• 文献检索
  • 文档翻译
  • 深度研究
  • 学术资讯
  • Suppr Zotero 插件Zotero 插件
  • 邀请有礼
  • 套餐&价格
  • 历史记录
应用&插件
Suppr Zotero 插件Zotero 插件浏览器插件Mac 客户端Windows 客户端微信小程序
定价
高级版会员购买积分包购买API积分包
服务
文献检索文档翻译深度研究API 文档MCP 服务
关于我们
关于 Suppr公司介绍联系我们用户协议隐私条款
关注我们

Suppr 超能文献

核心技术专利:CN118964589B侵权必究
粤ICP备2023148730 号-1Suppr @ 2026

文献检索

告别复杂PubMed语法,用中文像聊天一样搜索,搜遍4000万医学文献。AI智能推荐,让科研检索更轻松。

立即免费搜索

文件翻译

保留排版,准确专业,支持PDF/Word/PPT等文件格式,支持 12+语言互译。

免费翻译文档

深度研究

AI帮你快速写综述,25分钟生成高质量综述,智能提取关键信息,辅助科研写作。

立即免费体验

肉鸡鸡胸肉死后酸化过程中蛋白质乳酰化的动态变化及其与糖酵解过程的相关性

Dynamic changes of protein lactylation and their correlations with the glycolytic process during the postmortem acidification of broiler breast.

作者信息

Wang Zhenxin, Xing Tong, Zhang Lin, Zhao Liang, Gao Feng

机构信息

College of Animal Science and Technology, Key Laboratory of Animal Origin Food Production and Safety Guarantee of Jiangsu Province, Jiangsu Collaborative Innovation Center of Meat Production and Processing, Quality and Safety Control, Nanjing Agricultural University, Nanjing 210095, China.

College of Animal Science and Technology, Key Laboratory of Animal Origin Food Production and Safety Guarantee of Jiangsu Province, Jiangsu Collaborative Innovation Center of Meat Production and Processing, Quality and Safety Control, Nanjing Agricultural University, Nanjing 210095, China.

出版信息

Poult Sci. 2024 Dec;103(12):104354. doi: 10.1016/j.psj.2024.104354. Epub 2024 Sep 24.

DOI:10.1016/j.psj.2024.104354
PMID:39368431
原文链接:https://pmc.ncbi.nlm.nih.gov/articles/PMC11490697/
Abstract

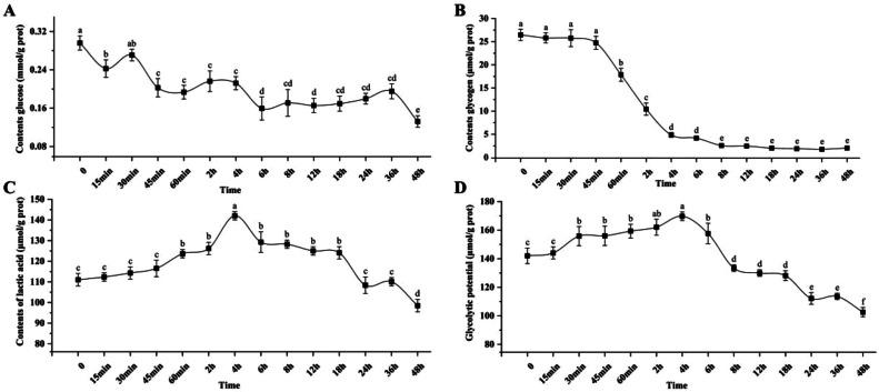
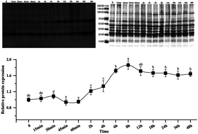
This experiment aimed to reveal the dynamic changes of protein post-translational lactylation modifications and their correlations with the glycolytic process in broiler breast muscle within 48 h of postmortem acidification. The experiment involved 12 male AA broilers, 42 days old, with similar body weights (2.8 ± 0.05 kg). The breast fillets (Pectoralis major) were collected after slaughter, and samples were taken at various time points: 0, 15 min, 30 min, 45 min, 60 min, 2 h, 4 h, 6 h, 8 h, 12 h, 18 h, 24 h, 36 h, and 48 h postmortem. The results showed that the rate of glycogen decline in the muscle was highest at 45 min postmortem, and glycogen levels tended to stabilize at 8 h postmortem. The lactate content in the breast reached its highest level at 4 h postmortem and began to decrease, stabilizing at 24 h postmortem. Additionally, the glycolytic potential increased gradually in the first 4 h postmortem, decreased rapidly from 4 to 8 h. Similarly, lactylation modification levels were highest at 8 h postmortem, but stabilized at 12 h postmortem. During this process, the protein expression of the enzymatic lactylation modifier p300 showed no significant difference, while the content of the nonenzymatic lactylation substrate lactoylglutathione significantly decreased at 8 h and 24 h postmortem. Correlation analysis found that lactylation levels were negatively correlated with glycogen content, glucose content, glycolytic potential, and pH value, while positively correlated with lactate content. Besides, there was a positive correlation between lactylation levels and the protein expression of hexokinase, phosphoglycerate kinase 2, phosphoglucomutase 1, and triosephosphate isomerase. Additionally, lactylation levels were positively correlated with the activities of lactate dehydrogenase and phosphofructokinase. In summary, our experiment elucidated the dynamic changes in the entire glycolytic pathway in broiler pectoral muscle during acidification. During this process, lactylation modifications may participate in the glycolysis process by regulating the protein expression and activity of glycolytic enzymes.

