• 文献检索
  • 文档翻译
  • 深度研究
  • 学术资讯
  • Suppr Zotero 插件Zotero 插件
  • 邀请有礼
  • 套餐&价格
  • 历史记录
应用&插件
Suppr Zotero 插件Zotero 插件浏览器插件Mac 客户端Windows 客户端微信小程序
定价
高级版会员购买积分包购买API积分包
服务
文献检索文档翻译深度研究API 文档MCP 服务
关于我们
关于 Suppr公司介绍联系我们用户协议隐私条款
关注我们

Suppr 超能文献

核心技术专利:CN118964589B侵权必究
粤ICP备2023148730 号-1Suppr @ 2026

文献检索

告别复杂PubMed语法,用中文像聊天一样搜索,搜遍4000万医学文献。AI智能推荐,让科研检索更轻松。

立即免费搜索

文件翻译

保留排版,准确专业,支持PDF/Word/PPT等文件格式,支持 12+语言互译。

免费翻译文档

深度研究

AI帮你快速写综述,25分钟生成高质量综述,智能提取关键信息,辅助科研写作。

立即免费体验

一种基于Swin Transformer和三叉戟金字塔网络的改进YOLOv7模型,用于精确的番茄检测。

An improved YOLOv7 model based on Swin Transformer and Trident Pyramid Networks for accurate tomato detection.

作者信息

Liu Guoxu, Zhang Yonghui, Liu Jun, Liu Deyong, Chen Chunlei, Li Yujie, Zhang Xiujie, Touko Mbouembe Philippe Lyonel

机构信息

School of Computer Engineering, Weifang University, Weifang, China.

Shandong Provincial University Laboratory for Protected Horticulture, Weifang University of Science and Technology, Weifang, China.

出版信息

Front Plant Sci. 2024 Sep 26;15:1452821. doi: 10.3389/fpls.2024.1452821. eCollection 2024.

DOI:10.3389/fpls.2024.1452821
PMID:39391778
原文链接:https://pmc.ncbi.nlm.nih.gov/articles/PMC11464322/
Abstract

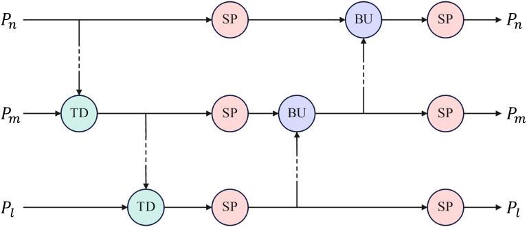
Accurate fruit detection is crucial for automated fruit picking. However, real-world scenarios, influenced by complex environmental factors such as illumination variations, occlusion, and overlap, pose significant challenges to accurate fruit detection. These challenges subsequently impact the commercialization of fruit harvesting robots. A tomato detection model named YOLO-SwinTF, based on YOLOv7, is proposed to address these challenges. Integrating Swin Transformer (ST) blocks into the backbone network enables the model to capture global information by modeling long-range visual dependencies. Trident Pyramid Networks (TPN) are introduced to overcome the limitations of PANet's focus on communication-based processing. TPN incorporates multiple self-processing (SP) modules within existing top-down and bottom-up architectures, allowing feature maps to generate new findings for communication. In addition, Focaler-IoU is introduced to reconstruct the original intersection-over-union (IoU) loss to allow the loss function to adjust its focus based on the distribution of difficult and easy samples. The proposed model is evaluated on a tomato dataset, and the experimental results demonstrated that the proposed model's detection recall, precision, F score, and AP reach 96.27%, 96.17%, 96.22%, and 98.67%, respectively. These represent improvements of 1.64%, 0.92%, 1.28%, and 0.88% compared to the original YOLOv7 model. When compared to other state-of-the-art detection methods, this approach achieves superior performance in terms of accuracy while maintaining comparable detection speed. In addition, the proposed model exhibits strong robustness under various lighting and occlusion conditions, demonstrating its significant potential in tomato detection.

摘要

准确的水果检测对于自动化水果采摘至关重要。然而,受光照变化、遮挡和重叠等复杂环境因素影响的现实场景,给准确的水果检测带来了重大挑战。这些挑战随后影响了水果采摘机器人的商业化。为应对这些挑战,提出了一种基于YOLOv7的名为YOLO-SwinTF的番茄检测模型。将Swin Transformer(ST)模块集成到骨干网络中,使该模型能够通过对长距离视觉依赖进行建模来捕获全局信息。引入三叉戟金字塔网络(TPN)以克服PANet专注于基于通信的处理的局限性。TPN在现有的自上而下和自下而上架构中纳入了多个自处理(SP)模块,允许特征图生成用于通信的新结果。此外,引入了Focaler-IoU来重构原始的交并比(IoU)损失,使损失函数能够根据难易样本的分布调整其关注点。在一个番茄数据集上对所提出的模型进行了评估,实验结果表明,所提出模型的检测召回率、精确率、F分数和平均精度分别达到96.27%、96.17%、96.22%和98.67%。与原始的YOLOv7模型相比,这些分别提高了1.64%、0.92%、1.28%和0.88%。与其他先进的检测方法相比,该方法在保持可比检测速度的同时,在准确性方面取得了卓越的性能。此外,所提出的模型在各种光照和遮挡条件下表现出很强的鲁棒性,证明了其在番茄检测中的巨大潜力。

