Suppr超能文献

青少年运动员睡眠充足吗?一项关于上学日和节假日睡眠参数的观察性研究。

Are Adolescent Athletes Sleeping Enough? An Observational Study of Sleep Parameters during Schooldays and Holidays.

作者信息

Souabni Mehdi J, Souabni Maher, Hammouda Omar, Driss Tarak

机构信息

Interdisciplinary Laboratory in Neurosciences, Physiology and Psychology: Physical Activity, Health and Learning (LINP2), UFR STAPS (Faculty of Sport Sciences), Paris Nanterre University, 92000 Nanterre, France.

Research Laboratory, Molecular Bases of Human Pathology, LR19ES13, Faculty of Medicine, University of Sfax, Sfax 3029, Tunisia.

出版信息

Children (Basel). 2024 Aug 27;11(9):1044. doi: 10.3390/children11091044.

Abstract

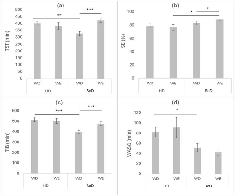
Inconsistent sleep schedules, frequent awakening after sleep onset (WASO), and decreased sleep efficiency (SE) are common issues among adolescent team sports athletes. Moreover, research indicates that sleep problems are enhanced across schooldays. The aim of the present study was to assess sleep patterns of adolescent athletes and compare sleep parameters between schooldays and holidays. The chronotype and sleep quality of twelve adolescent basketball players (mean age: 15.58 ± 0.67 years) were assessed. Objective sleep parameters were then analyzed using actigraphy over a 12-day period, which included six days during the school period and six days during holidays. Data showed that total sleep time (TST), SE, and WASO (382.48 min, 81.81%, and 66.70 min, respectively) did not meet international recommendations for sleep quantity and quality. During school weekdays, time in bed (TIB), TST, and SE significantly decreased compared to weekends ( < 0.001, d = -1.49; < 0.001, d = -1.64; and = 0.01, d = -0.89, respectively). On weekdays, TIB, TST, and WASO were significantly lower on schooldays compared to holidays ( < 0.001, d = -1.83; < 0.01, d = -1.01; and = 0.02, d = -0.77, respectively). While no significant difference was observed in social jetlag, the mid-point of sleep was significantly later on holiday weekdays compared to school weekdays ( < 0.05, d = 0.65). Adolescent athletes experience insufficient sleep, especially on school weekdays, which is partially improved during weekends and holidays. Although sleep duration was longer during holidays, our results suggest that adolescent athletes' sleep was more fragmented. Consequently, it remains crucial to implement strategies to enhance their sleep health (e.g., napping).

摘要

睡眠时间表不一致、入睡后频繁觉醒(WASO)以及睡眠效率(SE)降低是青少年团队运动运动员中常见的问题。此外,研究表明,在整个上学期间睡眠问题会加剧。本研究的目的是评估青少年运动员的睡眠模式,并比较上学日和节假日之间的睡眠参数。对12名青少年篮球运动员(平均年龄:15.58±0.67岁)的昼夜节律类型和睡眠质量进行了评估。然后在12天的时间内使用活动记录仪分析客观睡眠参数,这包括上学期间的6天和节假日的6天。数据显示,总睡眠时间(TST)、SE和WASO(分别为382.48分钟、81.81%和66.70分钟)未达到国际上关于睡眠数量和质量的建议。在上学日的工作日,卧床时间(TIB)、TST和SE与周末相比显著减少(分别为<0.001,d=-1.49;<0.001,d=-1.64;以及=0.01,d=-0.89)。在工作日,与节假日相比,上学日的TIB、TST和WASO显著更低(分别为<0.001,d=-1.83;<0.01,d=-1.01;以及=0.02,d=-0.77)。虽然在社会时差方面未观察到显著差异,但与上学日的工作日相比,节假日的工作日睡眠中点显著更晚(<0.05,d=0.65)。青少年运动员睡眠不足,尤其是在上学日的工作日,在周末和节假日会有所改善。尽管节假日期间睡眠时间更长,但我们的结果表明青少年运动员的睡眠更碎片化。因此,实施改善他们睡眠健康的策略(如小睡)仍然至关重要。

https://cdn.ncbi.nlm.nih.gov/pmc/blobs/9877/11429551/c6b82f33392f/children-11-01044-g001.jpg

文献检索

告别复杂PubMed语法,用中文像聊天一样搜索,搜遍4000万医学文献。AI智能推荐,让科研检索更轻松。

立即免费搜索

文件翻译

保留排版,准确专业,支持PDF/Word/PPT等文件格式,支持 12+语言互译。

免费翻译文档

深度研究

AI帮你快速写综述,25分钟生成高质量综述,智能提取关键信息,辅助科研写作。

立即免费体验