects models were assessed on the basis of the heterogeneity tests, and pooled data were determined as weighted mean differences (WMDs) with a 95% confidence interval (CI).

RESULTS

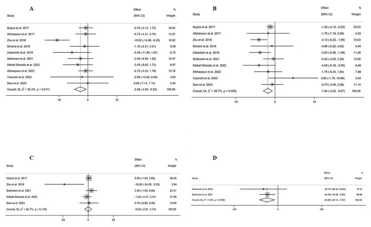
A pooled analysis of 24 trials showed that propolis consumption led to a significant reduction in alanine aminotransferase (ALT) (WMD: -2.58; 95% CI: -4.64, -0.52; = 0.01), aspartate aminotransferase (AST) (WMD: -1.84; 95% CI: -3.01, -0.67; = 0.002), and alkaline phosphatase (ALP) (WMD: -24.90; 95% CI: -42.13, -7.67; = 0.005) in comparison with the control group. However, there were no significant effects on gamma-glutamyl transferase (GGT), body weight, BMI (in kg/m), fat mass, body fat percentage, fat-free mass, adiponectin, waist circumference, hip circumference, and waist-hip ratio in comparison with the control group.

CONCLUSIONS

We discovered that consuming propolis can lead to a significant decrease in ALT, AST, and ALP levels, without causing significant changes in GGT, anthropometric indices, and adiponectin levels. However, future well-designed RCTs with large numbers of participants and extended durations, focusing on precise propolis dosage and ingredients, are necessary.

摘要

背景

蜂胶是蜜蜂产生的一种天然树脂,其对肝脏酶和肥胖指数的潜在影响已得到研究。然而,有必要进行一项荟萃分析以全面了解蜂胶对肥胖和肝功能的影响。

目的

这项对随机对照试验(RCT)的荟萃分析旨在评估成人食用蜂胶对肝脏酶和肥胖指数的影响。

方法

截至2023年12月,在PubMed/Medline、Scopus和科学网完成了系统的文献检索,以确定符合条件的随机对照试验。使用 统计量对所选试验进行异质性检验。在异质性检验的基础上评估随机效应模型,并将汇总数据确定为加权平均差(WMD)及其95%置信区间(CI)。

结果

对24项试验的汇总分析表明,与对照组相比,食用蜂胶可使丙氨酸氨基转移酶(ALT)(WMD:-2.58;95%CI:-4.64,-0.52; = 0.01)、天冬氨酸氨基转移酶(AST)(WMD:-1.84;95%CI:-3.01,-0.67; = 0.002)和碱性磷酸酶(ALP)(WMD:-24.90;95%CI:-42.13,-7.67; = 0.005)显著降低。然而,与对照组相比,对γ-谷氨酰转移酶(GGT)、体重、体重指数(kg/m)、脂肪量、体脂百分比、去脂体重、脂联素、腰围、臀围和腰臀比没有显著影响。

结论

我们发现食用蜂胶可导致ALT、AST和ALP水平显著降低,而不会引起GGT、人体测量指标和脂联素水平的显著变化。然而,未来需要进行设计良好、参与者众多且持续时间更长的随机对照试验,重点关注精确的蜂胶剂量和成分。

https://cdn.ncbi.nlm.nih.gov/pmc/blobs/903c/11407979/089b6fbfada9/gr5a.jpg
https://cdn.ncbi.nlm.nih.gov/pmc/blobs/903c/11407979/92248bd9e053/gr1.jpg
https://cdn.ncbi.nlm.nih.gov/pmc/blobs/903c/11407979/88251b9481b2/gr2a.jpg
https://cdn.ncbi.nlm.nih.gov/pmc/blobs/903c/11407979/a8bf6f218e88/gr3.jpg
https://cdn.ncbi.nlm.nih.gov/pmc/blobs/903c/11407979/26704c252b04/gr4.jpg
https://cdn.ncbi.nlm.nih.gov/pmc/blobs/903c/11407979/089b6fbfada9/gr5a.jpg
https://cdn.ncbi.nlm.nih.gov/pmc/blobs/903c/11407979/92248bd9e053/gr1.jpg
https://cdn.ncbi.nlm.nih.gov/pmc/blobs/903c/11407979/88251b9481b2/gr2a.jpg
https://cdn.ncbi.nlm.nih.gov/pmc/blobs/903c/11407979/a8bf6f218e88/gr3.jpg
https://cdn.ncbi.nlm.nih.gov/pmc/blobs/903c/11407979/26704c252b04/gr4.jpg
https://cdn.ncbi.nlm.nih.gov/pmc/blobs/903c/11407979/089b6fbfada9/gr5a.jpg

