• 文献检索
  • 文档翻译
  • 深度研究
  • 学术资讯
  • Suppr Zotero 插件Zotero 插件
  • 邀请有礼
  • 套餐&价格
  • 历史记录
应用&插件
Suppr Zotero 插件Zotero 插件浏览器插件Mac 客户端Windows 客户端微信小程序
定价
高级版会员购买积分包购买API积分包
服务
文献检索文档翻译深度研究API 文档MCP 服务
关于我们
关于 Suppr公司介绍联系我们用户协议隐私条款
关注我们

Suppr 超能文献

核心技术专利:CN118964589B侵权必究
粤ICP备2023148730 号-1Suppr @ 2026

文献检索

告别复杂PubMed语法,用中文像聊天一样搜索,搜遍4000万医学文献。AI智能推荐,让科研检索更轻松。

立即免费搜索

文件翻译

保留排版,准确专业,支持PDF/Word/PPT等文件格式,支持 12+语言互译。

免费翻译文档

深度研究

AI帮你快速写综述,25分钟生成高质量综述,智能提取关键信息,辅助科研写作。

立即免费体验

锌指蛋白197反义RNA1/微小RNA-425/γ-氨基丁酸A型受体相关蛋白样1轴:葡萄膜黑色素瘤中的一种新型调控机制

ZNF197-AS1/miR-425/GABARAPL1 axis: a novel regulatory mechanism in uveal melanoma.

作者信息

Zhang Chao, Wu Shuai

机构信息

Department of Strabismus and Pediatric Ophthalmology, The Second Hospital of Jilin University, Changchun, People's Republic of China.

Department of Orbital Disease and Ocular Plastic Surgery, The Second Hospital of Jilin University, Changchun, People's Republic of China.

出版信息

Am J Physiol Cell Physiol. 2024 Dec 1;327(6):C1638-C1650. doi: 10.1152/ajpcell.00457.2024. Epub 2024 Sep 23.

DOI:10.1152/ajpcell.00457.2024
PMID:39308299
原文链接:https://pmc.ncbi.nlm.nih.gov/articles/PMC11774234/
Abstract

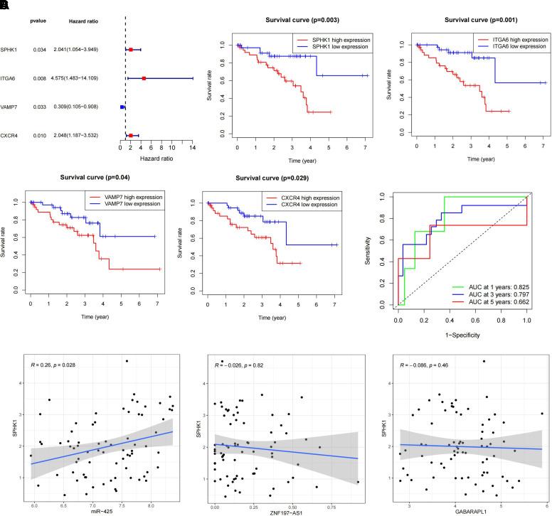
This study investigates the role of the long noncoding RNA (lncRNA) in uveal melanoma (UM), focusing on its function within a competing endogenous RNA (ceRNA) network. Using the UM-related TCGA (The Cancer Genome Atlas) dataset, we analyzed the expression levels of and its correlation with and , an essential autophagy-related gene. Our analysis revealed that acts as a ceRNA by competitively binding to , resulting in the upregulation of . This interaction plays a crucial role in the growth and metastasis of UM. The expression of showed a strong correlation with the clinical outcomes of patients with UM. Furthermore, in vitro assays confirmed that impedes UM cell proliferation, migration, and invasion by modulating the axis. These findings suggest that ZNF197-AS1 can effectively inhibit UM progression through this ceRNA regulatory network. This study provides valuable insights into the molecular mechanisms underlying UM and highlights the potential of targeting the axis as a therapeutic strategy for UM. This study identifies the ZNF197-AS1/miR-425/GABARAPL1 axis as a novel regulatory mechanism in uveal melanoma. ZNF197-AS1 upregulates GABARAPL1 by sponging miR-425, inhibiting UM cell proliferation, migration, and invasion. This discovery highlights a potential therapeutic target, providing new insights into UM progression and patient outcomes.