摘要

本实验旨在揭示宰后48小时内肉鸡胸肌蛋白质翻译后乳酰化修饰的动态变化及其与糖酵解过程的相关性。实验选用12只42日龄、体重相近(2.8±0.05千克)的雄性AA肉鸡。屠宰后采集胸肌(胸大肌),并在宰后不同时间点取样:0、15分钟、30分钟、45分钟、60分钟、2小时、4小时、6小时、8小时、12小时、18小时、24小时、36小时和48小时。结果表明,宰后45分钟时肌肉中糖原下降速率最高,宰后8小时糖原水平趋于稳定。胸肌中乳酸含量在宰后4小时达到最高水平,随后开始下降,在宰后24小时稳定。此外,宰后前4小时糖酵解潜能逐渐增加,4至8小时迅速下降。同样,乳酰化修饰水平在宰后8小时最高,但在宰后12小时稳定。在此过程中,酶促乳酰化修饰因子p300的蛋白质表达无显著差异,而非酶促乳酰化底物乳酰谷胱甘肽的含量在宰后8小时和24小时显著下降。相关性分析发现,乳酰化水平与糖原含量、葡萄糖含量、糖酵解潜能和pH值呈负相关,与乳酸含量呈正相关。此外,乳酰化水平与己糖激酶、磷酸甘油酸激酶2、磷酸葡萄糖变位酶1和磷酸丙糖异构酶的蛋白质表达呈正相关。另外,乳酰化水平与乳酸脱氢酶和磷酸果糖激酶的活性呈正相关。总之,我们的实验阐明了宰后酸化过程中肉鸡胸肌整个糖酵解途径的动态变化。在此过程中,乳酰化修饰可能通过调节糖酵解酶的蛋白质表达和活性参与糖酵解过程。