相似文献

1
Effects of Propolis Consumption on Liver Enzymes and Obesity Indices in Adults: A Systematic Review and Dose-Response Meta-Analysis.蜂胶消费对成年人肝脏酶和肥胖指数的影响:系统评价与剂量反应荟萃分析
Curr Dev Nutr. 2024 Aug 13;8(9):104438. doi: 10.1016/j.cdnut.2024.104438. eCollection 2024 Sep.
2
Effects of Propolis Consumption on Glycemic Indices and Liver Enzymes in Adults: A Grading of Recommendations Assessment, Development, and Valuation-assessed Systematic Review and Dose-Response Meta-analysis.蜂胶摄入对成年人血糖指数和肝酶的影响:一项推荐评估、制定和评估系统评价和剂量反应荟萃分析。
Clin Ther. 2024 Sep;46(9):e6-e14. doi: 10.1016/j.clinthera.2024.06.022. Epub 2024 Aug 2.
3
The Effects of Propolis Consumption on Body Composition and Blood Pressure: A Systematic Review and Dose-Response Meta-Analysis.蜂胶摄入对身体成分和血压的影响:一项系统评价与剂量反应荟萃分析
Curr Ther Res Clin Exp. 2024 Jul 25;101:100754. doi: 10.1016/j.curtheres.2024.100754. eCollection 2024.
4
The effects of pomegranate consumption on liver function enzymes in adults: A systematic review and meta-analysis.石榴食用对成年人肝功能酶的影响:系统评价和荟萃分析。
Complement Ther Med. 2024 Mar;80:103008. doi: 10.1016/j.ctim.2023.103008. Epub 2023 Nov 29.
5
Coffee consumption has no effect on circulating markers of liver function but increases adiponectin concentrations: A systematic review and meta-analysis of randomized controlled trials.咖啡消费对循环肝功能标志物没有影响,但会增加脂联素浓度:一项随机对照试验的系统评价和荟萃分析。
Nutr Res. 2022 Oct;106:24-34. doi: 10.1016/j.nutres.2022.07.010. Epub 2022 Aug 5.
6
The effects of pomegranate consumption on obesity indices in adults: A systematic review and meta-analysis.食用石榴对成年人肥胖指标的影响:一项系统评价与荟萃分析。
Food Sci Nutr. 2023 Nov 23;12(2):641-660. doi: 10.1002/fsn3.3739. eCollection 2024 Feb.
7
Assessing the impact of non-nutritive sweeteners on anthropometric indices and leptin levels in adults: A GRADE-assessed systematic review, meta-analysis, and meta-regression of randomized clinical trials.评估非营养性甜味剂对成年人人体测量指数和瘦素水平的影响:一项 GRADE 评估的随机临床试验系统评价、荟萃分析和荟萃回归。
Crit Rev Food Sci Nutr. 2024;64(30):11161-11178. doi: 10.1080/10408398.2023.2233615. Epub 2023 Jul 13.
8
Beneficial effects of the probiotics and synbiotics supplementation on anthropometric indices and body composition in adults: A systematic review and meta-analysis.益生菌和合生菌补充对成年人人体测量指数和身体成分的有益影响:系统评价和荟萃分析。
Obes Rev. 2024 Mar;25(3):e13667. doi: 10.1111/obr.13667. Epub 2023 Nov 29.
9
Curcumin supplementation effect on liver enzymes in patients with nonalcoholic fatty liver disease: a GRADE-assessed systematic review and dose-response meta-analysis of randomized controlled trials.姜黄素补充剂对非酒精性脂肪性肝病患者肝酶的影响:一项采用GRADE评估的随机对照试验系统评价和剂量反应荟萃分析
Nutr Rev. 2025 Jan 1;83(1):1-12. doi: 10.1093/nutrit/nuad166.
10
The effects of propolis supplementation on metabolic parameters: A systematic review and meta-analysis of randomized controlled clinical trials.补充蜂胶对代谢参数的影响:随机对照临床试验的系统评价和荟萃分析。
Avicenna J Phytomed. 2021 Nov-Dec;11(6):551-565. doi: 10.22038/AJP.2021.18046.