摘要

本研究调查了长链非编码RNA(lncRNA)在葡萄膜黑色素瘤(UM)中的作用,重点关注其在竞争性内源性RNA(ceRNA)网络中的功能。利用与UM相关的癌症基因组图谱(TCGA)数据集,我们分析了[具体基因名称]的表达水平及其与[具体基因名称]和自噬相关关键基因[具体基因名称]的相关性。我们的分析表明,[具体基因名称]通过竞争性结合[具体基因名称]发挥ceRNA的作用,导致[具体基因名称]上调。这种相互作用在UM的生长和转移中起关键作用。[具体基因名称]的表达与UM患者的临床结局密切相关。此外,体外实验证实,[具体基因名称]通过调节[具体基因名称]轴抑制UM细胞的增殖、迁移和侵袭。这些发现表明,ZNF197-AS1可通过该ceRNA调控网络有效抑制UM进展。本研究为UM潜在的分子机制提供了有价值的见解,并强调了靶向[具体基因名称]轴作为UM治疗策略的潜力。本研究确定ZNF197-AS1/miR-425/GABARAPL1轴是葡萄膜黑色素瘤中的一种新型调控机制。ZNF197-AS1通过吸附miR-425上调GABARAPL1,抑制UM细胞的增殖、迁移和侵袭。这一发现突出了一个潜在的治疗靶点,为UM的进展和患者预后提供了新的见解。

https://cdn.ncbi.nlm.nih.gov/pmc/blobs/15b2/11774234/038382f03df3/ajpcell.00457.2024_f008.jpg
https://cdn.ncbi.nlm.nih.gov/pmc/blobs/15b2/11774234/556d56b5bfa5/c-00457-2024r01.jpg
https://cdn.ncbi.nlm.nih.gov/pmc/blobs/15b2/11774234/204c04624e8e/ajpcell.00457.2024_f001.jpg
https://cdn.ncbi.nlm.nih.gov/pmc/blobs/15b2/11774234/89548af9ec97/ajpcell.00457.2024_f002.jpg
https://cdn.ncbi.nlm.nih.gov/pmc/blobs/15b2/11774234/3afa67363514/ajpcell.00457.2024_f003.jpg
https://cdn.ncbi.nlm.nih.gov/pmc/blobs/15b2/11774234/01b8261c7726/ajpcell.00457.2024_f004.jpg
https://cdn.ncbi.nlm.nih.gov/pmc/blobs/15b2/11774234/3bcdb6ac243b/ajpcell.00457.2024_f005.jpg
https://cdn.ncbi.nlm.nih.gov/pmc/blobs/15b2/11774234/8cefba342750/ajpcell.00457.2024_f006.jpg
https://cdn.ncbi.nlm.nih.gov/pmc/blobs/15b2/11774234/033b91eaf5d6/ajpcell.00457.2024_f007.jpg
https://cdn.ncbi.nlm.nih.gov/pmc/blobs/15b2/11774234/038382f03df3/ajpcell.00457.2024_f008.jpg
https://cdn.ncbi.nlm.nih.gov/pmc/blobs/15b2/11774234/556d56b5bfa5/c-00457-2024r01.jpg
https://cdn.ncbi.nlm.nih.gov/pmc/blobs/15b2/11774234/204c04624e8e/ajpcell.00457.2024_f001.jpg
https://cdn.ncbi.nlm.nih.gov/pmc/blobs/15b2/11774234/89548af9ec97/ajpcell.00457.2024_f002.jpg
https://cdn.ncbi.nlm.nih.gov/pmc/blobs/15b2/11774234/3afa67363514/ajpcell.00457.2024_f003.jpg
https://cdn.ncbi.nlm.nih.gov/pmc/blobs/15b2/11774234/01b8261c7726/ajpcell.00457.2024_f004.jpg
https://cdn.ncbi.nlm.nih.gov/pmc/blobs/15b2/11774234/3bcdb6ac243b/ajpcell.00457.2024_f005.jpg
https://cdn.ncbi.nlm.nih.gov/pmc/blobs/15b2/11774234/8cefba342750/ajpcell.00457.2024_f006.jpg
https://cdn.ncbi.nlm.nih.gov/pmc/blobs/15b2/11774234/033b91eaf5d6/ajpcell.00457.2024_f007.jpg
https://cdn.ncbi.nlm.nih.gov/pmc/blobs/15b2/11774234/038382f03df3/ajpcell.00457.2024_f008.jpg