https://cdn.ncbi.nlm.nih.gov/pmc/blobs/de11/11464322/22ee6e781093/fpls-15-1452821-g011.jpg
https://cdn.ncbi.nlm.nih.gov/pmc/blobs/de11/11464322/2c77a23570b7/fpls-15-1452821-g001.jpg
https://cdn.ncbi.nlm.nih.gov/pmc/blobs/de11/11464322/a84e5e9e4961/fpls-15-1452821-g002.jpg
https://cdn.ncbi.nlm.nih.gov/pmc/blobs/de11/11464322/7fce2f3d19ea/fpls-15-1452821-g003.jpg
https://cdn.ncbi.nlm.nih.gov/pmc/blobs/de11/11464322/12e0b3f0e5d5/fpls-15-1452821-g004.jpg
https://cdn.ncbi.nlm.nih.gov/pmc/blobs/de11/11464322/40436b03add6/fpls-15-1452821-g005.jpg
https://cdn.ncbi.nlm.nih.gov/pmc/blobs/de11/11464322/c3d849646688/fpls-15-1452821-g006.jpg
https://cdn.ncbi.nlm.nih.gov/pmc/blobs/de11/11464322/74e895ef441e/fpls-15-1452821-g007.jpg
https://cdn.ncbi.nlm.nih.gov/pmc/blobs/de11/11464322/28025c2e0a5a/fpls-15-1452821-g008.jpg
https://cdn.ncbi.nlm.nih.gov/pmc/blobs/de11/11464322/055e9ebba8c0/fpls-15-1452821-g009.jpg
https://cdn.ncbi.nlm.nih.gov/pmc/blobs/de11/11464322/636623398bc4/fpls-15-1452821-g010.jpg
https://cdn.ncbi.nlm.nih.gov/pmc/blobs/de11/11464322/22ee6e781093/fpls-15-1452821-g011.jpg
https://cdn.ncbi.nlm.nih.gov/pmc/blobs/de11/11464322/2c77a23570b7/fpls-15-1452821-g001.jpg
https://cdn.ncbi.nlm.nih.gov/pmc/blobs/de11/11464322/a84e5e9e4961/fpls-15-1452821-g002.jpg
https://cdn.ncbi.nlm.nih.gov/pmc/blobs/de11/11464322/7fce2f3d19ea/fpls-15-1452821-g003.jpg
https://cdn.ncbi.nlm.nih.gov/pmc/blobs/de11/11464322/12e0b3f0e5d5/fpls-15-1452821-g004.jpg
https://cdn.ncbi.nlm.nih.gov/pmc/blobs/de11/11464322/40436b03add6/fpls-15-1452821-g005.jpg
https://cdn.ncbi.nlm.nih.gov/pmc/blobs/de11/11464322/c3d849646688/fpls-15-1452821-g006.jpg
https://cdn.ncbi.nlm.nih.gov/pmc/blobs/de11/11464322/74e895ef441e/fpls-15-1452821-g007.jpg
https://cdn.ncbi.nlm.nih.gov/pmc/blobs/de11/11464322/28025c2e0a5a/fpls-15-1452821-g008.jpg
https://cdn.ncbi.nlm.nih.gov/pmc/blobs/de11/11464322/055e9ebba8c0/fpls-15-1452821-g009.jpg
https://cdn.ncbi.nlm.nih.gov/pmc/blobs/de11/11464322/636623398bc4/fpls-15-1452821-g010.jpg
https://cdn.ncbi.nlm.nih.gov/pmc/blobs/de11/11464322/22ee6e781093/fpls-15-1452821-g011.jpg