https://cdn.ncbi.nlm.nih.gov/pmc/blobs/62f2/11490697/db8f85a84efc/gr7.jpg
https://cdn.ncbi.nlm.nih.gov/pmc/blobs/62f2/11490697/1ce8b9d399cd/gr1.jpg
https://cdn.ncbi.nlm.nih.gov/pmc/blobs/62f2/11490697/fa34906efe24/gr2.jpg
https://cdn.ncbi.nlm.nih.gov/pmc/blobs/62f2/11490697/4eac718fa91e/gr3.jpg
https://cdn.ncbi.nlm.nih.gov/pmc/blobs/62f2/11490697/b18baa593b4a/gr4.jpg
https://cdn.ncbi.nlm.nih.gov/pmc/blobs/62f2/11490697/3e774cc2005e/gr5.jpg
https://cdn.ncbi.nlm.nih.gov/pmc/blobs/62f2/11490697/f244525829c7/gr6.jpg
https://cdn.ncbi.nlm.nih.gov/pmc/blobs/62f2/11490697/db8f85a84efc/gr7.jpg
https://cdn.ncbi.nlm.nih.gov/pmc/blobs/62f2/11490697/1ce8b9d399cd/gr1.jpg
https://cdn.ncbi.nlm.nih.gov/pmc/blobs/62f2/11490697/fa34906efe24/gr2.jpg
https://cdn.ncbi.nlm.nih.gov/pmc/blobs/62f2/11490697/4eac718fa91e/gr3.jpg
https://cdn.ncbi.nlm.nih.gov/pmc/blobs/62f2/11490697/b18baa593b4a/gr4.jpg
https://cdn.ncbi.nlm.nih.gov/pmc/blobs/62f2/11490697/3e774cc2005e/gr5.jpg
https://cdn.ncbi.nlm.nih.gov/pmc/blobs/62f2/11490697/f244525829c7/gr6.jpg
https://cdn.ncbi.nlm.nih.gov/pmc/blobs/62f2/11490697/db8f85a84efc/gr7.jpg

相似文献

1
Dynamic changes of protein lactylation and their correlations with the glycolytic process during the postmortem acidification of broiler breast.肉鸡鸡胸肉死后酸化过程中蛋白质乳酰化的动态变化及其与糖酵解过程的相关性
Poult Sci. 2024 Dec;103(12):104354. doi: 10.1016/j.psj.2024.104354. Epub 2024 Sep 24.
2
Phosphofructokinase and mitochondria partially explain the high ultimate pH of broiler pectoralis major muscle.磷酸果糖激酶和线粒体部分解释了肉鸡胸大肌最终 pH 值较高的原因。
Poult Sci. 2018 May 1;97(5):1808-1817. doi: 10.3382/ps/pex455.
3
The role of histidine dipeptides on postmortem acidification of broiler muscles with different energy metabolism.不同能量代谢肉鸡肌肉死后酸化中组氨酸二肽的作用。
Poult Sci. 2021 Feb;100(2):1299-1307. doi: 10.1016/j.psj.2020.11.032. Epub 2020 Nov 28.
4
Consequence of muscle hypertrophy on characteristics of Pectoralis major muscle and breast meat quality of broiler chickens.肌肉肥大对肉鸡胸大肌特征和胸肉品质的影响。
J Anim Sci. 2007 Aug;85(8):2005-11. doi: 10.2527/jas.2006-398. Epub 2007 Apr 12.
5
Protein lactylation in broiler breast: Insights on occurrence mechanisms and the correlations with meat quality.肉鸡鸡胸肉中的蛋白质乳酰化:发生机制及其与肉质相关性的见解
Food Chem. 2025 Jun 15;477:143613. doi: 10.1016/j.foodchem.2025.143613. Epub 2025 Feb 26.
6
Preslaughter Transport Effect on Broiler Meat Quality and Post-mortem Glycolysis Metabolism of Muscles with Different Fiber Types.宰前运输对不同纤维类型肌肉的肉鸡胴体品质及宰后糖酵解代谢的影响
J Agric Food Chem. 2017 Nov 29;65(47):10310-10316. doi: 10.1021/acs.jafc.7b04193. Epub 2017 Nov 14.
7
Dietary creatine nitrate enhances muscle creatine loading and delays postmortem glycolysis of broilers that experienced preslaughter transport.日粮硝酸肌酸可增强经历宰前运输的肉鸡肌肉肌酸的加载,并延缓死后糖酵解。
J Anim Sci. 2022 Oct 1;100(10). doi: 10.1093/jas/skac277.
8
Advances in the interaction of glycolytic reprogramming with lactylation.糖酵解重编程与乳糖化相互作用的研究进展。
Biomed Pharmacother. 2024 Aug;177:116982. doi: 10.1016/j.biopha.2024.116982. Epub 2024 Jun 20.
9
Effect of ultimate pH on the physicochemical and biochemical characteristics of turkey breast muscle showing normal rate of postmortem pH fall.最终pH值对火鸡胸肌理化和生化特性的影响,该火鸡胸肌宰后pH下降速率正常。
Poult Sci. 2004 Oct;83(10):1750-7. doi: 10.1093/ps/83.10.1750.
10
Effects of sodium lactate injection on meat quality and lactate content in broiler chickens: emphasis on injection method and dosage.乳酸钠注射液对肉鸡肉质和乳酸含量的影响:重点关注注射方法和剂量。
Poult Sci. 2024 Oct;103(10):104084. doi: 10.1016/j.psj.2024.104084. Epub 2024 Jul 10.