引用本文的文献

1
Suggestions for resin research under the COST Action EU-PoTaRCh.在欧洲科学与技术合作组织(COST)“欧盟植物资源化学研究与保护行动”(EU-PoTaRCh)下关于树脂研究的建议。
Open Res Eur. 2025 Aug 4;4:272. doi: 10.12688/openreseurope.18988.2. eCollection 2024.

本文引用的文献

1
The effects of pomegranate consumption on liver function enzymes in adults: A systematic review and meta-analysis.石榴食用对成年人肝功能酶的影响:系统评价和荟萃分析。
Complement Ther Med. 2024 Mar;80:103008. doi: 10.1016/j.ctim.2023.103008. Epub 2023 Nov 29.
2
Effects of supplementation with milk protein on glycemic parameters: a GRADE-assessed systematic review and dose-response meta-analysis.补充牛奶蛋白对血糖参数的影响:一项 GRADE 评估的系统评价和剂量反应荟萃分析。
Nutr J. 2023 Oct 6;22(1):49. doi: 10.1186/s12937-023-00878-1.
3
The effects of propolis supplementation on high-sensitivity C-reactive protein, testosterone hormone, and metabolic profile in women with polycystic ovary syndrome: A randomized, triple-blinded, placebo-controlled clinical trial.
蜂胶补充剂对多囊卵巢综合征妇女的高敏 C 反应蛋白、睾丸激素激素和代谢谱的影响:一项随机、三盲、安慰剂对照临床试验。
Phytother Res. 2023 Nov;37(11):5366-5377. doi: 10.1002/ptr.7977. Epub 2023 Sep 2.
4
Poplar Propolis Improves Insulin Homeostasis in Non-Diabetic Insulin-Resistant Volunteers with Obesity: A Crossover Randomized Controlled Trial.杨树蜂胶改善肥胖非糖尿病胰岛素抵抗志愿者的胰岛素稳态:一项交叉随机对照试验。
Antioxidants (Basel). 2023 Jul 25;12(8):1481. doi: 10.3390/antiox12081481.
5
Cumulative effects of exercise training and consumption of propolis on managing diabetic dyslipidemia in adult women: a single-blind, randomized, controlled trial with pre-post-intervention assessments.运动训练和蜂胶摄入对成年女性糖尿病血脂异常的累积影响:一项单盲、随机、对照试验,具有干预前后评估。
J Physiol Sci. 2023 Aug 5;73(1):17. doi: 10.1186/s12576-023-00872-6.
6
Clinical effectiveness of α-lipoic acid, myo-inositol and propolis supplementation on metabolic profiles and liver function in obese patients with NAFLD: A randomized controlled clinical trial.α-硫辛酸、肌醇和蜂胶补充剂对非酒精性脂肪性肝病肥胖患者代谢谱和肝功能的临床疗效:一项随机对照临床试验。
Clin Nutr ESPEN. 2023 Apr;54:412-420. doi: 10.1016/j.clnesp.2023.02.016. Epub 2023 Feb 23.
7
Effect of propolis on mood, quality of life, and metabolic profiles in subjects with metabolic syndrome: a randomized clinical trial.蜂胶对代谢综合征患者情绪、生活质量和代谢特征的影响:一项随机临床试验。
Sci Rep. 2023 Mar 17;13(1):4452. doi: 10.1038/s41598-023-31254-y.
8
Brazilian Propolis Intake Decreases Body Fat Mass and Oxidative Stress in Community-Dwelling Elderly Females: A Randomized Placebo-Controlled Trial.巴西蜂胶摄入可减少社区居住老年女性的体脂肪量和氧化应激:一项随机安慰剂对照试验。
Nutrients. 2023 Jan 11;15(2):364. doi: 10.3390/nu15020364.
9
Terpenoids: Natural Compounds for Non-Alcoholic Fatty Liver Disease (NAFLD) Therapy.萜类化合物:非酒精性脂肪性肝病 (NAFLD) 治疗的天然化合物。
Molecules. 2022 Dec 29;28(1):272. doi: 10.3390/molecules28010272.
10
Propolis supplementation in obese patients with non-alcoholic fatty liver disease: effects on glucose homeostasis, lipid profile, liver function, anthropometric indices and meta-inflammation.蜂胶补充剂对非酒精性脂肪性肝病肥胖患者糖脂代谢、肝功能、体脂及Meta 炎症的影响
Food Funct. 2022 Nov 14;13(22):11568-11578. doi: 10.1039/d2fo01280d.