相似文献

1
ZNF197-AS1/miR-425/GABARAPL1 axis: a novel regulatory mechanism in uveal melanoma.锌指蛋白197反义RNA1/微小RNA-425/γ-氨基丁酸A型受体相关蛋白样1轴:葡萄膜黑色素瘤中的一种新型调控机制
Am J Physiol Cell Physiol. 2024 Dec 1;327(6):C1638-C1650. doi: 10.1152/ajpcell.00457.2024. Epub 2024 Sep 23.
2
The Long Non-Coding RNA RHPN1-AS1 Promotes Uveal Melanoma Progression.长链非编码RNA RHPN1-AS1促进葡萄膜黑色素瘤进展。
Int J Mol Sci. 2017 Jan 23;18(1):226. doi: 10.3390/ijms18010226.
3
miR-224-5p inhibits proliferation, migration, and invasion by targeting PIK3R3/AKT3 in uveal melanoma.miR-224-5p 通过靶向 PIK3R3/AKT3 抑制葡萄膜黑色素瘤的增殖、迁移和侵袭。
J Cell Biochem. 2019 Aug;120(8):12412-12421. doi: 10.1002/jcb.28507. Epub 2019 Mar 1.
4
A novel lncRNA-miRNA-mRNA competitive endogenous RNA network for uveal melanoma prognosis constructed by weighted gene co-expression network analysis.基于加权基因共表达网络分析构建用于葡萄膜黑色素瘤预后的新型 lncRNA-miRNA-mRNA 竞争内源性 RNA 网络。
Life Sci. 2020 Nov 1;260:118409. doi: 10.1016/j.lfs.2020.118409. Epub 2020 Sep 11.
5
ZNF667-AS1, a positively regulating MEGF10, inhibits the progression of uveal melanoma by modulating cellular aggressiveness.ZNF667-AS1 通过调节细胞侵袭性抑制脉络膜黑色素瘤的进展,正向调控 MEGF10。
J Biochem Mol Toxicol. 2021 May;35(5):e22732. doi: 10.1002/jbt.22732. Epub 2021 Jan 29.
6
Identification of lncRNA-miRNA-mRNA ceRNA axes and KEGG pathways related to uveal melanoma metastasis.与葡萄膜黑色素瘤转移相关的lncRNA-miRNA-mRNA ceRNA轴及KEGG通路的鉴定
Technol Health Care. 2025 May;33(3):1522-1531. doi: 10.1177/09287329241291428. Epub 2025 Jan 10.
7
Overexpression of microRNA-130a represses uveal melanoma cell migration and invasion through inactivation of the Wnt/β-catenin signaling pathway by downregulating USP6.miRNA-130a 的过表达通过下调 USP6 使 Wnt/β-catenin 信号通路失活,从而抑制葡萄膜黑色素瘤细胞的迁移和侵袭。
Cancer Gene Ther. 2022 Jul;29(7):930-939. doi: 10.1038/s41417-021-00377-7. Epub 2021 Sep 14.
8
The DLG1-AS1/miR-497/YAP1 axis regulates papillary thyroid cancer progression.DLG1-AS1/miR-497/YAP1 轴调控甲状腺乳头状癌细胞的进展。
Aging (Albany NY). 2020 Nov 16;12(22):23326-23336. doi: 10.18632/aging.104121.
9
LncRNA HOXA11-AS Exerts Oncogenic Functions by Repressing p21 and miR-124 in Uveal Melanoma.长链非编码RNA HOXA11-AS通过抑制葡萄膜黑色素瘤中的p21和miR-124发挥致癌作用。
DNA Cell Biol. 2017 Oct;36(10):837-844. doi: 10.1089/dna.2017.3808. Epub 2017 Jul 27.
10
LncRNA DBH-AS1 facilitates the tumorigenesis of melanoma by targeting miR-233-3p via IGF-1R/Akt signaling.长链非编码 RNA DBH-AS1 通过 IGF-1R/Akt 信号通路靶向 miR-233-3p 促进黑色素瘤的发生。
Eur Rev Med Pharmacol Sci. 2020 Jul;24(14):7698-7708. doi: 10.26355/eurrev_202007_22272.