相似文献

1
An improved YOLOv7 model based on Swin Transformer and Trident Pyramid Networks for accurate tomato detection.一种基于Swin Transformer和三叉戟金字塔网络的改进YOLOv7模型,用于精确的番茄检测。
Front Plant Sci. 2024 Sep 26;15:1452821. doi: 10.3389/fpls.2024.1452821. eCollection 2024.
2
TBC-YOLOv7: a refined YOLOv7-based algorithm for tea bud grading detection.TBC-YOLOv7:一种基于YOLOv7的改进型茶芽分级检测算法。
Front Plant Sci. 2023 Aug 17;14:1223410. doi: 10.3389/fpls.2023.1223410. eCollection 2023.
3
Small object detection algorithm incorporating swin transformer for tea buds.用于茶芽的融合 Swin 变换小目标检测算法。
PLoS One. 2024 Mar 21;19(3):e0299902. doi: 10.1371/journal.pone.0299902. eCollection 2024.
4
Weed detection and recognition in complex wheat fields based on an improved YOLOv7.基于改进YOLOv7的复杂麦田杂草检测与识别
Front Plant Sci. 2024 Jun 24;15:1372237. doi: 10.3389/fpls.2024.1372237. eCollection 2024.
5
An efficient tomato-detection method based on improved YOLOv4-tiny model in complex environment.一种基于改进的YOLOv4-tiny模型的复杂环境下高效番茄检测方法。
Front Plant Sci. 2023 Apr 3;14:1150958. doi: 10.3389/fpls.2023.1150958. eCollection 2023.
6
A wheat spike detection method based on Transformer.一种基于Transformer的小麦穗检测方法。
Front Plant Sci. 2022 Oct 20;13:1023924. doi: 10.3389/fpls.2022.1023924. eCollection 2022.
7
Revolutionizing tomato disease detection in complex environments.革新复杂环境下的番茄病害检测
Front Plant Sci. 2024 Sep 16;15:1409544. doi: 10.3389/fpls.2024.1409544. eCollection 2024.
8
FEA-Swin: Foreground Enhancement Attention Swin Transformer Network for Accurate UAV-Based Dense Object Detection.FEA-Swin:用于基于无人机的精确密集目标检测的前景增强注意力Swin变压器网络
Sensors (Basel). 2022 Sep 15;22(18):6993. doi: 10.3390/s22186993.
9
Tomato leaf disease detection based on attention mechanism and multi-scale feature fusion.基于注意力机制和多尺度特征融合的番茄叶部病害检测
Front Plant Sci. 2024 Apr 9;15:1382802. doi: 10.3389/fpls.2024.1382802. eCollection 2024.
10
An occluded cherry tomato recognition model based on improved YOLOv7.基于改进YOLOv7的遮挡樱桃番茄识别模型
Front Plant Sci. 2023 Oct 20;14:1260808. doi: 10.3389/fpls.2023.1260808. eCollection 2023.

引用本文的文献

1
ASD-YOLO: a lightweight network for coffee fruit ripening detection in complex scenarios.ASD-YOLO:一种用于复杂场景下咖啡果实成熟度检测的轻量级网络。
Front Plant Sci. 2025 Feb 10;16:1484784. doi: 10.3389/fpls.2025.1484784. eCollection 2025.

本文引用的文献

1
An accurate green fruits detection method based on optimized YOLOX-m.一种基于优化的YOLOX-m的精确绿色水果检测方法。
Front Plant Sci. 2023 May 8;14:1187734. doi: 10.3389/fpls.2023.1187734. eCollection 2023.
2
An efficient tomato-detection method based on improved YOLOv4-tiny model in complex environment.一种基于改进的YOLOv4-tiny模型的复杂环境下高效番茄检测方法。
Front Plant Sci. 2023 Apr 3;14:1150958. doi: 10.3389/fpls.2023.1150958. eCollection 2023.
3
TomatoDet: Anchor-free detector for tomato detection.TomatoDet:用于番茄检测的无锚点检测器。
Front Plant Sci. 2022 Aug 5;13:942875. doi: 10.3389/fpls.2022.942875. eCollection 2022.
4
YOLO-Tomato: A Robust Algorithm for Tomato Detection Based on YOLOv3.YOLO-Tomato:一种基于 YOLOv3 的番茄检测稳健算法。
Sensors (Basel). 2020 Apr 10;20(7):2145. doi: 10.3390/s20072145.
5
A Mature-Tomato Detection Algorithm Using Machine Learning and Color Analysis.基于机器学习和颜色分析的成熟番茄检测算法。
Sensors (Basel). 2019 Apr 30;19(9):2023. doi: 10.3390/s19092023.
6
A Robust Deep-Learning-Based Detector for Real-Time Tomato Plant Diseases and Pests Recognition.基于深度学习的实时番茄病虫害识别稳健探测器。
Sensors (Basel). 2017 Sep 4;17(9):2022. doi: 10.3390/s17092022.
7
DeepFruits: A Fruit Detection System Using Deep Neural Networks.深度水果:一种使用深度神经网络的水果检测系统。
Sensors (Basel). 2016 Aug 3;16(8):1222. doi: 10.3390/s16081222.
8
Faster R-CNN: Towards Real-Time Object Detection with Region Proposal Networks.更快的 R-CNN:基于区域建议网络的实时目标检测。
IEEE Trans Pattern Anal Mach Intell. 2017 Jun;39(6):1137-1149. doi: 10.1109/TPAMI.2016.2577031. Epub 2016 Jun 6.
9
Spatial Pyramid Pooling in Deep Convolutional Networks for Visual Recognition.空间金字塔池化在深度卷积网络中的视觉识别。
IEEE Trans Pattern Anal Mach Intell. 2015 Sep;37(9):1904-16. doi: 10.1109/TPAMI.2015.2389824.