School of Management, University of Bath, Bath, UK.
Department of Psychology, Lancaster University, Lancaster, UK.
Behav Res Methods. 2024 Dec;56(8):8745-8760. doi: 10.3758/s13428-024-02501-5. Epub 2024 Sep 25.
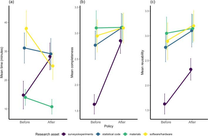
Psychological science has thrived thanks to new methods and innovative practices. Journals, including Behavior Research Methods (BRM), continue to support the dissemination and evaluation of research assets including data, software/hardware, statistical code, and databases of stimuli. However, such research assets rarely allow for computational reproducibility, meaning they are difficult to reuse. Therefore, in this preregistered report, we explore how BRM's authors and BRM structures shape the landscape of functional research assets. Our broad research questions concern: (1) How quickly methods and analytical techniques reported in BRM can be used and developed further by other scientists; (2) Whether functionality has improved following changes to BRM journal policy in support of computational reproducibility; (3) Whether we can disentangle such policy changes from changes in reproducibility over time. We randomly sampled equal numbers of papers (N = 204) published in BRM before and after the implementation of policy changes. Pairs of researchers recorded how long it took to ensure assets (data, software/hardware, statistical code, and materials) were fully operational. They also coded the completeness and reusability of the assets. While improvements were observed in all measures, only changes to completeness were altered significantly following the policy changes (d = .37). The effects varied between different types of research assets, with data sets from surveys/experiments showing the largest improvements in completeness and reusability. Perhaps more importantly, changes to policy do appear to have improved the life span of research products by reducing natural decline. We conclude with a discussion of how, in the future, research and policy might better support computational reproducibility within and beyond psychological science.
心理学得益于新方法和创新实践而蓬勃发展。期刊,包括《行为研究方法》(BRM),继续支持包括数据、软件/硬件、统计代码和刺激数据库在内的研究资产的传播和评估。然而,这些研究资产很少允许进行计算可重复性,这意味着它们难以重复使用。因此,在这份预先注册的报告中,我们探讨了 BRM 的作者和 BRM 结构如何塑造功能研究资产的格局。我们的广泛研究问题涉及:(1)BRM 报告的方法和分析技术被其他科学家使用和进一步开发的速度有多快;(2)在支持计算可重复性的 BRM 期刊政策变化后,功能是否有所提高;(3)我们是否可以将这些政策变化与随着时间的推移可重复性的变化区分开来。我们随机抽取了 BRM 发表的政策变化前后数量相等的论文(N=204)。一对研究人员记录了确保资产(数据、软件/硬件、统计代码和材料)完全运行所需的时间。他们还对资产的完整性和可重用性进行了编码。虽然所有措施都观察到了改进,但只有在政策变化后,完整性的变化才显著改变(d=0.37)。这些影响在不同类型的研究资产之间有所不同,调查/实验的数据集中完整性和可重用性的改进最大。也许更重要的是,政策的变化似乎通过减少自然衰减,提高了研究产品的生命周期。最后,我们讨论了未来研究和政策如何在心理科学内外更好地支持计算可重复性。