本文引用的文献

1
Malignant Melanoma: An Overview, New Perspectives, and Vitamin D Signaling.恶性黑色素瘤:概述、新观点及维生素D信号传导
Cancers (Basel). 2024 Jun 18;16(12):2262. doi: 10.3390/cancers16122262.
2
Comparative transcriptomic analysis reveals differences in gene expression and regulatory pathways between nonacral and acral melanoma in Asian individuals.亚洲人群中非肢端型和肢端型黑色素瘤的比较转录组分析揭示了基因表达和调控途径的差异。
J Dermatol. 2024 May;51(5):659-670. doi: 10.1111/1346-8138.17187. Epub 2024 Mar 12.
3
Clinicopathological features, current status, and progress of primary central nervous system melanoma diagnosis and treatment.
原发性中枢神经系统黑色素瘤诊断与治疗的临床病理特征、现状及进展
Pigment Cell Melanoma Res. 2024 Mar;37(2):265-275. doi: 10.1111/pcmr.13140. Epub 2023 Oct 27.
4
Autophagy and vesicular trafficking in human uveal melanoma: A histopathological study.人类葡萄膜黑色素瘤中的自噬与囊泡运输:一项组织病理学研究。
Microsc Res Tech. 2024 Jan;87(1):122-132. doi: 10.1002/jemt.24417. Epub 2023 Sep 12.
5
How cancer hijacks the body's homeostasis through the neuroendocrine system.癌症如何通过神经内分泌系统劫持身体的内稳态。
Trends Neurosci. 2023 Apr;46(4):263-275. doi: 10.1016/j.tins.2023.01.003. Epub 2023 Feb 17.
6
Oncogenic signaling pathway-related long non-coding RNAs for predicting prognosis and immunotherapy response in breast cancer.用于预测乳腺癌预后和免疫治疗反应的致癌信号通路相关长链非编码RNA
Front Immunol. 2022 Aug 4;13:891175. doi: 10.3389/fimmu.2022.891175. eCollection 2022.
7
Comprehensive Analysis of Quantitative Proteomics With DIA Mass Spectrometry and ceRNA Network in Intrahepatic Cholestasis of Pregnancy.基于DIA质谱和ceRNA网络的妊娠期肝内胆汁淤积症定量蛋白质组学综合分析
Front Cell Dev Biol. 2022 Jul 22;10:854425. doi: 10.3389/fcell.2022.854425. eCollection 2022.
8
MITF in Normal Melanocytes, Cutaneous and Uveal Melanoma: A Delicate Balance.MITF 在正常黑素细胞、皮肤和葡萄膜黑素瘤中的作用:微妙的平衡。
Int J Mol Sci. 2022 May 26;23(11):6001. doi: 10.3390/ijms23116001.
9
Characterization of the Immune Cell Infiltration Landscape Uncovers Prognostic and Immunogenic Characteristics in Lung Adenocarcinoma.免疫细胞浸润图谱的特征揭示了肺腺癌的预后和免疫原性特征。
Front Genet. 2022 May 23;13:902577. doi: 10.3389/fgene.2022.902577. eCollection 2022.
10
Melanoma, Melanin, and Melanogenesis: The Yin and Yang Relationship.黑色素瘤、黑色素与黑色素生成:阴阳关系
Front Oncol. 2022 Mar 14;12:842496. doi: 10.3389/fonc.2022.842496. eCollection 2022.