本文引用的文献

1
Broiler Spaghetti Meat Abnormalities: Muscle Characteristics and Metabolomic Profiles.肉鸡意大利面肉异常:肌肉特征和代谢组学图谱。
Animals (Basel). 2024 Apr 20;14(8):1236. doi: 10.3390/ani14081236.
2
Ubiquitous protein lactylation in health and diseases.健康与疾病中的普遍存在的蛋白质乳酰化
Cell Mol Biol Lett. 2024 Feb 5;29(1):23. doi: 10.1186/s11658-024-00541-5.
3
Hexokinase 2-mediated gene expression via histone lactylation is required for hepatic stellate cell activation and liver fibrosis.己糖激酶 2 通过组蛋白乳酰化介导的基因表达是肝星状细胞激活和肝纤维化所必需的。
Cell Metab. 2023 Aug 8;35(8):1406-1423.e8. doi: 10.1016/j.cmet.2023.06.013. Epub 2023 Jul 17.
4
Lactate-induced protein lactylation: A bridge between epigenetics and metabolic reprogramming in cancer.乳酸诱导的蛋白乳酰化:癌症中表观遗传学和代谢重编程之间的桥梁。
Cell Prolif. 2023 Oct;56(10):e13478. doi: 10.1111/cpr.13478. Epub 2023 Apr 14.
5
The Effects of In Ovo Feeding of Selenized Glucose on Selenium Concentration and Antioxidant Capacity of Breast Muscle in Neonatal Broilers.胚内注射亚硒酸钠葡萄糖对新生肉鸡胸肌硒浓度和抗氧化能力的影响
Biol Trace Elem Res. 2023 Dec;201(12):5764-5773. doi: 10.1007/s12011-023-03611-5. Epub 2023 Mar 10.
6
Mitochondrial pyruvate carrier 1 regulates fatty acid synthase lactylation and mediates treatment of nonalcoholic fatty liver disease.线粒体丙酮酸载体 1 调节脂肪酸合酶乳酰化并介导非酒精性脂肪性肝病的治疗。
Hepatology. 2023 Dec 1;78(6):1800-1815. doi: 10.1097/HEP.0000000000000279. Epub 2023 Jan 19.
7
Global profiling of protein lysine lactylation and potential target modified protein analysis in hepatocellular carcinoma.肝细胞癌中蛋白赖氨酸乳酰化的全局分析及潜在靶修饰蛋白分析。
Proteomics. 2023 May;23(9):e2200432. doi: 10.1002/pmic.202200432. Epub 2023 Jan 18.
8
Lactylation of PKM2 Suppresses Inflammatory Metabolic Adaptation in Pro-inflammatory Macrophages.PKM2 的乳酰化抑制促炎巨噬细胞中的炎症代谢适应。
Int J Biol Sci. 2022 Oct 24;18(16):6210-6225. doi: 10.7150/ijbs.75434. eCollection 2022.
9
Comprehensive analysis of lysine lactylation in .……中赖氨酸乳酰化的综合分析 (你提供的原文不完整,这里是根据现有内容进行的翻译)
Front Genet. 2022 Nov 1;13:1014225. doi: 10.3389/fgene.2022.1014225. eCollection 2022.
10
A Divergent Selection on Breast Meat Ultimate pH, a Key Factor for Chicken Meat Quality, is Associated With Different Circulating Lipid Profiles.鸡胸肉最终pH值是鸡肉品质的关键因素,对其进行的差异选择与不同的循环脂质谱相关。
Front Physiol. 2022 Jun 22;13:935868. doi: 10.3389/fphys.2022.935868. eCollection 2022.